Java集合

106 阅读11分钟

List,Set,Map三者的区别?

在这里插入图片描述

  • Java 容器分为 Collection 和 Map 两大类,Collection集合的子接口有Set、List、Queue三种子接口。我们比较常用的是Set、List,Map接口不是collection的子接口。

  • Collection集合主要有List和Set两大接口

    • List:一个有序(元素存入集合的顺序和取出的顺序一致)容器,元素可以重复,可以插入多个null元素,元素都有索引。常用的实现类有 ArrayList、LinkedList 和 Vector。
    • Set:一个无序(存入和取出顺序有可能不一致)容器,不可以存储重复元素,只允许存入一个null元素,必须保证元素唯一性。Set 接口常用实现类是 HashSet、LinkedHashSet 以及 TreeSet。
  • Map是一个键值对集合,存储键、值和之间的映射。 Key无序,唯一;value 不要求有序,允许重复。Map没有继承于Collection接口,从Map集合中检索元素时,只要给出键对象,就会返回对应的值对象。

    • Map 的常用实现类:HashMap、TreeMap、HashTable、LinkedHashMap、ConcurrentHashMap

Java集合的快速失败机制 “fail-fast”?

  • 是java集合的一种错误检测机制,当多个线程对集合进行结构上的改变的操作时,有可能会产生 fail-fast 机制。

  • 例如:假设存在两个线程(线程1、线程2),线程1通过Iterator在遍历集合A中的元素,在某个时候线程2修改了集合A的结构(是结构上面的修改,而不是简单的修改集合元素的内容),那么这个时候程序就会抛出 ConcurrentModificationException 异常,从而产生fail-fast机制。

  • 原因:迭代器在遍历时直接访问集合中的内容,并且在遍历过程中使用一个 modCount 变量。集合在被遍历期间如果内容发生变化,就会改变modCount的值。每当迭代器使用hashNext()/next()遍历下一个元素之前,都会检测modCount变量是否为expectedmodCount值,是的话就返回遍历;否则抛出异常,终止遍历。

  • 解决办法:

    1. 在遍历过程中,所有涉及到改变modCount值得地方全部加上synchronized。
    2. 使用CopyOnWriteArrayList来替换ArrayList

ArrayList 和 LinkedList 的区别是什么?

  • 数据结构实现:ArrayList 是动态数组的数据结构实现,而 LinkedList 是双向链表的数据结构实现。
  • 随机访问效率:ArrayList 比 LinkedList 在随机访问的时候效率要高,因为 LinkedList 是线性的数据存储方式,所以需要移动指针从前往后依次查找。
  • 增加和删除效率:在非首尾的增加和删除操作,LinkedList 要比 ArrayList 效率要高,因为 ArrayList 增删操作要影响数组内的其他数据的下标。
  • 内存空间占用:LinkedList 比 ArrayList 更占内存,因为 LinkedList 的节点除了存储数据,还存储了两个引用,一个指向前一个元素,一个指向后一个元素。
  • 线程安全:ArrayList 和 LinkedList 都是不同步的,也就是不保证线程安全;
  • 综合来说,在需要频繁读取集合中的元素时,更推荐使用 ArrayList,而在插入和删除操作较多时,更推荐使用 LinkedList。
  • LinkedList 的双向链表也叫双链表,是链表的一种,它的每个数据结点中都有两个指针,分别指向直接后继和直接前驱。所以,从双向链表中的任意一个结点开始,都可以很方便地访问它的前驱结点和后继结点。

说一下HashMap的实现原理?

  • HashMap概述: HashMap是基于哈希表的Map接口的非同步实现。此实现提供所有可选的映射操作,并允许使用null值和null键。此类不保证映射的顺序,特别是它不保证该顺序恒久不变。

  • HashMap的数据结构: 在Java编程语言中,最基本的结构就是两种,一个是数组,另外一个是模拟指针(引用),所有的数据结构都可以用这两个基本结构来构造的,HashMap也不例外。HashMap实际上是一个“链表散列”的数据结构,即数组和链表的结合体。

  • HashMap 基于 Hash 算法实现的

    1. 当我们往HashMap中put元素时,利用key的hashCode重新hash计算出当前对象的元素在数组中的下标

    2. 存储时,如果出现hash值相同的key,此时有两种情况。

      ​ (1)如果key相同,则覆盖原始值;

      ​ (2)如果key不同(出现冲突),则将当前的key-value放入链表中

    3. 获取时,直接找到hash值对应的下标,在进一步判断key是否相同,从而找到对应值。

    4. 理解了以上过程就不难明白HashMap是如何解决hash冲突的问题,核心就是使用了数组的存储方式,然后将冲突的key的对象放入链表中,一旦发现冲突就在链表中做进一步的对比。

  • 需要注意Jdk 1.8中对HashMap的实现做了优化,当链表中的节点数据超过八个之后,该链表会转为红黑树来提高查询效率,从原来的O(n)到O(logn)

