初识WebGL|青训营笔记

181 阅读1分钟

初识WebGL|青训营笔记

这是我参与「第四届青训营 」笔记创作活动的的第13天

Modern Graphics System

image.png

  • 光栅(Raste):几乎所有的现代图形系统都是基于光栅来绘制图形的,光栅就是指构成图像的像素阵列
  • 像素(Pixel):一个像素对应图像上的一个点,它通常保存图像上的某个具体位置的颜色等信息
  • 帧缓存(Frame Buffer):在绘图过程中,像素信息被存放于帧缓存中,帧缓存是一块内存地址
  • CPU(Central Processing Unit):中央处理单元,负责逻辑计算
  • GPU(Graphics Processing Unit):图形处理单元,负责图形计算、
image.png
  1. 轮廓提取/meshing
  2. 光栅化
  3. 帧缓存
  4. 渲染

The pipeline

graph TD
Data --> Processor
Processor -->FrameBuffer
FrameBuffer --> Pixels

GPU

image.png
  • GPU由大量的小运算单元构成
  • 每个运算单元只负责处理很简单的计算
  • 每个运算单元彼此独立
  • 因此所有计算可以并行处理

WebGL Startup

  1. 创建WebGL上下文
  2. 创建WebGL Program
  3. 将数据存入缓冲区
  4. 将缓冲区数据读取到GPU
  5. GPU执行WebGL程序,输出结果

image.png

Transforms

平移:

image.png

旋转:

image.png

缩放:

image.png

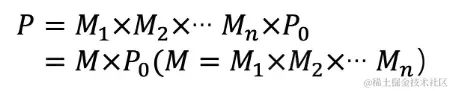
旋转+缩放是线性变换

image.png image.png image.png 从线性变换到齐次矩阵

3D Matrix

3D标准模型的四个齐次矩阵(mat4)

  1. 投影矩阵 Projection Matrix
  2. 模型矩阵 Model Matrix
  3. 视图矩阵 View Matrix
  4. 法向量矩阵 Normal Matrix