【总结list set 和map】

154 阅读15分钟

说到集合,就list接口,set接口和map接口 想了解他们几个,必不可少的得先了解他们的数据结构

数据机构

我们先介绍几个数据结构:数组,链表,树 1.数组

Char[] sz = new Char[]{'S','H','U','Z','U'};
Char[] sz1 = new Char[5];
cs1[0] = 'S';
....

数组由图可见,这就是数组结构,看着图我们不难总结出几个特点:

1.内存地址连续 2.可以通过下标访问的方式访问成员,所以查询效率高 3.增删操作会给系统带来性能消耗[保证数据下标越界的问题,需要动态扩容]

2.链表

 private static class Node<E> {
        E item; // 节点的元素
        Node<E> next; // 下一个节点
        Node<E> prev; // 上一个节点

        Node(Node<E> prev, E element, Node<E> next) {
            this.item = element;
            this.next = next;
            this.prev = prev;
        }
    }

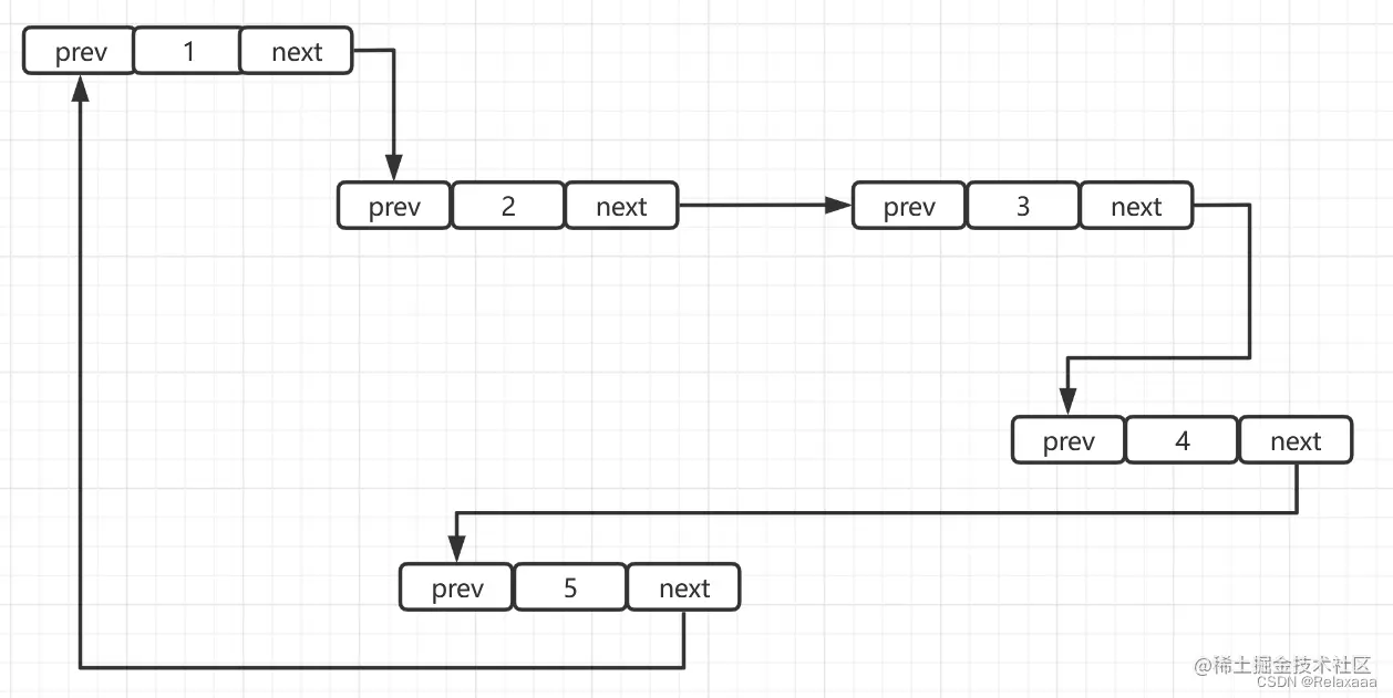
链表 这是一个链表草图(请不要吐槽我hhhh),由图课件,链表是由节点存储的,每一个节点由(prev,数据,next)三部分组成,和数组对比链表空间更自由,也不要求连续。