HashMap在JDK1.7和JDK1.8中有哪些不同?HashMap的底层实现

  • 在Java中,保存数据有两种比较简单的数据结构:数组和链表。数组的特点是:寻址容易,插入和删除困难;链表的特点是:寻址困难,但插入和删除容易;所以我们将数组和链表结合在一起,发挥两者各自的优势,使用一种叫做拉链法的方式可以解决哈希冲突。

HashMap JDK1.8之前

  • JDK1.8之前采用的是拉链法。拉链法:将链表和数组相结合。也就是说创建一个链表数组,数组中每一格就是一个链表。若遇到哈希冲突,则将冲突的值加到链表中即可。

在这里插入图片描述

HashMap JDK1.8之后

  • 相比于之前的版本,jdk1.8在解决哈希冲突时有了较大的变化,当链表的阈值超过8并且数组长度大于64时,将链表转化为红黑树,以减少搜索时间。

在这里插入图片描述

JDK1.7 VS JDK1.8 比较

  • JDK1.8主要解决或优化了一下问题:

    1. resize 扩容优化
    2. 引入了红黑树,目的是避免单条链表过长而影响查询效率,红黑树算法请参考
    3. 解决了多线程死循环问题,但仍是非线程安全的,多线程时可能会造成数据丢失问题。
不同JDK 1.7JDK 1.8
存储结构数组 + 链表数组 + 链表 + 红黑树
初始化方式单独函数:inflateTable()直接集成到了扩容函数resize()
hash值计算方式扰动处理 = 9次扰动 = 4次位运算 + 5次异或运算扰动处理 = 2次扰动 = 1次位运算 + 1次异或运算
存放数据的规则无冲突时,存放数组;冲突时,存放链表无冲突时,存放数组;冲突 & 链表长度 < 8:存放单链表;冲突 & 链表长度 > 8 & 数组长度大于64:树化并存放红黑树
插入数据方式头插法(先讲原位置的数据移到后1位,再插入数据到该位置)尾插法(直接插入到链表尾部/红黑树)
扩容后存储位置的计算方式全部按照原来方法进行计算(即hashCode ->> 扰动函数 ->> (h&length-1))按照扩容后的规律计算(即扩容后的位置=原位置 or 原位置 + 旧容量)

ConcurrentHashMap 底层具体实现知道吗?实现原理是什么?

JDK1.7

  • 首先将数据分为一段一段的存储,然后给每一段数据配一把锁,当一个线程占用锁访问其中一个段数据时,其他段的数据也能被其他线程访问。
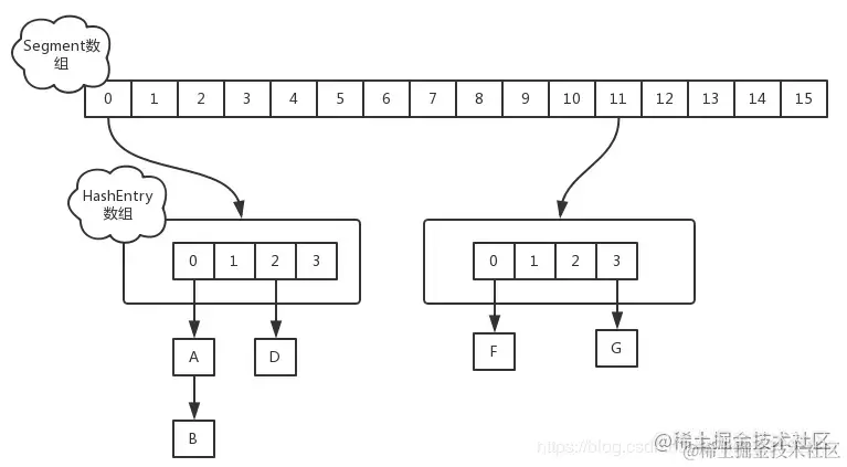
  • 在JDK1.7中,ConcurrentHashMap采用Segment + HashEntry的方式进行实现,结构如下:
  • 一个 ConcurrentHashMap 里包含一个 Segment 数组。Segment 的结构和HashMap类似,是一种数组和链表结构,一个 Segment 包含一个 HashEntry 数组,每个 HashEntry 是一个链表结构的元素,每个 Segment 守护着一个HashEntry数组里的元素,当对 HashEntry 数组的数据进行修改时,必须首先获得对应的 Segment的锁。

在这里插入图片描述

  1. 该类包含两个静态内部类 HashEntry 和 Segment ;前者用来封装映射表的键值对,后者用来充当锁的角色;
  2. Segment 是一种可重入的锁 ReentrantLock,每个 Segment 守护一个HashEntry 数组里得元素,当对 HashEntry 数组的数据进行修改时,必须首先获得对应的 Segment 锁。

JDK1.8

  • JDK1.8中,放弃了Segment臃肿的设计,取而代之的是采用Node + CAS + Synchronized来保证并发安全进行实现,synchronized只锁定当前链表或红黑二叉树的首节点,这样只要hash不冲突,就不会产生并发,效率又提升N倍。
  • 结构如下:

在这里插入图片描述

HashMap 与 HashTable 有什么区别?

