进程和计划任务管理

104 阅读4分钟

查看进程信息

ps命令----静态查看

ps aux

a:显示终端上的所有进程,包括用户进程

u:表示列出用户的进程

x:显示所有终端的进程

输入ps aux之后,将显现出进程信息

ps aux.png

各列解释

USER:进程的用户

PID:进程的ID

%CPU:进程占用的cpu的百分比

%MEM:占用内存的比例

VSZ:该进程使用的虚拟内存量

RSS:进程使用的物理内存量

TTY:启动进程终端名。不是从终端启动的进程则显示为 ?

STAT:该进程的状态(D:不可中断的休眠状态。R:正在运行状态。S:处于休眠状态,可被唤醒。 T:停止状态,Z:僵尸进程状态。)

START:该进程被触发启动时间

TIME:该进程实际使用cpu运行时间

COMMAND:进程的启动命令。

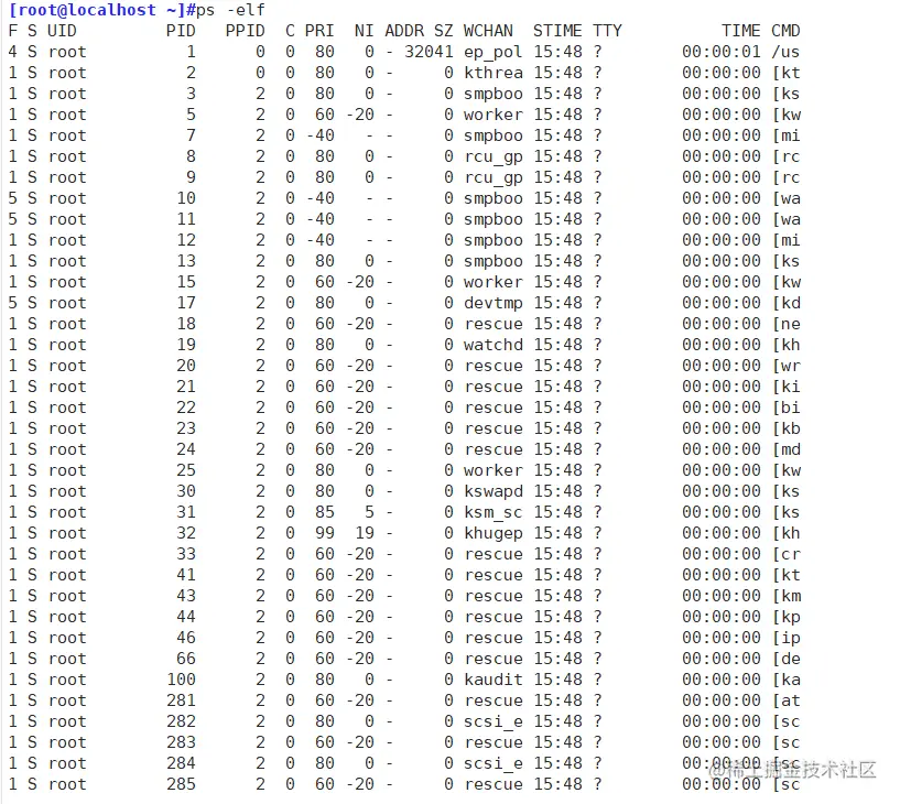
ps -elf

-e: 显示系统内所有进程信息

-l:使用长格式显示进程信息

-f:使用完整的格式显示进程信息

-a:显示所有进程pid

-T:查看线程信息

执行ps -elf命令,将以长格式显示系统中的进程信息,还会显示pid号。

ps -elf.png

ps -aT 显示所有进程

F:内核分配给进程的系统标记

S:进程的状态

动态查看

top

执行top命令,显示进程将会进行排序,包括cpu ,内存资源占用,默认三秒刷新一次

top.png

上述输出信息中,开头的部分显示了系统任务Tasks、CPU占用、内存占用Mem、交换空间Swap等信息,下方将依次显示当前进程的排名情况。

  • 系统任务Tasks信息:total:总进程数;running:正在运行的进程数;sleeping:休眠的进程数;stopped:中止的进程数;zomibe:僵死无响应的进程数。
  • CPU占用信息:us:用户占用;sy:内核占用;ni:优先级调度占用;id:空闲CPU;wa:I/O等待占用;hi:硬件中断占用;si:软件中断占用;st:虚拟化占用。Rt:实时变化。
  • 内存占用Mem信息:total,总内存空间;used,已用内存;free,空闲内存;buffers,缓冲区域。

在top命令的全屏操作界面中 按P键根据CPU占用情况对进程列表进行排序

按M键根据内存占用情况进行排序

按N键根据启动时间进行排序

按h键可以获得top程序的在线帮助信息

按q键可以正常退出top程序

pstree命令---查询进程树

pstree命令可以输出Linux系统中各进程的树形结构

-a 显示详细信息

-p 显示pid号

-u 显示用户

-aup 查看当前系统的进程树,包括各进程对应的PID号、用户名、完整命令等信息

pstree.png

kill命令

kill+pid号 ###停止指定程序

kill +pid号 -9 ###强制停止

killall +指定名称 ###用于终止指定名称相关的进程

-U 杀死指定用户的进程

-t 杀死指定终端的进程

计划任务管理

at一次性任务设置

at HH:MM yyyy-mm-dd 指定时间编辑任务

设置在当天21:50关闭系统

at 1.png

ctrl+d 提交任务

atq 查询任务

查询未执行的命令

atq.png

atrm 删除任务

可删除未执行的命令

atrm删除.png

crontab周期性任务设置

使用crontab命令设置的计划任务可以按预设的周期重复执行,可以大大减轻设置重复性系统管理任务的操作。启用周期性任务也有一个的前提条件,即对应的系统服务crond必须已经运行。

crontab的配置文件和目录

crond通过多个目录和文件设置计划任务,不同类型的任务由不同的配置文件来设置。

/etc/crontab文件中设置的是维护Linux系统所需的任务,由Linux系统及相关程序在安装时自动设置,不建议用户手动修改此文件。该文件包括了设置shell环境、可执行路径等变量的操作,以及每小时、每天、每周、每月需要执行的任务目录。

crontab -e ###可以设置自己的计划任务

/var/etc

分 时 日 月 周 +绝对路径的命令脚本

crontab -l 查询

crontab -u 可查询其他用户的任务

croutab -r 清空 ###慎用

周期.png

总结:本章节主要讲述如何查看静态进程和动态进程,以及其简单的基础命令。如何设置一次性任务和周期性任务的基本命令。