添加节点

只需要将节点的next和下一个节点的prev连接起来即可。在这里插入图片描述删除节点 原本的4的next会指向5的prev,我们要删除5,只需将4的next指向下一个节点即可,多出来的5会被GC掉。 在这里插入图片描述总结一下:

1.灵活的空间要求,存储空间不要求连续 2.不支持下标的访问,支持顺序遍历检索 3.针对增删效率会更高些,只和操作节点的前后节点有关系,无需移动元素。

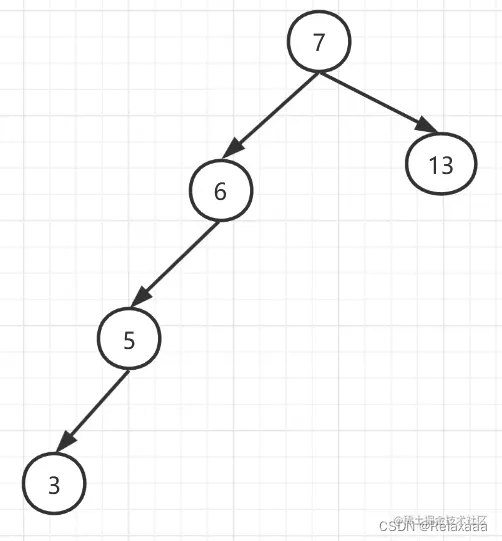
3.树 树(这个图画出来真的蚌埠住了,手残画不好哇)

二叉树具有以下特点: (1)某节点的左子树节点值仅包含小于该节点值 (2)某节点的右子树节点值仅包含大于该节点值 (3)左右子树每个也必须是二叉查找树 (4)顺序排列

通俗点讲就是两边都是二叉树且顺序排列,右边大于左边,如果新插进来一个,跟节点对比一下,比他大就往右边去,比它小就往左边去。

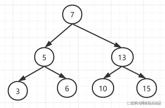
上图相当于是平衡二叉树,既然有平衡的,那肯定有不平衡的,比如这样的 不平衡二叉树 这样的查询效率不高,想要效率高肯定要平衡,红黑树就解决了这个问题,红黑树是一个自平衡二叉树。

红黑树

在这里插入图片描述在这里插入图片描述

​ 红黑树,Red-Black Tree [RBT] 是一个自平衡【不是绝对】的二叉查找树,树上的节点满足如下的规则

1.每个节点要么是红色,要么是黑色。

2.根节点必须是黑色

3.每个叶子节点【NIL】是黑色

4.每个红色节点的两个子节点必须是黑色

5.任意节点到每个叶子节点的路径包含相同数量的黑节点

黑平衡二叉树

1.recolor 重新标志节点为红色或者黑色

2.rotation 旋转 树达到平衡的关键

红黑树能自平衡,它靠的是什么?三种操作:左旋、右旋和变色

左旋:以某个结点作为支点(旋转结点),其右子结点变为旋转结点的父结点, 右子结点的左子结点变为旋转结点的右子结点,左子结点保持不变。 右旋:以某个结点作为支点(旋转结点),其左子结点变为旋转结点的父结点, 左子结点的右子结点变为旋转结点的左子结点,右子结点保持不变。 变色:结点的颜色由红变黑或由黑变红。

红黑树插入的场景 在这里插入图片描述红黑树模拟 这个是红黑树模拟,我红黑树的第一张图也是这里模拟截的图,这些理论可能看着晦涩难懂,大家去玩几把就好理解一些。

二.集合 有了上面的几个数据机构打基础剩下的就好说了 集合这张图肯定不会陌生,应该都见过hh。 collection 这是从idea截出来的collection接口

List接口

1.ArrayList

在这里插入图片描述

​ 本质就是动态数组,动态扩容

    /**
     * Default initial capacity.
       默认的数组的长度
     */
    private static final int DEFAULT_CAPACITY = 10;

    /**
     * Shared empty array instance used for empty instances.
     空数组
     */
    private static final Object[] EMPTY_ELEMENTDATA = {};

    /**
     * Shared empty array instance used for default sized empty instances. We
     * distinguish this from EMPTY_ELEMENTDATA to know how much to inflate when
     * first element is added.
     */
    private static final Object[] DEFAULTCAPACITY_EMPTY_ELEMENTDATA = {};

