毕昇编译器优化:Lazy Code Motion

198 阅读8分钟

本文分享自华为云社区《编译器优化那些事儿(3):Lazy Code Motion》,作者:毕昇小助手。

导语

本文中,我们将介绍通过代码移动(插入)的方式消除冗余计算的一个典型方法。

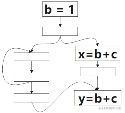
下图给出的简要程序流图中, ①是我们想要优化的代码,②和③是优化后的代码,让我们先思考下面几个问题:

cke_161.png

  • ②和③哪个优化效果更好一点?

③ 更好一点,相比 ② 寄存器生存周期更短

  • (3)这种情况,在 p 点直接插入 t=b+c 会带来安全或性能问题吗?会改变程序的行为吗?

这里不会引入冗余的计算,也没有改变程序行为。但如果 p 是下文介绍的 非预期的 点,我们就需要使用在 临界边上增加合成块的方式避免这个问题了。

  • 能否由编译器来完成一个算法,找到一个通用的、寻找到合适的插入点的方法以消除冗余计算?

这是本文要介绍的内容,我们会在下面算法章节引入四个定义,为程序在各个点上打上标签,通过这些点的集合之间的运算,得到插入点的集合。

0.1 开始之前

介绍算法之前,我们来看三个在写应用层代码时可能会遇到的问题。

(1)我们可以把计算移动到不会重复计算的路径吗?

cke_162.png

答案已在图中给出:

    • 左边例子是可以的。这也是下文算法要找的情景。当然实际应用程序中会更复杂,以致我们不能明显看出或不经意间引入冗余的计算,比如 《Lazy code motion》1 里给出的例子。
    • 中间不可以,因为 b 被重新定义了,所以 a = b + c 不是冗余计算了。
    • 右边不可以,因为 a = b + c 可能一次也没执行,移动到循环前可能会改变程序的行为。

(2)左图到右图的变化有优化效果吗

cke_163.png

有的,这也是下面算法中要寻找的情景,左边的路径消除了一次冗余计算,右边为了保持程序正确性插入了一个计算,但并没有引入冗余的计算,所以总体是有优化的.

(3)下图中,能否在 block d 的父项 p 上插入表达式 t=b+c:

cke_164.png

不能,因为插入不能改变程序的行为: 这里 t=b+c 可能难以看出问题,但如果表达式换成 b/c (c==0) 或 b^c 就能明显的看到造成了运行问题或性能问题。

解决方法:可在 临界边(Critical Edge)上增加 合成块(Synthetic Block)。

0.2 临界边(Critical Edge)的定义

定义:源基本块有多个后继,目标基本块有多个前驱,连接它们的边就叫临界边(Critical Edge)。

cke_165.png

临界边如上图红色部分所示。

打破临界边(Critical Edge)的办法: 增加合成块(Synthetic Block)

步骤:

  1. 为每个指向拥有多个前置的基本块添加一个基本块(不仅仅是在 临界边 上)。
  2. 为了保持算法简单,将每个语句视为其自己的基本块,并将指令的放置限制在基本块的开头。

cke_166.png

上图中我们插入了两个合成块,其中一个是多余的,但不用担心,我们可以在最后消除它。

1、算法

上文中,我们介绍了一个可以放心插入表达式而不会引入安全问题的方法,下面我们将正式介绍导语中提到的算法。

部分冗余消除算法要尽可能延迟计算, 这也是标题中 lazy 的含义。

程序流程图如下:

cke_167.png

算法步骤:

  1. 首先计算预期表达式(Anticipated)集合
  2. 计算将可用的表达式(Will-be-Available)集合
  3. 从 AVAIL 和 ANT ,我们为每个表达式计算出最早的插入位置(Earliest)集合,这最大限度地消除了冗余,但可能会增大寄存器生存期
  4. 再计算延迟表达式(Postponable)集合
  5. 经过上面的计算,引入最新 的定义,计算最晚插入的点的集合,实现与最早 相同数量的冗余消除,但缩短了保存表达式值的寄存器的生存期
  6. 计算使用表达式(Used)
  7. 计算最后的插入位置的集合,替换冗余表达式

我们会以下图为例,说明整个计算过程。根据以往的经验,下面给出的几个公式,必须结合图例去理解,文字无法阐述清楚准确定义。

cke_168.png

1.1 预期表达式(预期)

