Redis高可用方案(二):集群与分区

220 阅读18分钟

Redis高可用方案(二):集群与分区

分区是将数据分布在多个Redis实例(Redis主机)上,以至于每个实例只包含一部分数据。

分区的意义

  • 性能的提升 单机Redis的网络I/O能力和计算资源是有限的,将请求分散到多台机器,充分利用多台机器的计算能力 可网络带宽,有助于提高Redis总体的服务能力。

  • 存储能力的横向扩展 即使Redis的服务能力能够满足应用需求,但是随着存储数据的增加,单台机器受限于机器本身的存储容量,将数据分散到多台机器上存储使得Redis服务可以横向扩展。

Redis集群优势: 高可用:

  1. 集群的故障转移

高性能:

  1. 多台计算能力
  2. 读写分离

高扩展:

  1. 横向主机扩展

分区的方式

根据分区键(id)进行分区:

范围分区

根据id数字的范围比如1--10000、100001--20000.....90001-100000,每个范围分到不同的Redis实例中

id范围Redis实例
1 -- 10000Redis01
100001 -- 20000Redis02
......
90001 -- 100000Redis10

好处: 实现简单,方便迁移和扩展 缺陷: 热点数据分布不均,性能损失. 可能某些部分的数据都几种分布在一台机器上,其它机器的数据存储的少,数据倾斜

同时需要考虑,其它非数字型key的问题以及分布式下如何保证key的唯一性?

  • 非数字型key,比如uuid无法使用(可采用雪花算法替代)
  • 分布式环境 主键 雪花算法

hash分区

利用简单的hash算法即可: Redis实例=hash(key)%N key: 要进行分区的键,比如user_id N: Redis实例个数(Redis主机)

好处:

支持任何类型的key 热点分布较均匀,性能较好 缺陷: 迁移复杂,需要重新计算,扩展较差(利用一致性hash环) 因为一旦添加了一个新的主机Master (N变了),则集群内每个master保存的数据都要重新计算一遍其hash(key),然后再重新分布一遍。此时,所有的数据的位置都要重新算,且要做数据迁移,不然再用hash来找的时候就找不到了

Client端分区

对于一个给定的key,客户端直接选择正确的节点来进行读写。许多Redis客户端都实现了客户端分区(JedisPool),也可以自行编程实现。

部署方案

在这里插入图片描述

客户端选择算法

hash 普通hash

hash(key)%N

hash:可以采用hash算法,比如CRC32、CRC16等

N:是Redis主机个数

比如:

user_id : u001
hash(u001) : 1844213068
Redis实例=1844213068%3
余数为2,所以选择Redis3。

普通Hash的优势

  • 实现简单,热点数据分布均匀

普通Hash的缺陷

  • 节点数固定,扩展的话需要重新计算

查询时必须用分片的key来查,一旦key改变,数据就查不出了,所以要使用不易改变的key进行分片

一致性hash

基本概念

普通hash是对主机数量取模,而一致性hash是对2^32(4 294 967 296)取模。我们把2^32想象成一个圆,就像钟表一样,钟表的圆可以理解成由60个点组成的圆,而此处我们把这个圆想象成由2^32个点组成的圆,示意图如下: 在这里插入图片描述

圆环的正上方的点代表0,0点右侧的第一个点代表1,以此类推,2、3、4、5、6……直到2^32-1, 也就是说0点左侧的第一个点代表2^32-1 。我们把这个由2的32次方个点组成的圆环称为hash环。

假设我们有3台缓存服务器,服务器A、服务器B、服务器C,那么,在生产环境中,这三台服务器肯定有自己的IP地址,我们使用它们各自的IP地址进行哈希计算,使用哈希后的结果对2^32取模,可以使用如下公式:

hash(服务器的IP地址) % 2^32

通过上述公式算出的结果一定是一个0到2^32-1 之间的一个整数,我们就用算出的这个整数,代表服务器A、服务器B、服务器C,既然这个整数肯定处于0到2^32-1之间,那么,上图中的hash环上必定有一个点与这个整数对应,也就是服务器A、服务器B、服务C就可以映射到这个环上,如下图: 在这里插入图片描述

假设,我们需要使用Redis缓存数据,那么我们使用如下公式可以将数据映射到上图中的hash环上。

hash(key) % 2^32

映射后的示意图如下,下图中的橘黄色圆形表示数据

在这里插入图片描述

现在服务器与数据都被映射到了hash环上,上图中的数据将会被缓存到服务器A上,因为从数据的位置开始,沿顺时针方向遇到的第一个服务器就是A服务器,所以,上图中的数据将会被缓存到服务器A上。 如图: 在这里插入图片描述

