03-树3 Tree Traversals Again

155 阅读2分钟

Problem Description

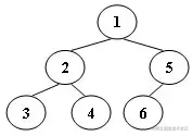
An inorder binary tree traversal can be implemented in a non-recursive way with a stack. For example, suppose that when a 6-node binary tree (with the keys numbered from 1 to 6) is traversed, the stack operations are: push(1); push(2); push(3); pop(); pop(); push(4); pop(); pop(); push(5); push(6); pop(); pop(). Then a unique binary tree (shown in Figure 1) can be generated from this sequence of operations. Your task is to give the postorder traversal sequence of this tree.

Figure 1

Input Specification

Each input file contains one test case. For each case, the first line contains a positive integer N (≤30) which is the total number of nodes in a tree (and hence the nodes are numbered from 1 to N). Then 2N lines follow, each describes a stack operation in the format: "Push X" where X is the index of the node being pushed onto the stack; or "Pop" meaning to pop one node from the stack.

Output Specification

For each test case, print the postorder traversal sequence of the corresponding tree in one line. A solution is guaranteed to exist. All the numbers must be separated by exactly one space, and there must be no extra space at the end of the line.

Sample Input

6
Push 1
Push 2
Push 3
Pop
Pop
Push 4
Pop
Pop
Push 5
Push 6
Pop
Pop

Sample Output

3 4 2 6 5 1

Solution

  • 题意理解:根据非递归中序遍历的出入栈顺序求出后序遍历的顺序。
  • 需要明白的是:出入栈的顺序中,入栈的顺序就是先序遍历的顺序;出栈的顺序就是中序遍历的顺序。
  • 已知先序遍历和中序遍历可以还原出树,但在这里我们不需要还原,直接在数组中运用递归方法算出后序遍历的顺序。先序遍历和中序遍历的顺序都存在数组中。
  • 在输入函数中用数组和数组指针设计一个小型栈,保存先序遍历 pre 与中序遍历 in
  • 递归函数:
    • 先序遍历的第一个结点为根结点,在后序遍历中是最后一个访问的。所以先从 pre 队首元素出队,作为 post 的最后一个元素
      • root = pre[preL];
      • post[postL + n - 1] = root;
    • 确定根结点后,可以在中序遍历中找到根结点的位置,左右两边即为左右子树的中序遍历顺序。
      • for (i = 0; i < n; i++) { if (in[inL + i] == root) break;}
      • L = i; R = n - L - 1;
      • 这里要注意 i 的含义是左子树结点个数,所以在循环中的判断应该是从 in 最左端往右数第 i 个元素是否等于 root 值
    • 确定好左右子树规模后可以进行递归
      • Solve(preL + 1, inL, postL, L);
        • 左子树:新 preL 右移一位;新 inL 保持不变;新 postL 保持不变;左子树规模为 L
      • Solve(preL + L + 1, inL + L + 1, postL + L, R);
        • 右子树:新 preL 在右移 L + 1 位处;新 inL 在右移 L + 1 位处,因为中间隔了一个根结点;新 postL 在右移 L 位处;右子树规模为 R
    • 递归终止条件:
      • 子树规模为 0 (边缘情况)直接返回
      • 子树规模为 1 的时候 pre 就是 post ,赋值后返回
#include <stdio.h>
#include <stdlib.h>

int n, pre[30], in[30], post[30];

void Input()
{
    char c1, c2;
    int i, num, p, q;
    int top, stack[30];
    top = 0;

    scanf("%d", &n);
    getchar();
    
    p = 0;
    q = 0;
    for (i = 0; i < 2 * n; i++) {
        scanf("%c%c", &c1, &c2);
        if (c2 == 'u') {
            scanf("%c%c %d", &c1, &c2, &num);
            getchar();
            pre[p++] = num;
            stack[top++] = num;
        } else {
            scanf("%c", &c1);
            getchar();
            in[q++] = stack[--top];
        }
    }
}

void Solve(int preL, int inL, int postL, int n)
{
    int i, root, L, R;
    if (n == 0) return;
    if (n == 1) {
        post[postL] = pre[preL];
        return;
    }

    root = pre[preL];
    post[postL + n - 1] = root;
    for (i = 0; i < n; i++) {
        if (in[inL + i] == root) break;
    }
    L = i;
    R = n - L - 1;

    Solve(preL + 1, inL, postL, L);
    Solve(preL + L + 1, inL + L + 1, postL + L, R);
}

void Print()
{
    int i;
    for (i = 0; i < n; i++) {
        if (i) printf(" %d", post[i]);
        else printf("%d", post[i]);
    }
}

int main()
{
    Input();
    Solve(0, 0, 0, n);
    Print();
    return 0;
}