Kafka中的消费组和位移管理

1,383 阅读11分钟

Kafka中的消费组和位移管理

消费者组 (Consumer Group)

什么是消费者组

consumer group是kafka提供的可扩展且具有容错性的消费者机制。

三个特性:

  1. 消费组有一个或多个消费者,消费者可以是一个进程,也可以是一个线程
  2. group.id是一个字符串,唯一标识一个消费组
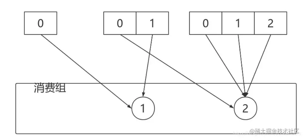
  3. 消费组订阅的主题每个分区只能分配给消费组一个消费者。

消费者位移(consumer position)

消费者在消费的过程中记录已消费的数据,即消费位移(offset)信息。

每个消费组保存自己的位移信息,那么只需要简单的一个整数表示位置就够了;同时可以引入checkpoint机制定期持久化。

位移管理(offset management)

Kafka默认定期自动提交位移( enable.auto.commit = true ),也手动提交位移。另外kafka会定期把group消费情况保存起来,做成一个offset map,如下图所示: 在这里插入图片描述

位移提交

位移是提交到Kafka中的 __consumer_offsets 主题。 __consumer_offsets 中的消息保存了每个消费组某一时刻提交的offset信息。

可以使用如下命令,查看_consumer_offsets主题里的内容:

kafka-console-consumer.sh --topic __consumer_offsets --bootstrap-server node1:9092 --formatter "kafka.coordinator.group.GroupMetadataManager\$OffsetsMessageFormatter" --consumer.config /opt/kafka_2.12-1.0.2/config/consumer.properties --from-beginning | head

可以看到结果如下图所示: 在这里插入图片描述

上图中,标出来的,表示消费组为 test-consumer-group ,消费的主题为 __consumer_offsets ,消费的分区是4,偏移量为5。

__consumers_offsets 主题配置了compact策略,使得它总是能够保存最新的位移信息,既控制了该topic总体的日志容量,也能实现保存最新offset的目的。

再均衡

什么是再均衡

再均衡(Rebalance)本质上是一种协议,规定了一个消费组中所有消费者如何达成一致来分配订阅主题的每个分区。

比如某个消费组有20个消费组,订阅了一个具有100个分区的主题。正常情况下,Kafka平均会为每个消费者分配5个分区。这个分配的过程就叫再均衡。

什么时候再均衡

再均衡的触发条件:

  1. 组成员发生变更(新消费者加入消费组组、已有消费者主动离开或崩溃了)
  2. 订阅主题数发生变更。如果正则表达式进行订阅,则新建匹配正则表达式的主题触发再均衡。
  3. 订阅主题的分区数发生变更

如何进行组内分区分配

三种分配策略:RangeAssignor和RoundRobinAssignor以及StickyAssignor。

RangeAssignor

PartitionAssignor接口用于用户定义实现分区分配算法,以实现Consumer之间的分区分配。

消费组的成员订阅它们感兴趣的Topic并将这种订阅关系传递给作为订阅组协调者的Broker。协调者选择其中的一个消费者来执行这个消费组的分区分配并将分配结果转发给消费组内所有的消费者。

Kafka默认采用RangeAssignor的分配算法。

RangeAssignor对每个Topic进行独立的分区分配。对于每一个Topic,首先对分区按照分区ID进行数值排序,然后订阅这个Topic的消费组的消费者再进行字典排序,之后尽量均衡的将分区分配给消费者。这里只能是尽量均衡,因为分区数可能无法被消费者数量整除,那么有一些消费者就会多分配到一些分区。 在这里插入图片描述

大致算法如下: 在这里插入图片描述

RangeAssignor策略的原理是按照消费者总数和分区总数进行整除运算来获得一个跨度,然后将分区按照跨度进行平均分配,以保证分区尽可能均匀地分配给所有的消费者。对于每一个Topic,RangeAssignor策略会将消费组内所有订阅这个Topic的消费者按照名称的字典序排序,然后为每个消 费者划分固定的分区范围,如果不够平均分配,那么字典序靠前的消费者会被多分配一个分区。