    /**
     * The array buffer into which the elements of the ArrayList are stored.
     * The capacity of the ArrayList is the length of this array buffer. Any
     * empty ArrayList with elementData == DEFAULTCAPACITY_EMPTY_ELEMENTDATA
     * will be expanded to DEFAULT_CAPACITY when the first element is added.
       集合中存储数据的 数组对象
     */
    transient Object[] elementData; // non-private to simplify nested class access

    /**
     * The size of the ArrayList (the number of elements it contains).
     *  集合中元素的个数
     * @serial
     */
    private int size;

初始操作

无参构造

public ArrayList() {
        this.elementData = DEFAULTCAPACITY_EMPTY_ELEMENTDATA;
        // this.elementData = {}
}

有参构造

    public ArrayList(int initialCapacity) {
        if (initialCapacity > 0) {
            // 初始长度大于0 就创建一个指定大小的数组
            this.elementData = new Object[initialCapacity];
        } else if (initialCapacity == 0) {
            // {}数组赋值给 this.elementData
            this.elementData = EMPTY_ELEMENTDATA;
        } else {
            throw new IllegalArgumentException("Illegal Capacity: "+
                                               initialCapacity);
        }
    }

add方法

初始无参构造器

第一次添加
public boolean add(E e) {
    // 确定容量 动态扩容 size 初始 0
    ensureCapacityInternal(size + 1);  // Increments modCount!!
    // 将要添加的元素 添加到数组中 elementData[0] = 1 --> size = 1
    elementData[size++] = e;
    return true;
}
private void ensureCapacityInternal(int minCapacity) {
        // ensureExplicitCapacity(10)
        ensureExplicitCapacity(calculateCapacity(elementData, minCapacity));
}
/**
* elementData {}
  minCapacity 1
*/
private static int calculateCapacity(Object[] elementData, int minCapacity) {
    if (elementData == DEFAULTCAPACITY_EMPTY_ELEMENTDATA) {
        // 10  1 return 10
        return Math.max(DEFAULT_CAPACITY, minCapacity);
    }
    // 5
    return minCapacity;
}
private void ensureExplicitCapacity(int minCapacity) {
    modCount++; // 增长 操作次数

    // minCapacity 10
    if (minCapacity - elementData.length > 0)
        grow(minCapacity);
}
private void grow(int minCapacity) { // 10
    // overflow-conscious code
    int oldCapacity = elementData.length; // 0
    // newCapacity = 0
    int newCapacity = oldCapacity + (oldCapacity >> 1);
    if (newCapacity - minCapacity < 0)
        // newCapacity = 10 
        newCapacity = minCapacity;
    if (newCapacity - MAX_ARRAY_SIZE > 0)
        newCapacity = hugeCapacity(minCapacity);
    // {}   {,,,,,,,,,} 返回一个新的数组 长度为10
    elementData = Arrays.copyOf(elementData, newCapacity);
}
第二次添加
elementData = {1,,,,,,,,,};
size = 1;
public boolean add(E e) {
    // 2
    ensureCapacityInternal(size + 1);  // Increments modCount!!
    elementData[size++] = e; // elementData[1] = 2  size = 2
    return true;
}
private static int calculateCapacity(Object[] elementData, int minCapacity) {
    if (elementData == DEFAULTCAPACITY_EMPTY_ELEMENTDATA) {
        return Math.max(DEFAULT_CAPACITY, minCapacity);
    }
    // 2
    return minCapacity;
}
private void ensureExplicitCapacity(int minCapacity) {
    modCount++;

    // overflow-conscious code 2 - 10
    if (minCapacity - elementData.length > 0)
        grow(minCapacity);
}
第十一次添加
elementData = {1,2,3,4,5,6,7,8,9,10};
size = 10;
public boolean add(E e) {
    ensureCapacityInternal(size + 1);  // Increments modCount!!
    elementData[size++] = e;
    return true;
}
private void ensureCapacityInternal(int minCapacity) {
    // ensureExplicitCapacity(11)
    ensureExplicitCapacity(calculateCapacity(elementData, minCapacity));
}
private void ensureExplicitCapacity(int minCapacity) {
    modCount++;

