Redis学习

143 阅读4分钟

什么是Redis

Redis是一个基于内存的key-value结构数据库。

  • 基于内存存储,读写性能高
  • 适合存储热点数据(热点商品、资讯、新闻)
  • 企业应用广泛

Redis 简介

Redis是一个开源的内存中的数据结构存储系统,它可以用作:数据库、缓存和消息中间件。 官网:redis.io
Redis是用C语言开发的一个开源的高性能键值对(key-value)数据库,官方提供的数据是可以达到100000+的QPS(每秒内查询次数)。它存储的value类型比较丰富,也被称为结构化的NoSql数据库。
NoSql(Not Only SQL),不仅仅是SQL,泛指非关系型数据库。NoSql数据库并不是要取代关系型数据库,而是关系型数据库的补充。

Redis 应用场景

  • 缓存
  • 任务队列
  • 消息队列
  • 分布式锁

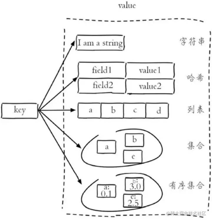
Redis 数据类型

Redis存储的是key-value结构的数据,其中key是字符串类型,value有5种常用的数据类型:

  • 字符串 string
  • 哈希 hash
  • 列表 list
  • 集合 set
  • 有序集合 sorted set

image.png

Redis 常用命令

字符串 string 操作命令

  • SET key value 设置指定key的值
  • GET key 获取指定key的值
  • SETEX key seconds value 设置指定key的值,并将 key 的过期时间设为 seconds 秒
  • SETNX key value 只有在 key 不存在时设置 key 的值

哈希 hash 操作命令

Redis hash 是一个string类型的 field 和 value 的映射表,hash特别适合用于存储对象,常用命令:

  • HSET key field value 将哈希表 key 中的字段 field 的值设为 value
  • HGET key field 获取存储在哈希表中指定字段的值
  • HDEL key field 删除存储在哈希表中的指定字段
  • HKEYS key 获取哈希表中所有字段
  • HVALS key 获取哈希表中所有值
  • HGETALL key 获取在哈希表中指定 key 的所有字段和值

列表 list 操作命令

Redis 列表是简单的字符串列表,按照插入顺序排序,常用命令:

  • LPUSH key value1 [value2] 将一个或多个值插入到列表头部
  • LRANGE key start stop 获取列表指定范围内的元素
  • RPOP key 移除并获取列表最后一个元素
  • LLEN key 获取列表长度
  • BRPOP key1 [key2 ] timeout 移出并获取列表的最后一个元素, 如果列表没有元素会阻塞列表直到等待超时 或发现可弹出元素为止

集合 set 操作命令

Redis set 是string类型的无序集合。集合成员是唯一的,这就意味着集合中不能出现重复的数据,常用命令:

  • SADD key member1 [member2] 向集合添加一个或多个成员
  • SMEMBERS key 返回集合中的所有成员
  • SCARD key 获取集合的成员数
  • SINTER key1 [key2] 返回给定所有集合的交集
  • SUNION key1 [key2] 返回所有给定集合的并集
  • SDIFF key1 [key2] 返回给定所有集合的差集
  • SREM key member1 [member2] 移除集合中一个或多个成员

有序集合 sorted set 操作命令

Redis sorted set 有序集合是 string 类型元素的集合,且不允许重复的成员。每个元素都会关联一个double类型的分数(score) 。redis正是通过分数来为集合中的成员进行从小到大排序。有序集合的成员是唯一的,但分数却可以重复。 常用命令:

  • ZADD key score1 member1 [score2 member2] 向有序集合添加一个或多个成员,或者更新已存在成员的 分数
  • ZRANGE key start stop [WITHSCORES] 通过索引区间返回有序集合中指定区间内的成员
  • ZINCRBY key increment member 有序集合中对指定成员的分数加上增量 increment
  • ZREM key member [member ...] 移除有序集合中的一个或多个成员

通用命令

  • KEYS pattern 查找所有符合给定模式( pattern)的 key
  • EXISTS key 检查给定 key 是否存在
  • TYPE key 返回 key 所储存的值的类型
  • TTL key 返回给定 key 的剩余生存时间(TTL, time to live),以秒为单位
  • DEL key 该命令用于在 key 存在是删除 key

在 Java 中操作 Redis

Redis 的 Java 客户端很多,官方推荐的有三种:

  • Jedis
  • Lettuce
  • Redisson

Spring 对 Redis 客户端进行了整合,提供了 Spring Data Redis,在Spring Boot项目中还提供了对应的Starter,即 spring-boot-starter-data-redis

# Jedis的maven坐标:
<dependency>
	<groupId>redis.clients</groupId>
	<artifactId>jedis</artifactId>
	<version>2.8.0</version>
</dependency>

# 使用Jedis操作Redis的步骤:
# 获取连接
# 执行操作
# 关闭连接
# 在Spring Boot 项目中,可以使用Spring Data Redis来简化Redis操作,maven坐标:
<dependency>
	<groupId>org.springframework.boot</groupId>
	<artifactId>spring-boot-starter-data-redis</artifactId>
</dependency>

Spring Data Redis中提供了一个高度封装的类:RedisTemplate,针对jedis客户端中大量api进行了归类封装,将同一类型操作封装为operation接口,具体分类如下:

  • ValueOperations:简单K-V操作
  • SetOperations:set类型数据操作
  • ZSetOperations:zset类型数据操作
  • HashOperations:针对map类型的数据操作
  • ListOperations:针对list类型的数据操作