数据结构与算法之树的入门(二叉树)

103 阅读14分钟

二叉树目录


二叉树入门

之前我们实现的符号表中,不难看出,符号表的增删查操作,随着元素个数N的增多,其耗时也是线性增多的,时间复杂度都是O(n),为了提高运算效率,接下来我们学习树这种数据结构。

一、 树的基本定义

树是我们计算机中非常重要的一种数据结构,同时使用树这种数据结构,可以描述现实生活中的很多事物,例如家谱、单位的组织架构、等等。
树是由n(n>=1)个有限结点组成一个具有层次关系的集合。把它叫做“树”是因为它看起来像一棵倒挂的树,也就是说它是根朝上,而叶朝下的

在这里插入图片描述

树具有以下特点:

1.每个结点有零个或多个子结点;
2.没有父结点的结点为根结点;
3.每一个非根结点只有一个父结点;
4.每个结点及其后代结点整体上可以看做是一棵树,称为当前结点的父结点的一个子树;

二、树的相关术语

结点的度:
一个结点含有的子树的个数称为该结点的度;
叶结点:
度为0的结点称为叶结点,也可以叫做终端结点
分支结点:
度不为0的结点称为分支结点,也可以叫做非终端结点
结点的层次:
从根结点开始,根结点的层次为1,根的直接后继层次为2,以此类推
结点的层序编号:
将树中的结点,按照从上层到下层,同层从左到右的次序排成一个线性序列,把他们编成连续的自然数。
树的度:
树中所有结点的度的最大值
树的高度(深度):
树中结点的最大层次
森林:
m(m>=0)个互不相交的树的集合,将一颗非空树的根结点删去,树就变成一个森林;给森林增加一个统一的根结点,森林就变成一棵树

在这里插入图片描述

孩子结点:
一个结点的直接后继结点称为该结点的孩子结点
双亲结点(父结点):
一个结点的直接前驱称为该结点的双亲结点
兄弟结点:
同一双亲结点的孩子结点间互称兄弟结点

三、二叉树的基本定义

二叉树就是度不超过 2的树(每个结点最多有两个子结点)

在这里插入图片描述
满二叉树:
一个二叉树,如果每一个层的结点树都达到最大值,则这个二叉树就是满二叉树。
在这里插入图片描述
完全二叉树:
叶节点只能出现在最下层和次下层,并且最下面一层的结点都集中在该层最左边的若干位置的二叉树

在这里插入图片描述

四、二叉查找树的创建

4.1.二叉树的结点类

根据对图的观察,我们发现二叉树其实就是由一个一个的结点及其之间的关系组成的,按照面向对象的思想,我们设计一个结点类来描述结点这个事物。

结点类API设计:

类名Node<Key,Value>
构造方法Node(Key key, Value value, Node left, Node right):创建Node对象
成员变量1.public Node left:记录左子结点
2.public Node right:记录右子结点
3.public Key key:存储键
4.public Value value:存储值

代码实现:

private class Node<Key,Value>{
	//存储键
	public Key key;
	//存储值
	private Value value;
	//记录左子结点
	public Node left;
	//记录右子结点
	public Node right;
	public Node(Key key, Value value, Node left, Node right) {
		this.key = key;
		this.value = value;
		this.left = left;
		this.right = right;
	}
}

4.2. 二叉查找树API设计

类名Node<Key,Value>
构造方法BinaryTree,Value value>
成员变量1.private Node root:记录根结点
2.private int N:记录树中元素的个数
成员方法1. public void put(Key key,Value value):向树中插入一个键值对
2.private Node put(Node x, Key key, Value val):给指定树x上,添加键一个键值对,并返回添加后的新树
3.public Value get(Key key):根据key,从树中找出对应的值
4.private Value get(Node x, Key key):从指定的树x中,找出key对应的值
5.public void delete(Key key):根据key,删除树中对应的键值对
6.private Node delete(Node x, Key key):删除指定树x上的键为key的键值对,并返回删除后的新树
7.public int size():获取树中元素的个数