将缓存服务器与被缓存对象都映射到hash环上以后,从被缓存对象的位置出发,沿顺时针方向遇到的第一个服务器,就是当前对象将要缓存于的服务器,由于被缓存对象与服务器hash后的值是固定的,所以,在服务器不变的情况下,数据必定会被缓存到固定的服务器上,那么,当下次想要访问这个数据时,只要再次使用相同的算法进行计算,即可算出这个数据被缓存在哪个服务器上,直接去对应的服务器查找对应的数据即可。多条数据存储如下: 在这里插入图片描述

优点

添加或移除节点时,数据只需要做部分的迁移,比如上图中把C服务器移除,则数据4迁移到服务器A中,而其他的数据保持不变。添加效果是一样的。

hash环偏移

在介绍一致性哈希的概念时,我们理想化的将3台服务器均匀的映射到了hash环上。也就是说数据的范围是2^32/N。但实际情况往往不是这样的。有可能某个服务器的数据会很多,某个服务器的数据会很少,造成服务器性能不平均。这种现象称为hash环偏移。 在这里插入图片描述

理论上我们可以通过增加服务器的方式来减少偏移,但这样成本较高,所以我们可以采用虚拟节点的方式,也就是虚拟服务器,如图: 在这里插入图片描述

虚拟节点"是"实际节点"(实际的物理服务器)在hash环上的复制品,一个实际节点可以对应多个虚拟节点。

从上图可以看出,A、B、C三台服务器分别虚拟出了一个虚拟节点,当然,如果你需要,也可以虚拟出更多的虚拟节点。引入虚拟节点的概念后,缓存的分布就均衡多了,上图中,1号、3号数据被缓存在服务器A中,5号、4号数据被缓存在服务器B中,6号、2号数据被缓存在服务器C中,如果你还不放心,可以虚拟出更多的虚拟节点,以便减小hash环偏斜所带来的影响,虚拟节点越多,hash环上的节点就越多,缓存被均匀分布的概率就越大。

缺点

复杂度高

客户端需要自己处理数据路由、高可用、故障转移等问题 使用分区,数据的处理会变得复杂,不得不对付多个redis数据库和AOF文件,不得在多个实例和主机之间持久化你的数据。

不易扩展 一旦节点的增或者删操作,都会导致key无法在redis中命中,必须重新根据节点计算,并手动迁移全部或部分数据。

官方Cluster分区

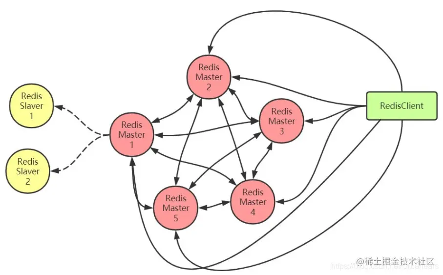
Redis3.0之后,Redis官方提供了完整的集群解决方案。 方案采用去中心化的方式,包括:sharding(分区)、replication(复制)、failover(故障转移)。称为RedisCluster

上面介绍的都是中心化的分区方式。即需要在一个地方计算出key对应的分区值,然后进行分区。比如上面的客户端分区,需要在客户端计算出hash(key)的值,然后将数据送入对应分区中。而这里去中心化的方式可以如下图看到,client与每个Master都建立了连接,这些节点之间也是互相连接的。每一个节点都会去路由数据。

Redis5.0前采用redis-trib进行集群的创建和管理,需要ruby支持

Redis5.0可以直接使用Redis-cli进行集群的创建和管理

部署架构

在这里插入图片描述

去中心化

RedisCluster由多个Redis节点组构成,是一个P2P无中心节点的集群架构,依靠Gossip协议传播的集群

Gossip协议

Gossip协议是一个通信协议,一种传播消息的方式。

起源于:病毒传播 Gossip协议基本思想就是: 一个节点周期性(每秒)随机选择一些节点,并把信息传递给这些节点。 这些收到信息的节点接下来会做同样的事情,即把这些信息传递给其他一些随机选择的节点。 信息会周期性的传递给N个目标节点。这个N被称为fanout(扇出)

gossip协议包含多种消息,包括meet、ping、pong、fail、publish等等。

命令说明
meetsender向receiver发出,请求receiver加入sender的集群
ping节点检测其他节点是否在线
pongreceiver收到meet或ping后的回复信息;在failover后,新的Master也会广播pong
fail节点A判断节点B下线后,A节点广播B的fail信息,其他收到节点会将B节点标记为下线
publish节点A收到publish命令,节点A执行该命令,并向集群广播publish命令,收到publish命令的节点都会执行相同的publish命令

