5G/NR - PUSCH DMRS

843 阅读2分钟

本文已参与「新人创作礼」活动,一起开启掘金创作之路。 ​

1. PUSCH DMRS序列

PUSCH DMRS序列在PUSCH配置为Transform precoding enabled和disabled时候使用的序列不一样。

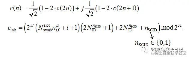
Transformprecoding disabled

可见此时PUSCH的DRMS序列生成方式与PDSCH的DMRS序列生成方式是一样的。

  • DCI format 0-1

对于DCI 0-1调度的PUSCH,​由DCI format 0-1中1比特DMRS sequenceinitialization field确定。

​或​如果DMRS-UplinkConfig中scramblingID0/scramblingID1配置了的话,则使用RRC配置的值,否则使用小区ID。

  • Type 1 configured grant

在Type 1 Configured Grant中,如果RRC配置中的dmrs-SeqInitialization配置了的话,则由其确定,否则​或​为小区ID。

  • DCI format 0-0

在C-RNTI/MCS-C-RNTI/CS-RNTI中的DCI format 0-0或其它上行调度,其取值为0,​。

  • 其它

其他场景,包括Type 0 Configured Grant,Temporary C-RNTI DCIformat 0,则​为小区ID。

Transformprecoding disabled

生成序列如下

RAR调度的PUSCH或者TC-RNTI加扰DCI format 0-0调度的PUSCH,groupHoppingEnabledTransformPrecoding作为hopping配置使用。

其它PUSCH,当hopping参数未配置时候,则仍然使用上面使用MSG3的hopping mode的即参数groupHoppingEnabledTransformPrecoding。

group hopping和sequence hopping参数确定之后,则确定序列的其它两个参数也确定。UE不期望网络同时使能group hopping和sequence hopping。

2. PUSCH DMRS频域位置

在transform precoding enabled的时候,在频域映射分为Configuration Type 1和Configuration Type 2。由dmrs-Type配置确定,如果该参数未配置,则为DMRS type 1。

Configuration Type 1

Configuration Type 2

在transform precoding disabled的时候,在频域映射则只为Configuration Type 1这种。

其中的reference point for k在transform precoding enabled和disabled不同。

3. PUSCH DMRS符号位置

DMRS的符号位置取决于PDSCH的mapping type,分为mapping type A和mapping type B,在NR - K0, K1, K2中介绍K2时候,参考表格或者配置可以获得PUSCH的mapping type。

两种mapping type在PUSCH的起始符号位置和PUSCH符号数的限制不同。Mappingtype A的起始符号只能在符号位置0。

与PDSCH的差别还在于PUSCH还会配置frequency intra-slot hopping方式,是否hopping两种方式下DMRS符号会有些差异。

intra-slot hopping disabled

intra-slot hopping enabled

38.211中Table  6.4.1.1.3-3和Table 6.4.1.1.3-4,single-symbol DMRS还是double-symbol DMRS取决于配置maxLength。

如果没有配置maxLength或者maxLength配置为len1,则取值为len1(single-symbol);如果配置为len2(double-symbol),那么需要通过DCI来指示取值为len1还是len2。

single-symbol DMRS

以ld等于12,PUSCH mapping type A为例。

跳频的情况下,以ld等于6,PUSCH mapping type A为例。

double-symbol DMRS

对于Table 6.4.1.1.3-4中的mapping type A,如果PUSCH的符号数为4,则dmrs-TypeA-Position为‘pos2’。

以ld等于12,PUSCH mapping type A为例。