    // 11 - 10 > 0
    if (minCapacity - elementData.length > 0)
    	//这个就是扩容方法
        grow(minCapacity);
}

grow扩容方法

private void grow(int minCapacity) { // 11
    // 10(记录原来的容量)
    int oldCapacity = elementData.length;
    // 15  newCapacity 是oldCapacity的1.5倍
    // 计算新的容量 新容量为 老容量的1.5倍 第一次为0
    int newCapacity = oldCapacity + (oldCapacity >> 1);
    if (newCapacity - minCapacity < 0)
        newCapacity = minCapacity;
    if (newCapacity - MAX_ARRAY_SIZE > 0)
        newCapacity = hugeCapacity(minCapacity);
    // minCapacity is usually close to size, so this is a win:
    // {1,2,3,4,5,6,7,8,9,10} -- > {1,2,3,4,5,6,7,8,9,10,,,,,}
    // 把原来数组中的内容拷贝到一个新建的指定容量为newCapacity的数组中,扩容
    elementData = Arrays.copyOf(elementData, newCapacity);
}

get方法

public E get(int index) {
    // 检查下标是否合法
    rangeCheck(index);
	// 通过下标获取数组对应的元素
    return elementData(index);
}

set方法

public E set(int index, E element) {
    rangeCheck(index); // 检查下标
	// 获取下标原来的值
    E oldValue = elementData(index);
    elementData[index] = element;
    return oldValue;
}

remove方法

public E remove(int index) {
    rangeCheck(index);

    modCount++;
    E oldValue = elementData(index);
	// 获取要移动的元素的个数 {1,2,3,4,5,6,7,8,9} // 3  size=9  index=3
    //  {1,2,3,5,6,7,8,9,null}
    int numMoved = size - index - 1; // 5
    if (numMoved > 0)
        // 源数组 开始下标 目标数组 开始下标 长度
        System.arraycopy(elementData, index+1, elementData, index,
                         numMoved);
    elementData[--size] = null; // clear to let GC do its work
	// 删除的节点对应的信息
    return oldValue;
}

2.LinkedList

链表我们把上面的图再拿过来用一下hhhh。

​ LinkedList是通过双向链表去实现的,他的数据结构具有双向链表的优缺点,既然是双向链表,那么的它的顺序访问效率会非常高,而随机访问的效率会比较低,它包含一个非常重要的私有内部静态类:Node

private static class Node<E> {
    E item; // 节点的元素
    Node<E> next; // 下一个节点
    Node<E> prev;  // 上一个节点

    Node(Node<E> prev, E element, Node<E> next) {
        this.item = element;
        this.next = next;
        this.prev = prev;
    }
}

get方法:本质上还是遍历链表中的数据

    Node<E> node(int index) {
        // assert isElementIndex(index);
		// index 和 长度的一半比较
        if (index < (size >> 1)) {
            Node<E> x = first;
            // 从头开始循环
            for (int i = 0; i < index; i++)
                x = x.next;
            return x;
        } else {
            Node<E> x = last;
            // 从尾部开始循环
            for (int i = size - 1; i > index; i--)
                x = x.prev;
            return x;
        }
    }

set方法

public E set(int index, E element) {
    checkElementIndex(index);// 检查下标是否合法
    Node<E> x = node(index); // 根据下标获取对应的node对象
    E oldVal = x.item; // 记录原来的值
    x.item = element; // 赋予新的值
    return oldVal; // 返回修改之前的值
}

3.Vector

和ArrayList很类似,都是以动态数组的形式来存储数据

Vector线程安全的

每个操作方法都加的有synchronized关键字,针对性能来说会比较大的影响,慢慢就被放弃了

Collections

可以增加代码的灵活度,在我们需要同步是时候就通过如下代码实现

List syncList = Collections.synchronizedList(list);

本质上

 public E get(int index) {
     synchronized (mutex) {return list.get(index);}
 }
public E set(int index, E element) {
    synchronized (mutex) {return list.set(index, element);}
}
public void add(int index, E element) {
    synchronized (mutex) {list.add(index, element);}
}
public E remove(int index) {
    synchronized (mutex) {return list.remove(index);}
}

它将我们所以的方法加上了synchronized 。。

Set接口

在这里插入图片描述

1.HashSet

在这里插入图片描述

概述

​ HashSet实现Set接口,由哈希表支持,它不保证set的迭代顺序,特别是它不保证该顺序永久不变,运行使用null。

public HashSet() {
    map = new HashMap<>();
}

add方法

public boolean add(E e) {
    return map.put(e, PRESENT)==null;
}

本质上是将数据保持在 HashMap中 key就是我们添加的内容,value就是我们定义的一个Object对象

特点

​ 底层数据结构是哈希表,HashSet的本质是一个"没有重复元素"的集合,他是通过HashMap实现的.HashSet中含有一个HashMap类型的成员变量map.在HashSet中操作函数,实际上都是通过map实现的。所以了解了HashMap就了解了HashSet。