这种分配方式明显的一个问题是随着消费者订阅的Topic的数量的增加,不均衡的问题会越来越严重,比如上图中4个分区3个消费者的场景,C0会多分配一个分区。如果此时再订阅一个分区数为4的Topic,那么C0又会比C1、C2多分配一个分区,这样C0总共就比C1、C2多分配两个分区了,而且随着Topic的增加,这个情况会越来越严重。

字典序靠前的消费组中的消费者比较“贪婪”。 在这里插入图片描述

RoundRobinAssignor

RoundRobinAssignor的分配策略是将消费组内订阅的所有Topic的分区及所有消费者进行排序后尽量均衡的分配(RangeAssignor是针对单个Topic的分区进行排序分配的)。如果消费组内,消费者订阅的Topic列表是相同的(每个消费者都订阅了相同的Topic),那么分配结果是尽量均衡的(消费者之间分配到的分区数的差值不会超过1)。如果订阅的Topic列表是不同的,那么分配结果是不保证“尽量均衡”的,因为某些消费者不参与一些Topic的分配。 在这里插入图片描述

相对于RangeAssignor,在订阅多个Topic的情况下,RoundRobinAssignor的方式能消费者之间尽量均衡的分配到分区(分配到的分区数的差值不会超过1——RangeAssignor的分配策略可能随着订阅 的Topic越来越多,差值越来越大)。

对于消费组内消费者订阅Topic不一致的情况:假设有两个个消费者分别为C0和C1,有2个Topic T1、T2,分别拥有3和2个分区,并且C0订阅T1和T2,C1订阅T2,那么RoundRobinAssignor的分配结果如下: 在这里插入图片描述

看上去分配已经尽量的保证均衡了,不过可以发现C0承担了4个分区的消费而C1订阅了T2一个分区,是不是把T2P0交给C1消费能更加的均衡呢?

StickyAssignor

动机 尽管RoundRobinAssignor已经在RangeAssignor上做了一些优化来更均衡的分配分区,但是在一些情况下依旧会产生严重的分配偏差,比如消费组中订阅的Topic列表不相同的情况下。

更核心的问题是无论是RangeAssignor,还是RoundRobinAssignor,当前的分区分配算法都没有考虑上一次的分配结果。显然,在执行一次新的分配之前,如果能考虑到上一次分配的结果,尽量少的调整分区分配的变动,显然是能节省很多开销的。

目标 从字面意义上看,Sticky是“粘性的”,可以理解为分配结果是带“粘性的”:

  1. 分区的分配尽量的均衡
  2. 每一次重分配的结果尽量与上一次分配结果保持一致

当这两个目标发生冲突时,优先保证第一个目标。第一个目标是每个分配算法都尽量尝试去完成的,而第二个目标才真正体现出StickyAssignor特性的。

我们先来看预期分配的结构,后续再具体分析StickyAssignor的算法实现。

例如:

  • 有3个Consumer:C0、C1、C2
  • 有4个Topic:T0、T1、T2、T3,每个Topic有2个分区
  • 所有Consumer都订阅了这4个分区

StickyAssignor的分配结果如下图所示(增加RoundRobinAssignor分配作为对比): 在这里插入图片描述

如果消费者1宕机,则按照RoundRobin的方式分配结果如下: 打乱从新来过,轮询分配: 在这里插入图片描述

按照Sticky的方式: 仅对消费者1分配的分区进行重分配,红线部分。最终达到均衡的目的。 在这里插入图片描述

再举一个例子:

  • 有3个Consumer:C0、C1、C2
  • 3个Topic:T0、T1、T2,它们分别有1、2、3个分区
  • C0订阅T0;C1订阅T0、T1;C2订阅T0、T1、T2

分配结果如下图所示: 在这里插入图片描述

消费者0下线,则按照轮询的方式分配: 在这里插入图片描述

按照Sticky方式分配分区,仅仅需要动的就是红线部分,其他部分不动。

在这里插入图片描述

StickyAssignor分配方式的实现稍微复杂点儿,我们可以先理解图示部分即可。感兴趣的可以研究一下。

谁来执行再均衡和消费组管理

Kafka提供了一个角色:Group Coordinator来执行对于消费组的管理。

Group Coordinator——每个消费组分配一个消费组协调器用于组管理和位移管理。当消费组的第一个消费者启动的时候,它会去和Kafka Broker确定谁是它们组的组协调器。之后该消费组内所有消费者和该组协调器协调通信。