4.3.二叉查找树实现

插入方法put实现思想:
1.如果当前树中没有任何一个结点,则直接把新结点当做根结点使用
2.如果当前树不为空,则从根结点开始:
2.1如果新结点的key小于当前结点的key,则继续找当前结点的左子结点;
2.2如果新结点的key大于当前结点的key,则继续找当前结点的右子结点;
2.3如果新结点的key等于当前结点的key,则树中已经存在这样的结点,替换该结点的value值即可。

在这里插入图片描述
在这里插入图片描述

查询方法 get实现思想:
从根节点开始:
1.如果要查询的key小于当前结点的key,则继续找当前结点的左子结点;
2.如果要查询的key大于当前结点的key,则继续找当前结点的右子结点;
3.如果要查询的key等于当前结点的key,则树中返回当前结点的value。

删除方法delete实现思想:

1.找到被删除结点;
2.找到被删除结点右子树中的最小结点minNode
3.删除右子树中的最小结点
4.让被删除结点的左子树称为最小结点minNode的左子树,让被删除结点的右子树称为最小结点minNode的右子树
5.让被删除结点的父节点指向最小结点minNode

代码:

// 二叉树代码
public class BinaryTree<Key extends Comparable<Key>, Value> {
	//记录根结点
	private Node root;
	//记录树中元素的个数
	private int N;
	//获取树中元素的个数
	public int size() {
		return N;
	}
	//向树中添加元素key-value
	public void put(Key key, Value value) {
		root = put(root, key, value);
	}
	//向指定的树x中添加key-value,并返回添加元素后新的树
	private Node put(Node x, Key key, Value value) {
		if (x == null) {
			//个数+1
			N++;
			return new Node(key, value, null, null);
		}
		int cmp = key.compareTo(x.key);
		if (cmp > 0) {
			//新结点的key大于当前结点的key,继续找当前结点的右子结点
			x.right = put(x.right, key, value);
		} else if (cmp < 0) {
			//新结点的key小于当前结点的key,继续找当前结点的左子结点
			x.left = put(x.left, key, value);
		} else {
			//新结点的key等于当前结点的key,把当前结点的value进行替换
			x.value = value;
		}
		return x;
	}
	//查询树中指定key对应的value
	public Value get(Key key) {
		return get(root, key);
	}
	//从指定的树x中,查找key对应的值
	public Value get(Node x, Key key) {
		if (x == null) {
		return null;
	}
	int cmp = key.compareTo(x.key);
	if (cmp > 0) {
		//如果要查询的key大于当前结点的key,则继续找当前结点的右子结点;
		return get(x.right, key);
	} else if (cmp < 0) {
		//如果要查询的key小于当前结点的key,则继续找当前结点的左子结点;
		return get(x.left, key);
	} else {
		//如果要查询的key等于当前结点的key,则树中返回当前结点的value。
		return x.value;
	}
}
	//删除树中key对应的value
	public void delete(Key key) {
		root = delete(root, key);
	}
	//删除指定树x中的key对应的value,并返回删除后的新树
	public Node delete(Node x, Key key) {
		if (x == null) {
			return null;
		}
		int cmp = key.compareTo(x.key);
		if (cmp > 0) {
			//新结点的key大于当前结点的key,继续找当前结点的右子结点
			x.right = delete(x.right, key);
		} else if (cmp < 0) {
			//新结点的key小于当前结点的key,继续找当前结点的左子结点
			x.left = delete(x.left, key);
		} else {
			//新结点的key等于当前结点的key,当前x就是要删除的结点
			//1.如果当前结点的右子树不存在,则直接返回当前结点的左子结点
			if (x.right == null) {
			return x.left;
		}
		//2.如果当前结点的左子树不存在,则直接返回当前结点的右子结点
		if (x.left == null) {
			return x.right;
		}
		//3.当前结点的左右子树都存在
		//3.1找到右子树中最小的结点
		Node minNode = x.right;
		while (minNode.left != null) {
			minNode = minNode.left;
		}
		//3.2删除右子树中最小的结点
		Node n = x.right;
		while (n.left != null) {
		if (n.left.left == null) {
			n.left = null;
		} else {
			n = n.left;
		}
	}
	//3.3让被删除结点的左子树称为最小结点minNode的左子树,让被删除结点的右子树称为最小结点
	minNode的右子树
	minNode.left = x.left;
	minNode.right = x.right;
	//3.4让被删除结点的父节点指向最小结点minNode
	x = minNode;
	//个数-1
	N--;
	}
	return x;
}
	private class Node {
		//存储键
		public Key key;
		//存储值
		private Value value;
		//记录左子结点
		public Node left;
		//记录右子结点
		public Node right;
		public Node(Key key, Value value, Node left, Node right) {
			this.key = key;
			this.value = value;
			this.left = left;
			this.right = right;
		}
	}
}
//测试代码
public class Test {
	public static void main(String[] args) throws Exception {
		BinaryTree<Integer, String> bt = new BinaryTree<>();
		bt.put(4, "二哈");
		bt.put(1, "张三");
		bt.put(3, "李四");
		bt.put(5, "王五");
		System.out.println(bt.size());
		bt.put(1,"老三");
		System.out.println(bt.get(1));
		System.out.println(bt.size());
		bt.delete(1);
		System.out.println(bt.size());
	}
}