2.TreeSet

在这里插入图片描述

概述

​ 基于TreeMap的 NavigableSet实现。使用元素的自然顺序对元素进行排序,或者根据创建 set 时提供的 Comparator进行排序,具体取决于使用的构造方法。

public TreeSet() {
    this(new TreeMap<E,Object>());
}

本质是将数据保存在TreeMap中,key是我们添加的内容,value是定义的一个Object对象。

特点

  1. TreeSet 是一个有序的并且可排序的集合,它继承于AbstractSet抽象类,实现了NavigableSet, Cloneable, java.io.Serializable接口。
  2. TreeSet是基于TreeMap实现的。TreeSet中的元素支持2种排序方式:自然排序 或者 根据创建TreeSet 时提供的 Comparator 进行排序。这取决于使用的构造方法。同样的了解了TreeMap就了解了TreeSet。

Map接口

Map集合的特点

1.能够存储唯一的列的数据(唯一,不可重复) Set

2.能够存储可以重复的数据(可重复) List

3.值的顺序取决于键的顺序

4.键和值都是可以存储null元素的

TreeMap

TreeMap 在这里插入图片描述

本质上就是红黑树的实现

1.每个节点要么是红色,要么是黑色。

2.根节点必须是黑色

3.每个叶子节点【NIL】是黑色

4.每个红色节点的两个子节点必须是黑色

5.任意节点到每个叶子节点的路径包含相同数量的黑节点

private final Comparator<? super K> comparator; // 比较器

private transient Entry<K,V> root; // 根节点

/**
 * The number of entries in the tree
 */
private transient int size = 0; // map中元素的个数

/**
 * The number of structural modifications to the tree.
 */
private transient int modCount = 0; // 记录修改的次数

 K key; // key
V value; // 值
Entry<K,V> left; // 左子节点
Entry<K,V> right; // 右子节点
Entry<K,V> parent; // 父节点
boolean color = BLACK; // 节点的颜色  默认是黑色

put为例

    public V put(K key, V value) {
        // 将root赋值给局部变量  null
        Entry<K,V> t = root;
        if (t == null) {
            // 初始操作
            // 检查key是否为空
            compare(key, key); // type (and possibly null) check
			// 将要添加的key、 value封装为一个Entry对象 并赋值给root
            root = new Entry<>(key, value, null);
            size = 1;
            modCount++;
            return null;
        }
        int cmp;
        Entry<K,V> parent; // 父节点
        // split comparator and comparable paths
        Comparator<? super K> cpr = comparator; // 获取比较器
        if (cpr != null) {
            // 一直找到插入节点的父节点
            do {
                // 将root赋值给了parent
                parent = t;
                // 和root节点比较值得大小
                cmp = cpr.compare(key, t.key);
                if (cmp < 0)
                    // 将父节点的左子节点付给了t
                    t = t.left;
                else if (cmp > 0)
                    t = t.right; // 将父节点的右节点付给了t
                else
                    // 直接和父节点的key相等,直接修改值
                    return t.setValue(value);
            } while (t != null);
        }
        else {
            if (key == null)
                throw new NullPointerException();
            @SuppressWarnings("unchecked")
                Comparable<? super K> k = (Comparable<? super K>) key;
            do {
                parent = t;
                cmp = k.compareTo(t.key);
                if (cmp < 0)
                    t = t.left;
                else if (cmp > 0)
                    t = t.right;
                else
                    return t.setValue(value);
            } while (t != null);
        }
        // t 就是我们要插入节点的父节点 parent
        // 将我们要插入的key value 封装成了一个Entry对象
        Entry<K,V> e = new Entry<>(key, value, parent);
        if (cmp < 0)
            parent.left = e; // 插入的节点在parent节点的左侧
        else
            parent.right = e; // 插入的节点在parent节点的右侧
        fixAfterInsertion(e); // 实现红黑树的平衡
        size++;
        modCount++;
        return null;
    }

