算法作业2:分而治之

665 阅读6分钟

本文已参与「新人创作礼」活动, 一起开启掘金创作之路。 (分治算法笔记)

什么是分治?什么时候用分治?

  • 把大的问题划分为小的问题
  • 设计base case,解决小的问题
  • 可以捕获规模大问题规模小问题的关系时使用
    • 可以用递归
    • 可以用动态规划

分而治之与“栈”的关系

在计算5!5!的过程当中,需要记录拆分的过程当中的每一个子问题,并且在求解每一个子问题以后,逐层向上汇报结果。后拆分的子问题先得到了解决,整个过程恰好符合后进先出的规律 ,因此需要借助的数据结构是栈(stack)。

分而治之与减而治之的关系

只将原问题转化成一个规模更小的子问题,因此子问题的结果就是上一层原问题的结果,每一步只需要解决一个规模更小的子问题,相比较于分治思想而言,它没有合并的过程。

分而治之与尾递归的关系

return中只返回一个递归函数的调用结果,不对其进行进一步的合并。

分而治之与动态规划的关系

自顶向下与递归 「自顶向下」是直接面对我们要解决的问题,逐层拆分,直到不能拆分为止,再按照拆分的顺序的逆序逐层解决,直至原问题得到了解决,这是「递归」。

自底向上与递推 如果我们非常清楚一个问题最开始的样子,并且也清楚一个问题是如何从它最开始的样子逐步演变成为我们想要求解的问题的样子,我们就可以通过「递推」的方式,从小规模的问题开始逐步「递推」得到最终要解决的大问题的解。

机器学习中的分治

决策树是一种典型的分治算法;决策树是使用递归实现的。

从数据集中构建决策树的流程如下:

  • 得到原始的数据集,然后基于最好的特征划分数据集,由于特征可能有多个,因此可能存在大于两个分支的数据集划分。
  • 第一次划分之后,数据集将被向下传递到树分支的下一个节点,在这个节点上,可以再次划分数据。所以采用递归的原则处理数据集。

递归结束的条件:

程序遍历完所有划分数据集的属性,或者每个分支下的所有实例都具有相同的分类。 如果数据集已经处理了所有属性,但是类标签依然不是唯一的,此时我们需要决定如何定义该叶子节点,在这种情况下,我们通常会采用多数表决的方法定义该叶子节点的分类。

参考自: blog.csdn.net/beautiful77…

大数据中的分治

分布式计算框架Hadoop通过设计算子,对大问题进行分布式并行处理,最后归并为结果,提高了运算效率。

更多关于MapReduce的内容请访问: 大数据实验1: Hadoop, Scala, Spark的安装

归并排序

要说 Hadoop MapReduce 就不得不说分治算法,而分治算法其实说白了,就是四个字 分而治之 。其实就是将一个复杂的问题分解成多组相同或类似的子问题,对这些子问题再分,然后再分。直到最后的子问题可以简单得求解。

要具体介绍分治算法,那就不得不说一个很经典的排序算法 -- 归并排序。这里不说它的具体算法代码,只说明它的主要思想。而归并排序的思想正是分治思想。

在这里插入图片描述 二叉树的高 (log2n),每次用双指针的方式归并,因此扫描数组一遍,复杂度为O(n)\mathcal{O}(n);因此归并排序的复杂度是O(nlogn)\mathcal{O}(nlogn)

上述的例子这是比较简单的情况,那么我们想想看,当这个数组很大的时候又该怎么办呢?比如这个数组达到 100 GB大小,那么在一台机器上肯定是无法实现或是效率较为低下的。

那一台机器不行,那我们可以拆分到多台机器中去嘛。刚好使用分治算法将一个任务可以拆分成多个小任务,并且这多个小任务间不会相互干扰,可以独立计算。那么我们可以拆分这个数组,将这个数组拆分成 20 个块,每个的大小为 5 GB。然后将这每个 5 GB的块分散到各个不同的机器中去运行,最后再将处理的结果返回,让中央机器再进行一次完整的排序,这样无疑速度上会提升很多。