如何确定coordinator

两步:

  1. 确定消费组位移信息写入 __consumers_offsets 的哪个分区。具体计算公式:
  • __consumers_offsets partition# = Math.abs(groupId.hashCode() %groupMetadataTopicPartitionCount) 注意:groupMetadataTopicPartitionCount 由 offsets.topic.num.partitions 指定,默认是50个分区。
  1. 该分区leader所在的broker就是组协调器。

Rebalance Generation

它表示Rebalance之后主题分区到消费组中消费者映射关系的一个版本,主要是用于保护消费组,隔离无效偏移量提交的。如上一个版本的消费者无法提交位移到新版本的消费组中,因为映射关系变了,你消费的或许已经不是原来的那个分区了。每次group进行Rebalance之后,Generation号都会加1,表示消费组和分区的映射关系到了一个新版本,如下图所示: Generation 1时group有3个成员,随后成员2退出组,消费组协调器触发Rebalance,消费组进入Generation 2,之后成员4加入,再次触发Rebalance,消费组进入Generation 3.

在这里插入图片描述

协议(protocol)

kafka提供了5个协议来处理与消费组协调相关的问题:

  • Heartbeat请求:consumer需要定期给组协调器发送心跳来表明自己还活着
  • LeaveGroup请求:主动告诉组协调器我要离开消费组
  • SyncGroup请求:消费组Leader把分配方案告诉组内所有成员
  • JoinGroup请求:成员请求加入组
  • DescribeGroup请求:显示组的所有信息,包括成员信息,协议名称,分配方案,订阅信息等。通常该请求是给管理员使用

组协调器在再均衡的时候主要用到了前面4种请求。

liveness

消费者如何向消费组协调器证明自己还活着? 通过定时向消费组协调器发送Heartbeat请求。如果超过了设定的超时时间,那么协调器认为该消费者已经挂了。一旦协调器认为某个消费者挂了,那么它就会开启新一轮再均衡,并且在当前其他消费者的心跳响应中添加“REBALANCE_IN_PROGRESS”,告诉其他消费者:重新分配分区。

再均衡过程

再均衡分为2步:Join和Sync

  1. Join, 加入组。所有成员都向消费组协调器发送JoinGroup请求,请求加入消费组。一旦所有成员都发送了JoinGroup请求,协调i器从中选择一个消费者担任Leader的角色,并把组成员信息以及订阅信息发给Leader。
  2. Sync,Leader开始分配消费方案,即哪个消费者负责消费哪些主题的哪些分区。一旦完成分配,Leader会将这个方案封装进SyncGroup请求中发给消费组协调器,非Leader也会发SyncGroup请求,只是内容为空。消费组协调器接收到分配方案之后会把方案塞进SyncGroup的response中发给各个消费者。 在这里插入图片描述

注意:在协调器收集到所有成员请求前,它会把已收到请求放入一个叫purgatory(炼狱)的地方。然后是分发分配方案的过程,即SyncGroup请求: 在这里插入图片描述

注意:消费组的分区分配方案在客户端执行。Kafka交给客户端可以有更好的灵活性。Kafka默认提供三种分配策略:range和round-robin和sticky。可以通过消费者的参数:partition.assignment.strategy 来实现自己分配策略。

消费组状态机

消费组组协调器根据状态机对消费组做不同的处理: 在这里插入图片描述

说明:

  1. Dead:组内已经没有任何成员的最终状态,组的元数据也已经被组协调器移除了。这种状态 响应各种请求都是一个response: UNKNOWN_MEMBER_ID
  2. Empty:组内无成员,但是位移信息还没有过期。这种状态只能响应JoinGroup请求
  3. PreparingRebalance:组准备开启新的rebalance,等待成员加入
  4. AwaitingSync:正在等待leader consumer将分配方案传给各个成员
  5. Stable:再均衡完成,可以开始消费。