/** From CLR */
private void fixAfterInsertion(Entry<K,V> x) {
    // 设置添加节点的颜色为 红色
    x.color = RED;
	// 循环的条件 添加的节点不为空  不是root节点  父节点的颜色为红色
    while (x != null && x != root && x.parent.color == RED) {
        // 父节点是否是 祖父节点的左侧节点
        if (parentOf(x) == leftOf(parentOf(parentOf(x)))) {
            // 获取父节点的 兄弟节点  叔叔节点
            Entry<K,V> y = rightOf(parentOf(parentOf(x)));
            if (colorOf(y) == RED) { // 叔叔节点是红色
                // 变色
                setColor(parentOf(x), BLACK); // 设置 父节点的颜色为黑色
                setColor(y, BLACK); // 设置叔叔节点的颜色为 黑色
                setColor(parentOf(parentOf(x)), RED); // 设置 祖父节点的颜色是 红色
                // 将祖父节点设置为 插入节点
                x = parentOf(parentOf(x));
            } else { // 叔叔节点是黑色
                if (x == rightOf(parentOf(x))) {
                    // 判断插入节点是否是 父节点的右侧节点
                    x = parentOf(x); // 将父节点作为插入节点
                    rotateLeft(x); // 左旋
                }
                setColor(parentOf(x), BLACK);
                setColor(parentOf(parentOf(x)), RED);
                rotateRight(parentOf(parentOf(x)));// 右旋
            }
        } else {// 父节点是祖父节点的右侧子节点
            // 获取叔叔节点
            Entry<K,V> y = leftOf(parentOf(parentOf(x)));
            if (colorOf(y) == RED) { // 叔叔节点为红色
                // recolor 变色
                setColor(parentOf(x), BLACK);
                setColor(y, BLACK);
                setColor(parentOf(parentOf(x)), RED);
                x = parentOf(parentOf(x));
            } else {
                // 插入节点在父节点的右侧
                if (x == leftOf(parentOf(x))) {
                    x = parentOf(x);
                    rotateRight(x); // 右旋
                }
                setColor(parentOf(x), BLACK);
                setColor(parentOf(parentOf(x)), RED);
                rotateLeft(parentOf(parentOf(x))); // 左旋
            }
        }
    }
    // 根节点的颜色为黑色
    root.color = BLACK;
}

HashMap

HashMap 在这里插入图片描述

HashMap底层结构 Jdk1.7及以前是采用数组+链表 Jdk1.8之后 采用数组+链表 或者 数组+红黑树方式进行元素的存储 存储在hashMap集合中的元素都将是一个Map.Entry的内部接口的实现


// The default initial capacity - MUST be a power of two. 
//数组的容量 初始是16  必须是2的幂次方
static final int DEFAULT_INITIAL_CAPACITY = 1 << 4; // aka 16
// HashMap中的数组的最大容量 
static final int MAXIMUM_CAPACITY = 1 << 30;
// 默认的扩容的平衡因子
static final float DEFAULT_LOAD_FACTOR = 0.75f;
// 链表转红黑树的 临界值
static final int TREEIFY_THRESHOLD = 8;
// 红黑树转链表的 临界值
static final int UNTREEIFY_THRESHOLD = 6
// 链表转红黑树的数组长度的临界值 
static final int MIN_TREEIFY_CAPACITY = 64;

// HashMap中的数组结构
transient Node<K,V>[] table;
// HashMap中的元素个数
transient int size;
// 对HashMap操作的次数
transient int modCount;
// 扩容的临界值
int threshold;
// 实际的扩容值
final float loadFactor;

put方法原理分析

public V put(K key, V value) {
    return putVal(hash(key), key, value, false, true);
}

hash(key):获取key对应的hash值

static final int hash(Object key) {
    int h;
    // key.hashCode() 32长度的二进制的值
    return (key == null) ? 0 : (h = key.hashCode()) ^ (h >>> 16);
}

为什么要右移16位?