4.4.二叉查找树其他便捷方法

4.4.1.查找二叉树中最小的键在这里插入代码片

在某些情况下,我们需要查找出树中存储所有元素的键的最小值,比如我们的树中存储的是学生的排名和姓名数据,那么需要查找出排名最低是多少名?这里我们设计如下两个方法来完成:

public Key min()找出树中最小的键
private Node min(Node x)找出指定树x中,最小键所在的结点
//找出整个树中最小的键
public Key min(){
	return min(root).key;
}
//找出指定树x中最小的键所在的结点
private Node min(Node x){
	if (x.left!=null){
		return min(x.left);
	}else{
		return x;
	}
}

4.4.2.查找二叉树中最大的键

在某些情况下,我们需要查找出树中存储所有元素的键的最大值,比如比如我们的树中存储的是学生的成绩和学生的姓名,那么需要查找出最高的分数是多少?这里我们同样设计两个方法来完成:

public Key max()找出树中最大的键
public Node max(Node x)找出指定树x中,最大键所在的结点
//找出整个树中最大的键
public Key max(){
	return max(root).key;
}
//找出指定树x中最大键所在的结点
public Node max(Node x){
	if (x.right!=null){
		return max(x.right);
	}else{
		return x;
	}
}

五、二叉树的基础遍历

很多情况下,我们可能需要像遍历数组数组一样,遍历树,从而拿出树中存储的每一个元素,由于树状结构和线性结构不一样,它没有办法从头开始依次向后遍历,所以存在如何遍历,也就是按照什么样的搜索路径进行遍历的问题
在这里插入图片描述

我们把树简单的画作上图中的样子,由一个根节点、一个左子树、一个右子树组成,那么按照根节点什么时候被访
问,我们可以把二叉树的遍历分为以下三种方式:

1.前序遍历;
先访问根结点,然后再访问左子树,最后访问右子树
2.中序遍历;
先访问左子树,中间访问根节点,最后访问右子树
3.后序遍历;
先访问左子树,再访问右子树,最后访问根节点

如果我们分别对下面的树使用三种遍历方式进行遍历,得到的结果如下:

在这里插入图片描述

5.1.前序遍历

我们在4.4中创建的树上,添加前序遍历的API:

public Queue<Key> preErgodic() :使用前序遍历,获取整个树中的所有键
private void preErgodic(Node x,Queue<Key> keys) :使用前序遍历,把指定树x中的所有键放入到keys队列中

实现过程中,我们通过前序遍历,把,把每个结点的键取出,放入到队列中返回即可。
实现步骤:

1.把当前结点的key放入到队列中;
2.找到当前结点的左子树,如果不为空,递归遍历左子树
3.找到当前结点的右子树,如果不为空,递归遍历右子树

代码:

// 使用前序遍历,获取整个树中的所有键
public Queue<Key> preErgodic(){
	Queue<Key> keys = new Queue<>();
	preErgodic(root,keys);
	return keys;
}
//使用前序遍历,把指定树x中的所有键放入到keys队列中
private void preErgodic(Node x,Queue<Key> keys){
	if (x==null){
	return;
	}
	//1.把当前结点的key放入到队列中;
	keys.enqueue(x.key);
	//2.找到当前结点的左子树,如果不为空,递归遍历左子树
	if (x.left!=null){
		preErgodic(x.left,keys);
	}
	//3.找到当前结点的右子树,如果不为空,递归遍历右子树
	if (x.right!=null){
		preErgodic(x.right,keys);
	}
}
//测试代码
public class Test {
	public static void main(String[] args) throws Exception {
		BinaryTree<String, String> bt = new BinaryTree<>();
		bt.put("E", "5");
		bt.put("B", "2");
		bt.put("G", "7");
		bt.put("A", "1");
		bt.put("D", "4");
		bt.put("F", "6");
		bt.put("H", "8");
		bt.put("C", "3");
		Queue<String> queue = bt.preErgodic();
		for (String key : queue) {
			System.out.println(key+"="+bt.get(key));
		}
	}
}

5.2.中序遍历

我们在4.4中创建的树上,添加前序遍历的API:

public Queue<Key> midErgodic() :使用中序遍历,获取整个树中的所有键
private void midErgodic(Node x,Queue<Key> keys) :使用中序遍历,把指定树x中的所有键放入到keys队列中

实现步骤:

1.找到当前结点的左子树,如果不为空,递归遍历左子树
2.把当前结点的key放入到队列中;
3.找到当前结点的右子树,如果不为空,递归遍历右子树

代码:

//使用中序遍历,获取整个树中的所有键
public Queue<Key> midErgodic(){
	Queue<Key> keys = new Queue<>();
	midErgodic(root,keys);
	return keys;
}
//使用中序遍历,把指定树x中的所有键放入到keys队列中
private void midErgodic(Node x,Queue<Key> keys){
	if (x==null){
		return;
	}
	//1.找到当前结点的左子树,如果不为空,递归遍历左子树
	if (x.left!=null){
		midErgodic(x.left,keys);
	}
	//2.把当前结点的key放入到队列中;
	keys.enqueue(x.key);
	//3.找到当前结点的右子树,如果不为空,递归遍历右子树
	if (x.right!=null){
		midErgodic(x.right,keys);
	}
}
//测试代码
public class Test {
	public static void main(String[] args) throws Exception {
		BinaryTree<String, String> bt = new BinaryTree<>();
		bt.put("E", "5");
		bt.put("B", "2");
		bt.put("G", "7");
		bt.put("A", "1");
		bt.put("D", "4");
		bt.put("F", "6");
		bt.put("H", "8");
		bt.put("C", "3");
		Queue<String> queue = bt.midErgodic();
		for (String key : queue) {
			System.out.println(key+"="+bt.get(key));
		}
	}
}

5.3.后序遍历

我们在4.4中创建的树上,添加前序遍历的API:

public Queue<Key> afterErgodic() :使用后序遍历,获取整个树中的所有键
private void afterErgodic(Node x,Queue<Key> keys) :使用后序遍历,把指定树x中的所有键放入到keys队列中

实现步骤:

1.找到当前结点的左子树,如果不为空,递归遍历左子树
2.找到当前结点的右子树,如果不为空,递归遍历右子树
3.把当前结点的key放入到队列中;

代码:

//使用后序遍历,获取整个树中的所有键
public Queue<Key> afterErgodic(){
	Queue<Key> keys = new Queue<>();
	afterErgodic(root,keys);
	return keys;
}
//使用后序遍历,把指定树x中的所有键放入到keys队列中
private void afterErgodic(Node x,Queue<Key> keys){
	if (x==null){
		return;
	}
	//1.找到当前结点的左子树,如果不为空,递归遍历左子树
	if (x.left!=null){
		afterErgodic(x.left,keys);
	}
	//2.找到当前结点的右子树,如果不为空,递归遍历右子树
	if (x.right!=null){
		afterErgodic(x.right,keys);
	}
	//3.把当前结点的key放入到队列中;
	keys.enqueue(x.key);
}
//测试代码
public class Test {
	public static void main(String[] args) throws Exception {
		BinaryTree<String, String> bt = new BinaryTree<>();
		bt.put("E", "5");
		bt.put("B", "2");
		bt.put("G", "7");
		bt.put("A", "1");
		bt.put("D", "4");
		bt.put("F", "6");
		bt.put("H", "8");
		bt.put("C", "3");
		Queue<String> queue = bt.afterErgodic();
		for (String key : queue) {
			System.out.println(key+"="+bt.get(key));
		}
	}
}