函数式的 MapReduce

Map 和 Reduce 其实是函数式编程中的两个语义。

Map 和循环 for 类似,只不过它有返回值。比如对一个 List 进行 Map 操作,它就会遍历 List 中的所有元素,然后根据每个元素处理后的结果返回一个新的值。下面这个例子就是利用 map 函数,将 List 中每个元素从 Int 类型 转换为 String 类型。

val a:List[Int] = List(1,2,3,4)
val b:List[String] = a.map(num => (num.toString))

而 Reduce 在函数式编程的作用则是进行数据归约。Reduce 方法需要传入两个参数,然后会递归得对每一个参数执行运算。还是用一个例子来说明:

val list:List[Int] = List(1,2,3,4,5)
list.reduce(_ - _)
//运算顺序是:1-2 = -1; -1-3 = -4; -4-4 = -8; -8-5 = -13;
//所以结果等于 -13 

参考自:www.cnblogs.com/listenfwind…

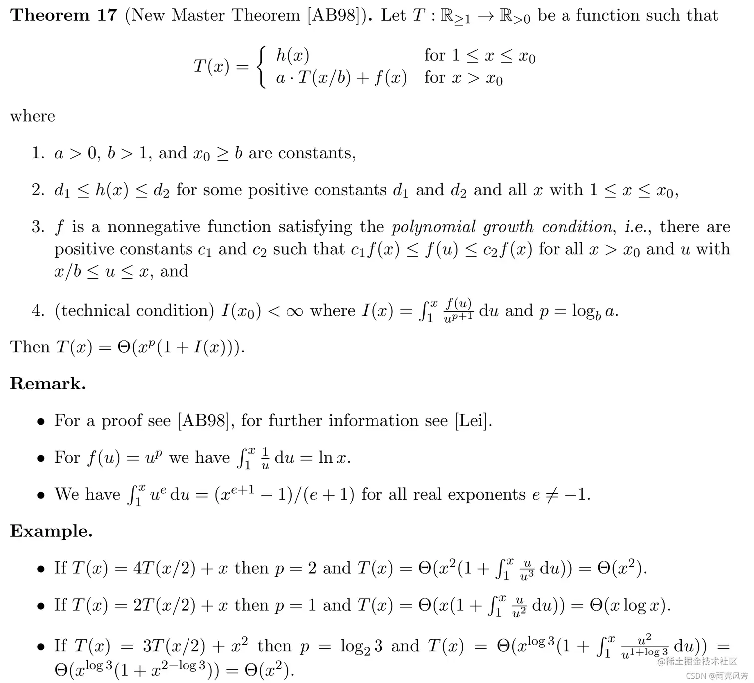
分治的度量:Master Therom

主定理,用于计算分治算法的复杂度。 在这里插入图片描述 比较的是g=nlogbag=n^{log_{b}{a}}f(n)f(n)的阶关系。

  • 如果f大,那么复杂度是O(f(n))\mathcal{O}(f(n))
  • 如果g大,那么复杂度是O(g(n))\mathcal{O}(g(n))
  • 如果f=O(g),那么复杂度是O(g(n)log(n))\mathcal{O}(g(n)·log(n)) 在这里插入图片描述 还有一个更加精准的新主定理: 在这里插入图片描述

典型例题

集合划分

题目描述 n个元素的集合{1,2,..., n }可以划分为若干个非空子集。 给定正整数n,计算出n 个元素的集合{1,2,..., n }可以划分为多少个不同的非空子集。

输入数据 多组输入(<=10组数据,读入以EOF结尾) 每组一行输入一个数字,n(0<n<=18)

输出数据 每组输出一行结果。

//
// Created by ZixinQin on 2021/9/17.
//
# include <cstdio>
# include <cmath>
# include <iostream>
typedef unsigned long long LL;
using namespace std;

