POJ - 1182 食物链(带权并查集)

263 阅读2分钟

携手创作,共同成长!这是我参与「掘金日新计划 · 8 月更文挑战」的第15天,点击查看活动详情

题目:

动物王国中有三类动物A,B,C,这三类动物的食物链构成了有趣的环形。A吃B, B吃C,C吃A。 现有N个动物,以1-N编号。每个动物都是A,B,C中的一种,但是我们并不知道它到底是哪一种。 有人用两种说法对这N个动物所构成的食物链关系进行描述: 第一种说法是"1 X Y",表示X和Y是同类。 第二种说法是"2 X Y",表示X吃Y。 此人对N个动物,用上述两种说法,一句接一句地说出K句话,这K句话有的是真的,有的是假的。当一句话满足下列三条之一时,这句话就是假话,否则就是真话。 1) 当前的话与前面的某些真的话冲突,就是假话; 2) 当前的话中X或Y比N大,就是假话; 3) 当前的话表示X吃X,就是假话。 你的任务是根据给定的N(1 <= N <= 50,000)和K句话(0 <= K <= 100,000),输出假话的总数。

Input

第一行是两个整数N和K,以一个空格分隔。 以下K行每行是三个正整数 D,X,Y,两数之间用一个空格隔开,其中D表示说法的种类。 若D=1,则表示X和Y是同类。 若D=2,则表示X吃Y。

Output

只有一个整数,表示假话的数目。

Sample Input

100 7
1 101 1 
2 1 2
2 2 3 
2 3 3 
1 1 3 
2 3 1 
1 5 5

Sample Output

3

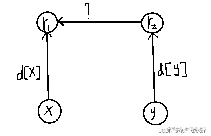
分析:判断一句话是否是假话,后面给的两个条件比较容易判断,关键是怎样判断条件是否与之前给的条件矛盾。在这个动物王国中一共有三种动物,什么情况下会出现矛盾呢?就是当一个动物不仅仅只属于一个类别时,这个时候就会出现矛盾,比如说B吃A,又说C吃B,后面又说C吃A,这显然是矛盾的,我们怎样判别哪些动物属于哪些类呢?我们可以通过与根节点的距离来表示这个动物与根节点的关系,比如当前节点与根节点之间的距离为1时,代表该种类的动物是被根节点所表示的动物种类吃的,当前节点与根节点之间的距离为2时,代表该种类的动物是吃根节点所表示的动物种类的,当前节点与根节点之间的距离为0时(我们在这所说的距离都是对3取余后的距离),就代表当前节点与根节点是同一类的。这样我们就可以在一个集合中维护三个小集合。大致思路就是这样,下面我主要说一下如何合并两个集合。(节点与根节点的距离对3取余代表了这个节点所代表的动物的种类) image.png 当进行集合合并时,我们最主要关心的问题就是他们根节点之间的合并,也就是求待合并集合的根节点与根节点之间的距离。例如我们要把上图中的r2合并至r1所代表的集合中:

当说明x和y是一类时,则有d[x]%3==(d[y]+?)%3,则可求出?=(d[x]-d[y]+3)%3

当说明x吃y时,则有(d[x]+1)%3==(d[y]+?)%3,则可求出?=(d[x]-d[y]+1+3)%3

这就是合并集合的方法了,如果还有对带权并查集不是很理解的小伙伴可以看下我之前关于带权并查集的博客,下面是本题代码:

#include<cstdio>
#include<iostream>
#include<cstring>
#include<vector>
#include<algorithm>
#include<map>
#include<cmath>
#include<queue>
using namespace std;
const int N=50005;
int fu[N],d[N];
int find(int x)
{
	if(x==fu[x]) return x;
	int t=fu[x];
	fu[x]=find(fu[x]);
	d[x]=(d[x]+d[t])%3;//用父节点到根节点的距离来更新当前节点到根节点的距离 
	return fu[x];
}
void Unite(int x,int y,int z)
{
	int f1=find(x),f2=find(y);
	fu[f2]=f1;
	d[f2]=(d[x]-d[y]+z+6)%3;//利用两个节点到根节点的距离以及两节点之间的距离来更新一个根节点到另一个根节点之间的距离 
}
int main()
{
	int n,k;
	cin>>n>>k;
	for(int i=1;i<=n;i++)
		fu[i]=i,d[i]=0;
	int cnt=0;//记录假话次数 
	int op,x,y;
	for(int i=1;i<=k;i++)
	{
		scanf("%d%d%d",&op,&x,&y);
		if(x>n||y>n)//若x或者y大于n则一定是假话 
		{
			cnt++;
			continue;
		}
		int f1=find(x),f2=find(y);
		if(op==1)
		{
			if(f1!=f2) Unite(x,y,0);//两者若不在一个集合,则不会出现假话,但是需要将两个集合合并 
			else   cnt+=(d[x]!=d[y]);//如果两个节点在一个集合且两个节点到根节点的距离不相同,则两者一定不会是同类 
		}
		else
		{
			if(x==y)//x吃x一定是假话 
			{
				cnt++;
				continue;
			}
			if(f1!=f2) Unite(x,y,1);//两者若不在一个集合,则不会出现假话,但是需要将两个集合合并 
			else	cnt+=((d[y]-d[x]+3)%3!=1);//如果两个节点在一个集合且两个节点到根节点的距离不为1,则两者一定不会是同类 
		}
	}
	printf("%d",cnt);
	return 0;
}