出现次数最多的子树元素和 · 8 月更文挑战

55 阅读1分钟

携手创作,共同成长!这是我参与「掘金日新计划 · 8 月更文挑战」的第19天,点击查看活动详情

一、题目描述:

给你一个二叉树的根结点 root ,请返回出现次数最多的子树元素和。如果有多个元素出现的次数相同,返回所有出现次数最多的子树元素和(不限顺序)。

一个结点的 「子树元素和」 定义为以该结点为根的二叉树上所有结点的元素之和(包括结点本身)。

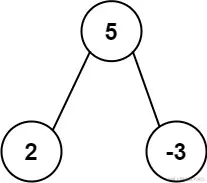
示例 1:

img

输入: root = [5,2,-3] 输出: [2,-3,4] 示例 2:

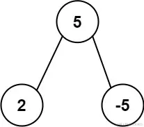
img

输入: root = [5,2,-5] 输出: [2]

提示:

节点数在 [1, 104] 范围内 -105 <= Node.val <= 105

来源:力扣(LeetCode) 链接:leetcode.cn/problems/mo… 著作权归领扣网络所有。商业转载请联系官方授权,非商业转载请注明出处。

二、思路分析:

在统计所有子树和时,可以使用最朴素的递归方式。 递归函数内需要同时完成以下两个任务:

计算以当前节点为根的子树和,并加入统计结果。 返回以当前节点为根的子树和,方便父节点递归调用。 有了子树和及其计数后,只需遍历统计结果一次,实时维护拥有最大计数的列表即可。

三、AC 代码:

​
class Solution {
    public int[] findFrequentTreeSum(TreeNode root) {
        HashMap<Integer, Integer> sum_2_cnt = new HashMap<>();
        countSum(root, sum_2_cnt);
        List<Integer> resList = new ArrayList<>();
        int maxCnt = -1;
        for(int sum : sum_2_cnt.keySet()) {
            int cnt = sum_2_cnt.get(sum);
            if(cnt>maxCnt) {
                resList.clear();
                resList.add(sum);
                maxCnt = cnt;
            }else if(cnt==maxCnt) {
                resList.add(sum);
            }
        }
        int[] res = new int[resList.size()];
        for(int i=0; i<res.length; i++) {
            res[i] = resList.get(i);
        }
        return res;
    }
    
    private int countSum(TreeNode cur, HashMap<Integer, Integer> sum_2_cnt) {
        if(cur==null) return 0;
        int left = countSum(cur.left, sum_2_cnt);
        int right = countSum(cur.right, sum_2_cnt);
        int sum = left + right + cur.val;
        sum_2_cnt.put(sum, sum_2_cnt.getOrDefault(sum, 0)+1);
        return sum;
    }
}
​

四、总结:

image.png

掘友们,解题不易,留下个赞或评论再走吧!谢啦~ 💐

希望对你有帮助

期待下次再见~

🌇 点赞 👍 收藏 ⭐留言 📝 一键三连 ~关注Jam,从你我做起!