通过gossip协议,cluster可以提供集群间状态同步更新、选举自助failover等重要的集群功能。

slot

redis-cluster把所有的物理节点映射到[0-16383]个slot上,基本上采用平均分配和连续分配的方式。 比如上图中有5个主节点,这样在RedisCluster创建时,slot槽可按下表分配:

节点名称slot范围
Redis10-3270
Redis23271-6542
Redis36543-9814
Redis49815-13087
Redis513088-16383

cluster 负责维护节点和slot槽的对应关系 value------>slot-------->节点 当需要在 Redis 集群中放置一个 key-value 时,redis 先对 key 使用 crc16 算法算出一个结果,然后把结果对 16384 求余数,这样每个 key 都会对应一个编号在 0-16383 之间的哈希槽,redis 会根据节点 数量大致均等的将哈希槽映射到不同的节点。

比如: set name zhaoyun

hash("name")采用crc16算法,得到值:1324203551%16384=15903 根据上表15903在13088-16383之间,所以name被存储在Redis5节点。

slot槽必须在节点上连续分配,如果出现不连续的情况,则RedisCluster不能工作,详见容错

RedisCluster的优势
  • 高性能 Redis Cluster 的性能与单节点部署是同级别的。 多主节点、负载均衡、读写分离

  • 高可用 Redis Cluster 支持标准的 主从复制配置来保障高可用和高可靠。 failover Redis Cluster 也实现了一个类似 Raft 的共识方式,来保障整个集群的可用性。

  • 易扩展 向 Redis Cluster 中添加新节点,或者移除节点,都是透明的,不需要停机。 水平、垂直方向都非常容易扩展。 数据分区,海量数据,数据存储

  • 原生 部署 Redis Cluster 不需要其他的代理或者工具,而且 Redis Cluster 和单机 Redis 几乎完全兼容

分片

不同节点分组服务于相互无交集的分片(sharding),Redis Cluster 不存在单独的proxy或配置服务器,所以需要将客户端路由到目标的分片

客户端路由

Redis Cluster的客户端相比单机Redis 需要具备路由语义的识别能力,且具备一定的路由缓存能力。

moved重定向
  1. 每个节点通过通信都会共享Redis Cluster中槽和集群中对应节点的关系
  2. 客户端向Redis Cluster的任意节点发送命令,接收命令的节点会根据CRC16规则进行hash运算与16384取余,计算自己的槽和对应节点
  3. 如果保存数据的槽被分配给当前节点,则去槽中执行命令,并把命令执行结果返回给客户端
  4. 如果保存数据的槽不在当前节点的管理范围内,则向客户端返回moved重定向异常
  5. 客户端接收到节点返回的结果,如果是moved异常,则从moved异常中获取目标节点的信息
  6. 客户端向目标节点发送命令,获取命令执行结果。

由于hash运行是在节点进行,而不是在客户端里了。这也就是去中心化的意义。由于客户端是随机的访问集群中的任意一个节点的,所以任意一个节点都可以承担计算key的分区的任务。而不像之前要设置一个独立的节点进行计算,比如RedisProxy中的访问代理节点,或者client分区的时候要在client端进行统一计算。 在这里插入图片描述

[root@localhost bin]# ./redis-cli -h 127.0.0.1 -p 7001 -c
127.0.0.1:7001> set name:001 zhaoyun
OK
127.0.0.1:7001> get name:001
"zhaoyun"
[root@localhost bin]# ./redis-cli -h 127.0.0.1 -p 7002 -c
127.0.0.1:7002> get name:001
-> Redirected to slot [4354] located at 127.0.0.1:7001
"zhaoyun"
127.0.0.1:7001> cluster keyslot name:001
(integer) 4354

可以看到在7002节点上,通过Redirected重定向回了7001节点获取数据。

ask重定向

在对集群进行扩容和缩容时,需要对槽及槽中数据进行迁移

当客户端向某个节点发送命令,节点向客户端返回moved异常,告诉客户端数据对应的槽的节点信息

如果此时正在进行集群扩展或者缩空操作,当客户端向正确的节点发送命令时,槽及槽中数据已经被迁移到别的节点了,就会返回ask,这就是ask重定向机制

  1. 客户端向目标节点发送命令,目标节点中的槽已经迁移支别的节点上了,此时目标节点会返回ask转向给客户端
  2. 客户端向新的节点发送Asking命令给新的节点,然后再次向新节点发送命令
  3. 新节点执行命令,把命令执行结果返回给客户端

在这里插入图片描述

moved和ask的区别

  1. moved:槽已确认转移
  2. ask:槽还在转移过程中

迁移

在RedisCluster中每个slot 对应的节点在初始化后就是确定的。在某些情况下,节点和分片需要变更:

  • 新的节点作为master加入;
  • 某个节点分组需要下线;
  • 负载不均衡需要调整slot 分布。

此时需要进行分片的迁移,迁移的触发和过程控制由外部系统完成。包含下面 2 种:

  • 节点迁移状态设置:迁移前标记源/目标节点
  • key迁移的原子化命令:迁移的具体步骤。 在这里插入图片描述
  1. 向节点B发送状态变更命令,将B的对应slot 状态置为importing。
  2. 向节点A发送状态变更命令,将A对应的slot 状态置为migrating。
  3. 向A 发送migrate 命令,告知A 将要迁移的slot对应的key 迁移到B。
  4. 当所有key 迁移完成后,cluster setslot 重新设置槽位。

扩容

  • 添加主节点
  • hash槽重新分配(数据迁移) 添加完主节点需要对主节点进行hash槽分配,这样该主节才可以存储数据。
  • 添加从节点

容灾(failover)

故障检测

集群中的每个节点都会定期地(每秒)向集群中的其他节点发送PING消息 如果在一定时间内(cluster-node-timeout),发送ping的节点A没有收到某节点B的pong回应,则A将B标识为pfail。

A在后续发送ping时,会带上B的pfail信息, 通知给其他节点。

如果B被标记为pfail的个数大于集群主节点个数的一半(N/2 + 1)时,B会被标记为fail,A向整个集群广播,该节点已经下线。

其他节点收到广播,标记B为fail。

从节点选举

raft,每个从节点,都根据自己对master复制数据的offset,来设置一个选举时间,offset越大(复制数据越多)的从节点,选举时间越靠前,优先进行选举。

slave 通过向其他master发送FAILVOER_AUTH_REQUEST 消息发起竞选, master 收到后回复FAILOVER_AUTH_ACK 消息告知是否同意。

slave 发送FAILOVER_AUTH_REQUEST 前会将currentEpoch 自增,并将最新的Epoch 带入到FAILOVER_AUTH_REQUEST 消息中,如果自己未投过票,则回复同意,否则回复拒绝。

所有的Master开始slave选举投票,给要进行选举的slave进行投票,如果大部分master node(N/2 +1)都投票给了某个从节点,那么选举通过,那个从节点可以切换成master。

RedisCluster失效的判定:

  1. 集群中半数以上的主节点都宕机(无法投票)
  2. 宕机的主节点的从节点也宕机了(slot槽分配不连续)
变更通知

当slave 收到过半的master 同意时,会成为新的master。此时会以最新的Epoch 通过PONG 消息广播自己成为master,让Cluster 的其他节点尽快的更新拓扑结构(node.conf)。

主从切换

自动切换 就是上面讲的从节点选举

手动切换 人工故障切换是预期的操作,而非发生了真正的故障,目的是以一种安全的方式(数据无丢失)将当前master节点和其中一个slave节点(执行cluster-failover的节点)交换角色

  1. 向从节点发送cluster failover 命令(slaveof no one)
  2. 从节点告知其主节点要进行手动切换(CLUSTERMSG_TYPE_MFSTART)
  3. 主节点会阻塞所有客户端命令的执行(10s)
  4. 从节点从主节点的ping包中获得主节点的复制偏移量
  5. 从节点复制达到偏移量,发起选举、统计选票、赢得选举、升级为主节点并更新配置
  6. 切换完成后,原主节点向所有客户端发送moved指令重定向到新的主节点

以上是在主节点在线情况下。 如果主节点下线了,则采用cluster failover force或cluster failover takeover 进行强制切换.

副本漂移

我们知道在一主一从的情况下,如果主从同时挂了,那整个集群就挂了。 为了避免这种情况我们可以做一主多从,但这样成本就增加了。

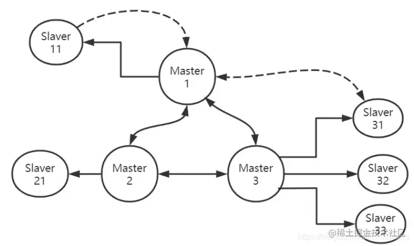
Redis提供了一种方法叫副本漂移,这种方法既能提高集群的可靠性又不用增加太多的从机。 如图: 在这里插入图片描述

Master1宕机,则Slaver11提升为新的Master1

集群检测到新的Master1是单点的(无从机)

集群从拥有最多的从机的节点组(Master3)中,选择节点名称字母顺序最小的从机(Slaver31)漂移到单点的主从节点组(Master1)。

具体流程如下(以上图为例):

  1. 将Slaver31的从机记录从Master3中删除
  2. 将Slaver31的的主机改为Master1
  3. 在Master1中添加Slaver31为从节点
  4. 将Slaver31的复制源改为Master1
  5. 通过ping包将信息同步到集群的其他节点