【每日三题】二叉树的前、中、后序遍历,层序遍历

133 阅读1分钟

携手创作,共同成长!这是我参与「掘金日新计划 · 8 月更文挑战」的第9天,点击查看活动详情 >>

每日三刷,剑指千题

计划简介:

  • 每日三题,以中等题为主,简单题为辅进行搭配。保证质量题1道,数量题3道。
  • 每日早通勤在LeetCode手机端选题,思考思路,没答案的直接看题解。
  • 每日中午进行编码,时间控制在一小时之内。
  • 下班前半小时进行整理总结,并发布到掘金每日更文活动。

说明:

  • 基于以前的刷题基础,本次计划以中等题为主,大部分中等题都可以拆分为多个简单题,所以数量保证3,质量保证一道中等题即可。
  • 刷题顺序按照先刷链表、二叉树、栈、堆、队列等基本数据结构,再刷递归、二分法、排序、双指针等基础算法,最后是动态规划、贪心、回溯、搜索等复杂算法。
  • 刷题过程中整理相似题型,刷题模板。
  • 目前进度 130/1000

[102]二叉树的层序遍历

Code

class Solution {
    public List<List<Integer>> levelOrder(TreeNode root) {
        List<List<Integer>> ans = new ArrayList<>();
        if (root==null)return ans;
        
        Queue<TreeNode> queue = new LinkedList<>();
        queue.offer(root);
        
        while (!queue.isEmpty()){
            ArrayList<Integer> level = new ArrayList<>();
            int n = queue.size();
            for (int i = 0; i < n; i++) {
                TreeNode node = queue.poll();
                level.add(node.val);
​
                if (node.left!=null){
                    queue.offer(node.left);
                }
                if (node.right!=null){
                    queue.offer(node.right);
                }
            }
            ans.add(level);
        }
        return ans;
    }
}

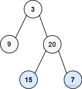
[107]二叉树的层序遍历 II

给你二叉树的根节点 root ,返回其节点值 自底向上的层序遍历 。 (即按从叶子节点所在层到根节点所在的层,逐层从左向右遍历)

示例 1:

输入:root = [3,9,20,null,null,15,7]
输出:[[15,7],[9,20],[3]]

解析

相比于上一题,将从上到下改为从下到上,那直接把上一题的结果倒序一下可以吗?

试了一下,果然是可以的,那我们加一行代码即可:Collections.reverse(ans);

Code

List<List<Integer>> ans = new ArrayList<>();
        if (root==null)return ans;
​
        Queue<TreeNode> queue = new LinkedList<>();
        queue.offer(root);
​
        while (!queue.isEmpty()){
            ArrayList<Integer> level = new ArrayList<>();
            int n = queue.size();
            for (int i = 0; i < n; i++) {
                TreeNode node = queue.poll();
                level.add(node.val);
​
                if (node.left!=null){
                    queue.offer(node.left);
                }
                if (node.right!=null){
                    queue.offer(node.right);
                }
            }
            ans.add(level);
        }
        Collections.reverse(ans);
        return ans;

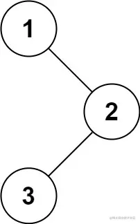
[144]二叉树的前序遍历

给你二叉树的根节点 root ,返回它节点值的 前序 遍历。

示例 1:

img

输入:root = [1,null,2,3]
输出:[1,2,3]

解析

Code

class Solution {
    List<Integer> ans = new ArrayList<>();
    public List<Integer> preorderTraversal(TreeNode root) {
        if (root==null)return ans;
        ans.add(root.val);
        preorderTraversal(root.left);
        preorderTraversal(root.right);
        return ans;
    }
}

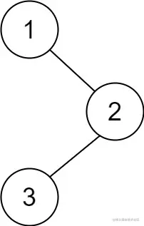
[145]二叉树的后序遍历

给你一棵二叉树的根节点 root ,返回其节点值的 后序遍历

示例 1:

输入:root = [1,null,2,3]
输出:[3,2,1]

进阶: 递归算法很简单,你可以通过迭代算法完成吗?

解析

Code

class Solution {
    List<Integer> ans = new ArrayList<>();
    public List<Integer> postorderTraversal(TreeNode root) {
        if (root==null)return ans;
        postorderTraversal(root.left);
        postorderTraversal(root.right);
        ans.add(root.val);
        return ans;
    }
}

\