LL reduce(int n, int m){
    if (m == n || m ==1){
        return 1;
    }
    if (m > n || m == 0){
        return 0;
    }
    return m* reduce(n-1,m)+ reduce(n-1,m-1);
}


int main() {
    int n;
    while (cin>>n){
        LL cnt = 0;
        for (int i = 1; i <=n ; ++i) {
            cnt += (LL)reduce(n,i);
        }
        cout<<cnt<<endl;
    }
    return 0;
}

二叉树的后续遍历

题目描述 给你一个二叉树,按照后序遍历的顺序输出这棵树。

输入数据 第一行一个整数 n (1≤n≤1e4) ,表示这棵树的节点数。 接下来有 n-1 行,每行有两个整数 u,v ,表示节点 u 到节点 v 有一条边,输入保证树以 1 为根,且 u 为 v 的父节点。对于一个节点的多个子节点,将更早输入的那一个子节点的视为他的左子节点。

输出数据 输出该树的后序遍历,节点编号之间用一个空格分隔。

样例输入 6 1 2 2 3 3 4 1 5 5 6 样例输出 4 3 2 6 5 1 样例说明 后序遍历的定义是:对访问的每个树,先访问他的左子树,然后访问他的右子树,最后访问根节点。

// Created by ZixinQin on 2021/9/17.
# include <cstdio>
# include <cmath>
# include <iostream>
using namespace std;
typedef struct node{
    int data;
    struct node* left;
    struct node* right;
    struct node* parent;
} Node;

typedef struct {
    Node* root;
}Tree;

void postorder(Node* node,char c){
    if (node){
        postorder(node->left,' ');
        postorder(node->right,' ');
        if (c!= NULL)
            printf("%d%c",node->data,c);
        else
            printf("%d",node->data);
    }
}

Node* findroot(Node* node){
    while(node->parent != NULL){
        findroot(node->parent);
    }
    return node;
}

int main() {
    int N;
    scanf("%d",&N);
    Node a[10100];

    for (int i = 1; i <= N; ++i) {
        a[i].parent = NULL;
        a[i].left =NULL;
        a[i].right = NULL;
        a[i].data = i;
    }

    for (int i = 0; i < N-1; ++i) {
        int u,v;
        scanf("%d %d",&u,&v);
        if (a[u].left== NULL){
            a[u].left = &a[v];
            a[v].parent = &a[u];
        } else{
            a[u].right = &a[v];
            a[v].parent = &a[u];
        }
    }
    Node* root = findroot(&a[1]);

    postorder(root,NULL);
}

简单背包问题

有 N 件物品和一个容量是 V 的背包。每件物品只能使用一次。

第 i 件物品的体积是 vi,价值是 wi。

求解将哪些物品装入背包,可使这些物品的总体积不超过背包容量,且总价值最大。 输出最大价值。

输入格式 第一行两个整数,N,V,用空格隔开,分别表示物品数量和背包容积。

接下来有 N 行,每行两个整数 vi,wi,用空格隔开,分别表示第 i 件物品的体积和价值。

输出格式 输出一个整数,表示最大价值。

数据范围 0<N,V≤1000 0<vi,wi≤1000 输入样例 4 5 1 2 2 4 3 4 4 5 输出样例: 8

#include <cstdio>
#include <cmath>
using namespace std;
int dp[1010][1010];
int vol[1010];
int w[1010];
int main(){
    int N,V;
    scanf("%d %d",&N,&V);
    for (int i=1;i<=N;++i){
        scanf("%d %d",&vol[i],&w[i]);
    }
    for (int i=1;i<=N;i++){ // select from top i items
         for (int j=0;j<=V;j++){ // s.t. total volume leq V
            dp[i][j] = dp[i-1][j];
            if (j>= vol[i]){
                dp[i][j] = max(dp[i][j],dp[i-1][j-vol[i]] + w[i]);
            }
         }
    }
    printf("%d",dp[N][V]);
}