预期:如果最终从 开始的所有路径都计算(从 处可用的 操作数值),则称表达式在程序点是预期的。

image.png

预期表达式(Anticipated)的分析方向为后向(backword)。

cke_169.png

图示说明:

1 表示该点是可预期的(Anticipated),0 表示不是。该算法的方向是 后向(backword)的,对应到图中,我们要从 p1 开始判断:对于表达式 b+c 而言,p1 是非预期的,因为到该点为止,没有 b+c 的计算,继续往上,看到了 b+c 的计算,所以 p2 点是可预期的(Anticipated),这情况一直持续到 p3,到 p4,由于该点看到了 b=1,b 被重新定义了,就是公式里被 Kill 的表达式,所以 p4 点不是可预期的(Anticipated)点。

1.2 将可用的表达式

Will-be-available:如果表达式是预期的,并且随后没有沿着到达的所有路径被杀死,则称该表达式在程序点可用。

image.png

将可用的表达式(Will-be-Available)的分析方向为前向(forward)。

cke_170.png

图中绿色的 1 表示表达式 b+c 该点是将可用的(Will-be-Available),0 表示不是。该算法方向是前向的,就是分析时,我们从 p4 开始看,根据公式的定义,该点不是可预期的(Anticipated),也没有表达式计算 b+c,所以该点不是将可用的(Will-be-Available),p3 虽然是可预期的(预期),但因为 b=1 ,所以 p3 点对表达式 b+c 来说是 Ekillp ,所以该点仍不是将可用的,p5 点是可预期的(Anticipated),且该点没有 kill 的操作,该点是将可用的(Will-be-Available),后续的点类似。

接下来可以通过以下公式进行最早插入点的计算:

image.png

cke_171.png

根据公式,最早可插入的点的集合是 可预期点的(Anticipated)集合(图中红色1部分) 减去 将可用点的(Will-be-Available)集合,得到图中标记的点。

目前为止我们已经找了一种通用的消除重复计算的方法,就是在上图中标注 最早的点插入表达式 t=b+c, 然后在后面所有用到 b+c 的地方替换成 t,但这样做会带来一个问题,就是寄存器的生存期会很长。通过下一小节引入的定义,我们可以解决这个寄存器生存期的问题。

1.3 延缓表达式(延期)

如果所有导致最早放置但不是后续使用的路径,则称表达式在程序点可推迟。

image.png

延缓表达式(Postponable)的分析方向为前向(forward)。

cke_172.png

延迟创建冗余计算表达式可以减少寄存器压力:从公式看,Postponable点一定是在最早点的后面的,更接近表达式要被替换的地方,就是说,从表达式第一次被计算的点(结果在寄存器)到该结果被复用的点距离更近。

对于该图的讲解,可以参考 YouTube2 中的讲解。

接下来可以通过以下公式进行最晚插入点(Latest)的计算:

image.png

  1. 先在 最早与 postpobable 集合的并集位置放置表达式 e 。
  2. 对上一步的点进行筛选,需要满足:表达式 e 在 b 点(随后的基本块)被Use 或 它不是上一步点的后继。

cke_173.png

这里插入的点(图中黄色方块)是增加的合成块,是出于安全性的考虑。

1.4 已用表达式

如果在重新评估操作数之前存在使用表达式的路径,则称在程序点使用表达式。

已用表达式(Used Expressions)的分析方向为后向(backword)。

cke_174.png

如图所示,从下往上看,未使用的点标记为0,直到使用的地方被标记为1。

引入这个定义主要是为了消除当前块之外未使用的临时变量赋值,计算方式: Used.out**: sets of used (live)**

image.png

2、最终的解决方案

对所有的基本块/表达式 b,如果表达式属于最晚插入点的集合与已用点位置的交集,

image.png

则在基本块b的开头,先创建 t = a + b,然后把所有的 x+y 替换为 t。

cke_175.png

目前为止算法的介绍部分就已经全部讲完了,但是有些定义还是比较模糊,需要结合代码才能讲清楚, 大家可以翻看LLVM 源码3中关于该代码的具体实现: MachineCSE 类与 NaryReassociatePass 等类的实现。

参考

  1. dl.acm.org/doi/abs/10.…

  2. www.youtube.com/watch?v=3s4…

  3. github.com/llvm/llvm-p…

点击关注,第一时间了解华为云新鲜技术~