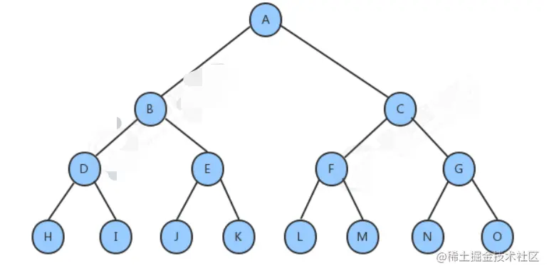
六、二叉树的层序遍历

所谓的层序遍历,就是从根节点(第一层)开始,依次向下,获取每一层所有结点的值,有二叉树如下:

在这里插入图片描述

那么层序遍历的结果是: EBGADFHC
我们在4.4中创建的树上,添加层序遍历的API:

public Queue<Key> layerErgodic() :使用层序遍历,获取整个树中的所有键

实现步骤:

1.创建队列,存储每一层的结点;
2.使用循环从队列中弹出一个结点:
2.1获取当前结点的key;
2.2如果当前结点的左子结点不为空,则把左子结点放入到队列中
2.3如果当前结点的右子结点不为空,则把右子结点放入到队列中

在这里插入图片描述
在这里插入图片描述
代码:

// 使用层序遍历得到树中所有的键
public Queue<Key> layerErgodic(){
	Queue<Key> keys = new Queue<>();
	Queue<Node> nodes = new Queue<>();
	nodes.enqueue(root);
	while(!nodes.isEmpty()){
		Node x = nodes.dequeue();
		keys.enqueue(x.key);
		if (x.left!=null){
			nodes.enqueue(x.left);
		}
		if (x.right!=null){
			nodes.enqueue(x.right);
		}
	}
	return keys;
}
//测试代码
public class Test {
	public static void main(String[] args) throws Exception {
		BinaryTree<String, String> bt = new BinaryTree<>();
		bt.put("E", "5");
		bt.put("B", "2");
		bt.put("G", "7");
		bt.put("A", "1");
		bt.put("D", "4");
		bt.put("F", "6");
		bt.put("H", "8");
		bt.put("C", "3");
		Queue<String> queue = bt.layerErgodic();
		for (String key : queue) {
			System.out.println(key+"="+bt.get(key));
		}
	}
}

七、二叉树的最大深度问题

需求:
给定一棵树,请计算树的最大深度(树的根节点到最远叶子结点的最长路径上的结点数)

在这里插入图片描述

上面这棵树的最大深度为4。
实现:
我们在1.4中创建的树上,添加如下的API求最大深度:

public int maxDepth() :计算整个树的最大深度
private int maxDepth(Node x): 计算指定树x的最大深度

实现步骤:

1.如果根结点为空,则最大深度为0;
2.计算左子树的最大深度;
3.计算右子树的最大深度;
4.当前树的最大深度=左子树的最大深度和右子树的最大深度中的较大者+1

代码:

// 计算整个树的最大深度
public int maxDepth() {
	return maxDepth(root);
}
//计算指定树x的最大深度
private int maxDepth(Node x) {
	//1.如果根结点为空,则最大深度为0;
	if (x == null) {
		return 0;
	}
	int max = 0;
	int maxL = 0;
	int maxR = 0;
	//2.计算左子树的最大深度;
	if (x.left != null) {
		maxL = maxDepth(x.left);
	}
	//3.计算右子树的最大深度;
	if (x.right != null) {
		maxR = maxDepth(x.right);
	}
	//4.当前树的最大深度=左子树的最大深度和右子树的最大深度中的较大者+1
	max = maxL > maxR ? maxL + 1 : maxR + 1;
	return max;
}
//测试代码
public class Test {
	public static void main(String[] args) throws Exception {
		BinaryTree<String, String> bt = new BinaryTree<>();
		bt.put("E", "5");
		bt.put("B", "2");
		bt.put("G", "7");
		bt.put("A", "1");
		bt.put("D", "4");
		bt.put("F", "6");
		bt.put("H", "8");
		bt.put("C", "3");
		int i = bt.maxDepth();
		System.out.println(i);
	}
}