  1. 线程安全: HashMap 是非线程安全的,HashTable 是线程安全的;HashTable 内部的方法基本都经过 synchronized 修饰。(如果你要保证线程安全的话就使用 ConcurrentHashMap );

  2. 效率: 因为线程安全的问题,HashMap 要比 HashTable 效率高一点。另外,HashTable 基本被淘汰,不要在代码中使用它;(如果你要保证线程安全的话就使用 ConcurrentHashMap );

  3. 对Null key 和Null value的支持: HashMap 中,null 可以作为键,这样的键只有一个,可以有一个或多个键所对应的值为 null。但是在 HashTable 中 put 进的键值只要有一个 null,直接抛NullPointerException。

  4. 初始容量大小和每次扩充容量大小的不同

    1. 创建时如果不指定容量初始值,Hashtable 默认的初始大小为11,之后每次扩充,容量变为原来的2n+1。HashMap 默认的初始化大小为16。之后每次扩充,容量变为原来的2倍。
    2. 创建时如果给定了容量初始值,那么 Hashtable 会直接使用你给定的大小,而 HashMap 会将其扩充为2的幂次方大小。也就是说 HashMap 总是使用2的幂作为哈希表的大小,后面会介绍到为什么是2的幂次方。
  5. 底层数据结构: JDK1.8 以后的 HashMap 在解决哈希冲突时有了较大的变化,当链表长度大于阈值(默认为8)时,将链表转化为红黑树,以减少搜索时间。Hashtable 没有这样的机制。

  6. 推荐使用:在 Hashtable 的类注释可以看到,Hashtable 是保留类不建议使用,推荐在单线程环境下使用 HashMap 替代,如果需要多线程使用则用 ConcurrentHashMap 替代。

HashMap 和 ConcurrentHashMap 的区别

  1. ConcurrentHashMap对整个桶数组进行了分割分段(Segment),然后在每一个分段上都用lock锁进行保护,相对于HashTable的synchronized锁的粒度更精细了一些,并发性能更好,而HashMap没有锁机制,不是线程安全的。(JDK1.8之后ConcurrentHashMap启用了一种全新的方式实现,利用CAS算法。)
  2. HashMap的键值对允许有null,但是ConCurrentHashMap都不允许。

ConcurrentHashMap 和 Hashtable 的区别?

  • ConcurrentHashMap 和 Hashtable 的区别主要体现在实现线程安全的方式上不同。

    • 底层数据结构: JDK1.7的 ConcurrentHashMap 底层采用 分段的数组+链表 实现,JDK1.8 采用的数据结构跟HashMap1.8的结构一样,数组+链表/红黑二叉树。Hashtable 和 JDK1.8 之前的 HashMap 的底层数据结构类似都是采用 数组+链表 的形式,数组是 HashMap 的主体,链表则是主要为了解决哈希冲突而存在的;

    • 实现线程安全的方式

      1. 在JDK1.7的时候,ConcurrentHashMap(分段锁) 对整个桶数组进行了分割分段(Segment),每一把锁只锁容器其中一部分数据,多线程访问容器里不同数据段的数据,就不会存在锁竞争,提高并发访问率。(默认分配16个Segment,比Hashtable效率提高16倍。) 到了 JDK1.8 的时候已经摒弃了Segment的概念,而是直接用 Node 数组+链表+红黑树的数据结构来实现,并发控制使用 synchronized 和 CAS 来操作。(JDK1.6以后 对 synchronized锁做了很多优化) 整个看起来就像是优化过且线程安全的 HashMap,虽然在JDK1.8中还能看到 Segment 的数据结构,但是已经简化了属性,只是为了兼容旧版本;
      2. Hashtable(同一把锁) :使用 synchronized 来保证线程安全,效率非常低下。当一个线程访问同步方法时,其他线程也访问同步方法,可能会进入阻塞或轮询状态,如使用 put 添加元素,另一个线程不能使用 put 添加元素,也不能使用 get,竞争会越来越激烈效率越低。
  • 两者的对比图

1、HashTable:

在这里插入图片描述

2、 JDK1.7的ConcurrentHashMap:

在这里插入图片描述

3、JDK1.8的ConcurrentHashMap(TreeBin: 红黑二叉树节点 Node: 链表节点):

在这里插入图片描述

  • 答:ConcurrentHashMap 结合了 HashMap 和 HashTable 二者的优势。HashMap 没有考虑同步,HashTable 考虑了同步的问题使用了synchronized 关键字,所以 HashTable 在每次同步执行时都要锁住整个结构。 ConcurrentHashMap 锁的方式是稍微细粒度的。