手摸手提桶跑路——LeetCode删除排序链表中的重复元素系列

116 阅读3分钟

携手创作,共同成长!这是我参与「掘金日新计划 · 8 月更文挑战」的第14天,点击查看活动详情

83. 删除排序链表中的重复元素 [easy]

题目描述

给定一个已排序的链表的头 head ,删除所有重复的元素,使每个元素只出现一次。返回已排序的链表。

示例 1:

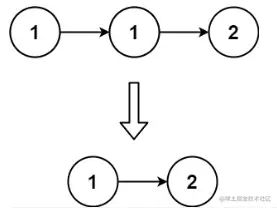
输入:head = [1,1,2]
输出:[1,2]

示例 2:

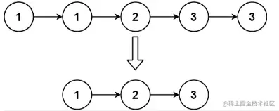
输入:head = [1,1,2,3,3]
输出:[1,2,3]

提示:

  • 链表中节点数目在范围 [0, 300]

  • -100 <= Node.val <= 100

  • 题目数据保证链表已经按升序 排列

解题思路

数组解法:

  1. 创建一个 Set 集合,然后遍历该链表,将链表中节点的值不断添加进集合,此时的 Set 集合中的值就是唯一的值了。
  2. 创建一个哨兵节点,用于后续对链表节点的添加。
  3. 遍历 Set 集合,同时对于 Set 集合中的每个元素,通过 new ListNode 创建一个节点,追加到这个哨兵节点尾部。
  4. 循环结束后,返回哨兵节点的 next 指向。

数组解法有点取巧的意思了,接下来看一种常规的解法。

修改链表指向解法:

初始化两个节点 slowfast,分别指向链表的 headhead.nextfast 始终快于 slow

遍历链表,当 fast.val === slow.val 时,说明两个节点重复了,这个时候应该修改链表的指向来删除 fast 这个节点,也就是将 slow.next 指针绕过 fast 节点,去指向 fast.next 所指向的节点,然后 fast 指针指向 slow.next 所指向的节点。否则就让 slow 移动到 fast 的位置,让 fast 移动到下一节点的位置。

题解——数组

var deleteDuplicates = function(head) {
    if(head == null) return head;
    if(head.next == null) return head;
    let t = head;
    const arr = new Set();
    while(t) {
        arr.add(t.val);
        t = t.next;
    }
    const newHead = new ListNode(0, null);
    t = newHead;
    for(let v of arr) {
        t.next = new ListNode(v, null);
        t = t.next;
    }
    return newHead.next;
};

题解——常规解法

var deleteDuplicates = function(head) {
    if(head == null) return head;
    if(head.next == null) return head;
    let slow = head, fast = head.next;
    while(fast) {
        if(slow.val == fast.val) { // delete
            slow.next = fast.next;
            fast = slow.next;
        } else {
            slow = fast; // 这里写 slow = slow.next 也是一样的
            fast = fast.next;
        }
    }
    return head;
};

83. 删除排序链表中的重复元素Ⅱ [middle]

题目描述

给定一个已排序的链表的头 head ,删除原始链表中所有重复数字的节点,只留下不同的数字。返回已排序的链表。

示例 1:

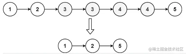
输入:head = [1,2,3,3,4,4,5]
输出:[1,2,5]

示例 2:

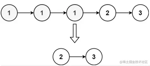
输入:head = [1,1,1,2,3]
输出:[2,3]

提示:

  • 链表中节点数目在范围 [0, 300]

  • -100 <= Node.val <= 100

  • 题目数据保证链表已经按升序 排列

解题思路

  1. 初始化一个变量 cur 指向 head 节点。

  2. 初始化一个哨兵节点用于后续节点的拼接。

  3. 比较 cur.val 和 cur.next.val

  4. 如果 cur.val === cur.next.val 的话,当前节点和下一个节点都是需要被舍弃的,那么存在一个问题,就是下下个节点可能还是相同节点,所以这边的处理需要一个循环,直到 cur.val != cur.next.val,将 cur.val 作为新节点的 val 值,追加到哨兵节点的尾部。

题解

var deleteDuplicates = function(head) {
    const h = new ListNode(0, null);
    let cur = head, tHead = h;
    while(cur) {
        if(cur.next && cur.val === cur.next.val) {
            while(cur && cur.next && cur.val === cur.next.val) {
                cur = cur.next;
            }
        } else {
            tHead.next = new ListNode(cur.val, null);
            tHead = tHead.next;
        }
        cur = cur.next;
    }
    return h.next;
};

注意这里的 while,只是将当前重复节点一直跳过,跳到最后时,cur 指向的节点依然是重复的最后一个节点,该节点也是需要跳过的。