A:1000010001110001000001111000000

B:0111011100111000101000010100000

A 和 B 对 15 11111&预算 得到的都是 0 相同,会造成散列分布不均匀

插入

    final V putVal(int hash, K key, V value, boolean onlyIfAbsent,
                   boolean evict) {
        Node<K,V>[] tab; Node<K,V> p; int n, i;
        if ((tab = table) == null || (n = tab.length) == 0)
            // 初始的判断
            // resize() 初始数组  扩容 初始的时候 获取了一个容量为16的数组
            n = (tab = resize()).length; // n 数组长度
        // 确定插入的key在数组中的下标 15  11111
        // 100001000111000
        //            1111
        //            1000 = 8
        if ((p = tab[i = (n - 1) & hash]) == null)
            // 通过hash值找到的数组的下标  里面没有内容就直接赋值
            tab[i] = newNode(hash, key, value, null);
        else {
            Node<K,V> e; K k;
            if (p.hash == hash  // hash值相同&& 
                // key也相同
                ((k = p.key) == key || (key != null && key.equals(k))))
                // 插入的值的key 和 数组当前位置的 key是同一个 那么直接修改里面内容
                e = p;
            else if (p instanceof TreeNode)
                // 表示 数组中存放的节点是一个 红黑树节点
                e = ((TreeNode<K,V>)p).putTreeVal(this, tab, hash, key, value);
            else {
                // 表示节点就是普通的链表
                for (int binCount = 0; ; ++binCount) {
                    if ((e = p.next) == null) {
                        // 到了链表的尾部
                        p.next = newNode(hash, key, value, null);
                        // 将新的节点添加到了链表的尾部
                        // 判断是否满足 链表转红黑树的条件
                        if (binCount >= TREEIFY_THRESHOLD - 1) // -1 for 1st
                            // 转红黑树
                            treeifyBin(tab, hash);
                        break;
                    }
                    if (e.hash == hash &&
                        ((k = e.key) == key || (key != null && key.equals(k))))
                        break;
                    p = e;
                }
            }
            if (e != null) { // existing mapping for key
                V oldValue = e.value;
                if (!onlyIfAbsent || oldValue == null)
                    e.value = value;
                afterNodeAccess(e);
                return oldValue;
            }
        }
        ++modCount;
        if (++size > threshold)
            resize();
        afterNodeInsertion(evict);
        return null;
    }

第一次resize()第一次执行时 创建了一个 Node[16] 扩容的临界值(12)

    final Node<K,V>[] resize() {
        // table = null
        Node<K,V>[] oldTab = table;
        // oldCap = 0
        int oldCap = (oldTab == null) ? 0 : oldTab.length;
        // 原来的扩容因子 0
        int oldThr = threshold;
        // 新的容量和新的扩容因子
        int newCap, newThr = 0;
        if (oldCap > 0) { // 初始不执行 0
            if (oldCap >= MAXIMUM_CAPACITY) {
                threshold = Integer.MAX_VALUE;
                return oldTab;
            }
            else if ((newCap = oldCap << 1) < MAXIMUM_CAPACITY &&
                     oldCap >= DEFAULT_INITIAL_CAPACITY)
                newThr = oldThr << 1; // double threshold
        }// 初始为0
        else if (oldThr > 0) // initial capacity was placed in threshold
            newCap = oldThr;
        else {  
            // 新的数组容量 16
            newCap = DEFAULT_INITIAL_CAPACITY;
            // 新的扩容因子 0.75 * 16 = 12
            newThr = (int)(DEFAULT_LOAD_FACTOR * DEFAULT_INITIAL_CAPACITY);
        }
        if (newThr == 0) {
            float ft = (float)newCap * loadFactor;
            newThr = (newCap < MAXIMUM_CAPACITY && ft < (float)MAXIMUM_CAPACITY ?
                      (int)ft : Integer.MAX_VALUE);
        }// 更新了 扩容的临界值 12
        threshold = newThr;
        @SuppressWarnings({"rawtypes","unchecked"})
        // 创建了一个容量为16的Node数组
        Node<K,V>[] newTab = (Node<K,V>[])new Node[newCap];
        table = newTab; // 更新了table
        if (oldTab != null) {
            for (int j = 0; j < oldCap; ++j) {
                Node<K,V> e;
                if ((e = oldTab[j]) != null) {
                    oldTab[j] = null;
                    if (e.next == null)
                        newTab[e.hash & (newCap - 1)] = e;
                    else if (e instanceof TreeNode)
                        ((TreeNode<K,V>)e).split(this, newTab, j, oldCap);
                    else { // preserve order
                        Node<K,V> loHead = null, loTail = null;
                        Node<K,V> hiHead = null, hiTail = null;
                        Node<K,V> next;
                        do {
                            next = e.next;
                            if ((e.hash & oldCap) == 0) {
                                if (loTail == null)
                                    loHead = e;
                                else
                                    loTail.next = e;
                                loTail = e;
                            }
                            else {
                                if (hiTail == null)
                                    hiHead = e;
                                else
                                    hiTail.next = e;
                                hiTail = e;
                            }
                        } while ((e = next) != null);
                        if (loTail != null) {
                            loTail.next = null;
                            newTab[j] = loHead;
                        }
                        if (hiTail != null) {
                            hiTail.next = null;
                            newTab[j + oldCap] = hiHead;
                        }
                    }
                }
            }
        }
        return newTab;
    }

