WebGL与动画实现 | 青训营笔记

116 阅读2分钟

WebGL与动画实现 | 青训营笔记

这是我参与「第四届青训营 」笔记创作活动的的第10天

初识WebGL

WebGL≠GPU≠3D

Mordern Graphics System(现代图形系统)

  • 光栅(Raster):几乎所有的现代图形系统都是基于光栅来绘制图形的,光栅就是指构成图像的像素阵列。
  • 像素(Px©):一个像素对应图像上的一个点,它通常保存图像上的某个具体位置的颜色等信息。
  • 帧缓存(Frame Buffer):在绘图过程中,像素信息被存放于帧缓存中,帧缓存是一块内存地址。 。
  • CPU(Central Processing Unit)):中央处理单元,负责逻辑计算。
  • GPU(Graphics Processing Unit):图形处理单元,负责图形计算。

流程

  1. 轮廓提取/meshing
  2. 光栅化
  3. 帧缓存
  4. 渲染

The PipeLine(管线)

Data->Processor->Frame buffer->Pixels

CPU VS GPU

CPU

image.png

image.png

运算强大但是顺序执行

GPU

image.png

  • GPU由大量的小运算单元构成
  • 每个运算单元只负责处理很简单的计算
  • 每个运算单元彼此独立
  • 因此所有计算可以并行处理

WebGL & OpenGL

image.png

WebGL Startup

  1. 创建WebGL上下文
  2. 创建WebGL Program
  3. 将数据存入缓冲区
  4. 将缓冲区数据读取到GPU
  5. GPU执行WebGL程序,输出结果

可见我的另一篇笔记

mesh.js绘制多边形

image.png

三角剖分

将多边形通过剖分成三角形进行绘制,具体没咋听懂,打个标记,以后学习

Transform

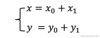
  • 平移

image.png

  • 旋转

image.png

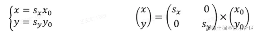
  • 缩放

image.png

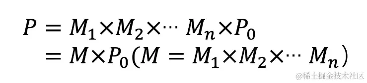
旋转+缩放是线性变换

image.png

image.png

image.png

送线性变换到齐次矩阵

3D Matrix

  1. 投影矩阵 Projection Matrix
  2. 模型矩阵 Model Matrix
  3. 视图矩阵 View Matrⅸ
  4. 法向量矩阵 Normal Matrⅸ

更多

  1. The book of shaders
  2. Mesh.js
  3. glsl-doodle
  4. SpriteJS
  5. ThreeJS
  6. ShaderToy

总结

今天上着上着就成了数学课,关于WebGL的相关知识还需要更多事件去体系的学习去使用,如果真的想要融会贯通不仅要学会使用更要明白其原理,不然终究是个门外汉,学起来吧,冲冲冲!