03-树1 树的同构

302 阅读5分钟

题目描述

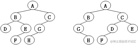
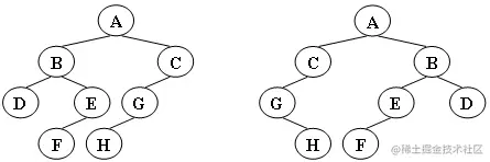
给定两棵树T1和T2。如果T1可以通过若干次左右孩子互换就变成T2,则我们称两棵树是“同构”的。例如图1给出的两棵树就是同构的,因为我们把其中一棵树的结点A、B、G的左右孩子互换后,就得到另外一棵树。而图2就不是同构的。

fig1.jpg

图1

图2

现给定两棵树,请你判断它们是否是同构的。

输入格式

输入给出2棵二叉树树的信息。对于每棵树,首先在一行中给出一个非负整数N (≤10),即该树的结点数(此时假设结点从0到N−1编号);随后N行,第i行对应编号第i个结点,给出该结点中存储的1个英文大写字母、其左孩子结点的编号、右孩子结点的编号。如果孩子结点为空,则在相应位置上给出“-”。给出的数据间用一个空格分隔。注意:题目保证每个结点中存储的字母是不同的。

输出格式

如果两棵树是同构的,输出“Yes”,否则输出“No”。

输入样例1(对应图1)

8
A 1 2
B 3 4
C 5 -
D - -
E 6 -
G 7 -
F - -
H - -
8
G - 4
B 7 6
F - -
A 5 1
H - -
C 0 -
D - -
E 2 -

输出样例1

Yes

输入样例2(对应图2)

8
B 5 7
F - -
A 0 3
C 6 -
H - -
D - -
G 4 -
E 1 -
8
D 6 -
B 5 -
E - -
H - -
C 0 2
G - 3
F - -
A 1 4

输出样例2

No

题解

参考了题解:数据结构 03-树1 树的同构_叫我皮卡丘的博客

  • 首先考虑树的存储的问题。可以利用指针的思想,用数组表示内存空间,数组内的值就是结点,而数组的下标就是地址。
  • 然后整个程序的框架是:
    • 读入两棵树
      • 如何存树:建立两个结构体数组,每一个数组元素就是结构体内容,即树上的结点。但是光有结构体数组还不够,还需要知道数的根在哪,结构体数组 + 树的根节点下标才是一个完整的树。
      • 关于找根:对于每一组数据而言,每个结点的左右子树都是一个下标或者是空,出现在这些数据内的下标一定不可能是根(因为是某一结点的子结点)。所以要找根结点下标,就是要找在一组数据中没有作为左右子结点下标出现的那个下标。
      • 在读入的时候因为是单个字符,记得 getchar() ,否则会错位。
      • 找根方法实现:每一次循环都在 root 上 +i ,但每次读入一个结点的信息时把出现的结点减去,这样剩下来的就是那个没有出现过的结点下标。
    • 判断两棵树是否同构
      • 对树进行操作很重要的一个思想是递归
      • 在这里应该想到用递归来判断两树是否同构
        • 传入两棵树的结构体数组地址和根结点下标
        • 递归结束的条件是两传入的两根结点都为空了,即整个同构模拟过程完全结束了。就像 02-线性结构4 Pop Sequence 中对序列的模拟,模拟成功(在这里是最后 root 都为空)就返回 true ,一旦一个地方模拟失败就返回 0 回归到最外层函数就是 false
        • 判断同构函数中的几种 return 结果:
          • 两根都为空,返回 true(结束条件)
          • 一根为空,另一根不为空,返回 flase
          • 两根都不为空,但数据不同,返回 false
          • 两根都不为空,数据相同,接下来判定左右子树
            • 左子树的根结点均不为空且数据相同,递归调用函数判断左、右子树是否同构
            • 左子树的根节点均不为空但数据不同或一个空一个不空,交换其中一个的左右子树再递归调用函数判断左、右子树是否同构
    • 输出结果
#include <stdio.h>
#include <stdlib.h>

typedef struct {
    char data;
    int left;
    int right;
} TNode;

int Create(TNode *T)
{
    int i, n, root;
    char node, nodel, noder;

    scanf("%d", &n);
    getchar();
    
    if (n == 0)
        root = -1;
    else {
        root = 0;
        for (i = 0; i < n; i++) {
            scanf("%c %c %c", &node, &nodel, &noder);
            getchar();

            T[i].data = node;
            if (nodel != '-') {
                T[i].left = nodel - '0';
                root -= T[i].left;
            } else
                T[i].left = -1;
            if (noder != '-') {
                T[i].right = noder - '0';
                root -= T[i].right;
            } else
                T[i].right = -1;
            
            root += i;
        }
    }

    return root;
}

int Judge(TNode* T1, TNode* T2, int root1, int root2) {
    if (root1 == -1 && root2 == -1) return 1;
    
    if ((root1 == -1 && root2 != -1) || (root1 != -1 && root2 == -1)) return 0;

    if (T1[root1].data != T2[root2].data) return 0;

    if ((T1[root1].left != -1 && T2[root2].left != -1) && (T1[T1[root1].left].data == T2[T2[root2].left].data))
        return Judge(T1, T2, T1[root1].left, T2[root2].left) && Judge(T1, T2, T1[root1].right, T2[root2].right);
    else
        return Judge(T1, T2, T1[root1].right, T2[root2].left) && Judge(T1, T2, T1[root1].left, T2[root2].right);
}

int main()
{
    int root1, root2;
    TNode T1[10], T2[10];

    root1 = Create(T1);
    root2 = Create(T2);

    if (Judge(T1, T2, root1, root2)) printf("Yes");
    else printf("No");
    
    return 0;
}

几个关键点:

  • 数据结构的设计,如何存树与对数进行操作(抽象数据类型与定义在其上的操作)
  • 建树操作在组织数据的同时还要能巧妙地得到根结点的下标
  • 判断同构的递归函数设计,返回出口设计