treeifyBin方法 如果数组的长度没有达到64 那么就尝试扩容 并不会转换为红黑树

    final void treeifyBin(Node<K,V>[] tab, int hash) {
        int n, index; Node<K,V> e;
        // tab为空 或者 数组的长度小于64
        if (tab == null || (n = tab.length) < MIN_TREEIFY_CAPACITY)
            resize(); // 扩容
        else if ((e = tab[index = (n - 1) & hash]) != null) {
            // 链表转红黑树的逻辑
            TreeNode<K,V> hd = null, tl = null;
            do {
                TreeNode<K,V> p = replacementTreeNode(e, null);
                if (tl == null)
                    hd = p;
                else {
                    p.prev = tl;
                    tl.next = p;
                }
                tl = p;
            } while ((e = e.next) != null);
            if ((tab[index] = hd) != null)
                hd.treeify(tab);
        }
    }

动态扩容

    final Node<K,V>[] resize() {
        // [1,2,3,4,5,6,7,8,9,10,11,,,,]
        Node<K,V>[] oldTab = table;
        // 16
        int oldCap = (oldTab == null) ? 0 : oldTab.length;
        // 12
        int oldThr = threshold;
        int newCap, newThr = 0;
        if (oldCap > 0) {
            if (oldCap >= MAXIMUM_CAPACITY) {
                threshold = Integer.MAX_VALUE;
                return oldTab;
            }
            // 新的容量是 原来容量的两倍
            else if ((newCap = oldCap << 1) < MAXIMUM_CAPACITY &&
                     oldCap >= DEFAULT_INITIAL_CAPACITY)
                // 扩容的临界值  原来的两倍 24
                newThr = oldThr << 1; // double threshold
        }
        else if (oldThr > 0) // initial capacity was placed in threshold
            newCap = oldThr;
        else {               // zero initial threshold signifies using defaults
            newCap = DEFAULT_INITIAL_CAPACITY;
            newThr = (int)(DEFAULT_LOAD_FACTOR * DEFAULT_INITIAL_CAPACITY);
        }
        if (newThr == 0) {
            float ft = (float)newCap * loadFactor;
            newThr = (newCap < MAXIMUM_CAPACITY && ft < (float)MAXIMUM_CAPACITY ?
                      (int)ft : Integer.MAX_VALUE);
        }
        threshold = newThr;
        @SuppressWarnings({"rawtypes","unchecked"})
        // 创建的数组的长度是32
        Node<K,V>[] newTab = (Node<K,V>[])new Node[newCap];
        table = newTab;
        if (oldTab != null) { // 初始的时候是不需要复制的
            for (int j = 0; j < oldCap; ++j) {
                Node<K,V> e;
                if ((e = oldTab[j]) != null) {
                    oldTab[j] = null;
                    if (e.next == null)
                        // 数组中的元素就一个 找到元素在新的数组中的位置 赋值
                        newTab[e.hash & (newCap - 1)] = e;
                    else if (e instanceof TreeNode)
                        // 移动红黑树节点
                        ((TreeNode<K,V>)e).split(this, newTab, j, oldCap);
                    else { // preserve order
                        // 普通的链表的移动
                        Node<K,V> loHead = null, loTail = null;
                        Node<K,V> hiHead = null, hiTail = null;
                        Node<K,V> next;
                        do {
                            next = e.next;
                            if ((e.hash & oldCap) == 0) {
                                if (loTail == null)
                                    loHead = e;
                                else
                                    loTail.next = e;
                                loTail = e;
                            }
                            else {
                                if (hiTail == null)
                                    hiHead = e;
                                else
                                    hiTail.next = e;
                                hiTail = e;
                            }
                        } while ((e = next) != null);
                        if (loTail != null) {
                            loTail.next = null;
                            newTab[j] = loHead;
                        }
                        if (hiTail != null) {
                            hiTail.next = null;
                            newTab[j + oldCap] = hiHead;
                        }
                    }
                }
            }
        }
        return newTab;
    }

hashmap

最后附图一张,方便理解。 如有错误请各位多多指正!