八、折纸问题

需求:

请把一段纸条竖着放在桌子上,然后从纸条的下边向上方对折1次,压出折痕后展开。此时 折痕是凹下去的,即折痕突起的方向指向纸条的背面。如果从纸条的下边向上方连续对折2 次,压出折痕后展开,此时有三条折痕,从上到下依次是下折痕、下折痕和上折痕。
给定一 个输入参数N,代表纸条都从下边向上方连续对折N次,请从上到下打印所有折痕的方向 例如:N=1时,打印: down;N=2时,打印: down down up

在这里插入图片描述

分析:

我们把对折后的纸张翻过来,让粉色朝下,这时把第一次对折产生的折痕看做是根结点,那第二次对折产生的下折痕就是该结点的左子结点,而第二次对折产生的上折痕就是该结点的右子结点,这样我们就可以使用树型数据结构来描述对折后产生的折痕。

这棵树有这样的特点:

1.根结点为下折痕;
2.每一个结点的左子结点为下折痕;
3.每一个结点的右子结点为上折痕;

在这里插入图片描述
实现步骤:

1.定义结点类
2.构建深度为N的折痕树;
3.使用中序遍历,打印出树中所有结点的内容;

构建深度为N的折痕树:

1.第一次对折,只有一条折痕,创建根结点;
2.如果不是第一次对折,则使用队列保存根结点;
3.循环遍历队列:
3.1从队列中拿出一个结点;
3.2如果这个结点的左子结点不为空,则把这个左子结点添加到队列中;
3.3如果这个结点的右子结点不为空,则把这个右子结点添加到队列中;
3.4判断当前结点的左子结点和右子结点都不为空,如果是,则需要为当前结点创建一个值为down的左子结点,一个值为up的右子结点。

代码:

public class PaperFolding {
	public static void main(String[] args) {
		//构建折痕树
		Node tree = createTree(3);
		//遍历折痕树,并打印
		printTree(tree);
	}
	//3.使用中序遍历,打印出树中所有结点的内容;
	private static void printTree(Node tree) {
		if (tree==null){
			return;
		}
		printTree(tree.left);
		System.out.print(tree.item+",");
		printTree(tree.right);
	}
	//2.构建深度为N的折痕树;
	private static Node createTree(int N) {
			Node root = null;
		for (int i = 0; i <N ; i++) {
			if (i==0){
				//1.第一次对折,只有一条折痕,创建根结点;
				root = new Node("down",null,null);
			}else{
				//2.如果不是第一次对折,则使用队列保存根结点;
				Queue<Node> queue = new Queue<>();
				queue.enqueue(root);
				//3.循环遍历队列:
				while(!queue.isEmpty()){
					//3.1从队列中拿出一个结点;
					Node tmp = queue.dequeue();
					//3.2如果这个结点的左子结点不为空,则把这个左子结点添加到队列中;
					if (tmp.left!=null){
						queue.enqueue(tmp.left);
					}
					//3.3如果这个结点的右子结点不为空,则把这个右子结点添加到队列中;
					if (tmp.right!=null){
						queue.enqueue(tmp.right);
					}
					//3.4判断当前结点的左子结点和右子结点都不为空,如果是,则需要为当前结点创建一个值为down的左子结点,一个值为up的右子结点。
					if (tmp.left==null && tmp.right==null){
						tmp.left = new Node("down",null,null);
						tmp.right = new Node("up",null,null);
					}
				}
			}
		}
		return root;
	}
	//1.定义结点类
	private static class Node{
		//存储结点元素
		String item;
		//左子结点
		Node left;
		//右子结点
		Node right;
		public Node(String item, Node left, Node right) {
			this.item = item;
			this.left = left;
			this.right = right;
		}
	}
}