HDFS 高可用与高扩展性机制分析

435 阅读27分钟

青训营 HDFS 高可用与高扩展性机制分析

概述

2022の夏天,半壶水响叮当的我决定充实一下自我


一、内容介绍

    青训营

总述

本节课程主要分为四个方面

  1. HDFS 元数据服务的高可用
  2. HDFS 数据存储高可用
  3. HDFS 元数据服务的高扩展性
  4. HDFS 数据存储的高扩展性

基础知识

  • 文件目录树 Directory Tree
  • 路径前缀匹配
  • Quorum

高可用

  • 复制状态机 Replicated State Machine
  • 操作日志 Op Log / Edit Log
  • RTO 与 RPO
  • 物理日志与逻辑日志
  • 同步复制、半同步复制
  • 心跳
  • 脑裂
  • fence
  • 副本 replica
  • 数据中心网络架构
  • 机架 rack
  • TOR 交换机
  • 数据中心 data center

扩展性

  • 分片 shard
  • 分区 partition
  • 邦联架构 federation
  • 路由 route
  • block pool
  • 代理 proxy
  • 负载均衡 load balance
  • 数据分级 data classification
  • 冷/热数据 hot/cold data
  • 数据搬迁 migration
  • 慢节点
  • 长尾 long tail

回顾

HDFS通过将文件分块来存储大文件,HDFS的组件有NameNode和DataNode,分别负责提供元数据和数据服务

在读/写数据时,HDFS客户端需要先从NameNode上获取数据读取/写入的DataNode地址,然后和DataNode交互来完成数据读/写

一个“可以用”的系统和“好用”的系统,差距就是“高可用”和“高扩展性”

HDFS 的架构

  • HDFS 的主要服务端主要组件是 NameNode 和 DataNode,两者通过定时心跳通信。
  • NameNode(NN)负责维护目录树、文件和块的关系、各个块的副本放置位置等元信息。
  • DataNode(DN)负责维护数据副本,执行 NameNode 下发的副本迁移、副本删除等操作。
  • HDFS Client 属于是胖客户端(fat/rich client),客户端中实现了数据读写的容错等较为复杂的逻辑。

HDFS 的读写路径

  • 数据读取:Client 从 NN 上获取到文件信息和块的位置(getFileInfo+getBlockLocation),从对应 DN 上读取数据。当一个 DN 读取失败时,会去尝试块的其他 DN。
  • 数据写入:Client 要求 NN 创建文件(create),并依次获得不同的 DN 来写入数据块(addBlock)。Client 通过链式写入来同时写入数据到多个 DN。在整个写入完成后,会让 NN 关闭文件(complete)。

二、元数据高可用

主备系统:基于日志、自动切换、实时热备

2.1 服务高可用的需求

故障类型:

  • adversity
  • 硬件故障
  • 软件故障
  • 人为故障

灾难:数据中心级别不可用

  • 机房断电
  • 机房空调停机
  • 机房间网络故障、拥塞

高可用:系统在困境中仍可正常工作(正确完成功能,并能达到期望的性能水准)

而如果HDFS系统不可用:

  • 无法核算广告账单,直接引发收入损失
  • 无法生产数据报表,数据驱动无从谈起
  • 无法进行模型训练,用户体验越来越差

业务停止的损失极大,所以HDFS系统的高可用性就至关重要

2.1.1 高可用的衡量

服务可用性指标: 故障度量的指标

  • MTTR(Mean Time To Repair):平均修复时间,系统能多快恢复。
  • MTTF(Mean Time To Failure):平均失效时间,运行到故障间的时间,一般用于不可修复的系统(制造业)。
  • MTBF(Mean Time Between Failures):平均无故障时间,两次故障间的间隔,一般用于可修复的系统(软件)。

image.png

2.1.2 可用性的年化

可用性: image.png

全年不可用时间:

  • 可用性99.9%,全年8.76小时不可用
  • 可用性99.99%,全年52.6分钟不可用
  • 可用性99.999%,全年5.26分钟不可用

2.1.3 高可用的形式

服务高可用/备份方式:

  • 冷备份:备份服务的数据,可以和数据归档相结合。在主服务故障时,利用备份的数据重启。关键数据重启
  • 热备份:主服务和备服务同时运行,在主服务故障时,随时可以切换到备服务。与主服务同行

故障恢复操作切换方式:

  • 人工切换:在故障发生时,运维人员接收报警后,手动执行服务切主操作。一般较慢,难以满足全年不可用时间的目标。
  • 自动切换:通过探活组件、分布式共识协议等手段,系统能自动发现主服务的故障,并切换到备份不符。

人工的反应、决策时间都更长,高可用需要让系统自动决策
HDFS的设计中,采用了中心化的元数据管理节点 NameNode
NameNode容易成为故障中的单点(single point of failure/SPOF:指系统中一旦失效,就会让整个系统无法运作的组件)

2.1.3 高可用状态机恢复

状态机复制模型:实现容错服务的一种常规方法,主要通过复制服务器,并协调客户端和这些服务器镜像间的交互来达到目标。这个方法也同时提供了理解和设计复制管理协议的一套基本框架。

  • 状态机:一个状态机从“初始”状态开始,每一个输入都被传入转换函数和输出函数,以生成一个新的状态和输出。在新的输入被接收到前,状态保持不变,而输出同时被传输给恰当的接受者。
  • 状态机复制:确定性的状态机具有「处理确定的输入后,状态唯一确定」的特性。状态机复制利用这个特性实现多个相同的状态机副本的同步更新。
  • 变更日志:触发状态机更新的变更操作,具有全局确定的顺序。
  • 共识协议:确保每个副本都能收到相同的日志的共识协议,常见的有 Paxos、Raft、ZAB。

2.2 HDFS 的高可用架构

组件介绍:

  • Active NameNode:提供服务的 NameNode 主节点,生产 editlog
  • Standby NameNode:不提供服务,起备份作用的 NameNode 备节点,消费 editlog
  • edit log:用户变更操作的记录,具有全局顺序,是 HDFS 的变更日志
  • ZooKeeper:开源的分布式协调组件,主要功能有节点注册、主节点选举、元数据存储
  • BookKeeper:开源的日志存储组件,存储 editlog
  • ZKFC:和 ZK、NN 通信,进行 NN 探活和自动主备切换
  • HA Client:处理 StandbyException,在主备节点间挑选到提供服务的主节点

image.png

围绕三个问题来看高可用:

  • 节点状态如何保存
  • 操作日志如何同步
  • 如何做到自动切换

2.2.1 理论基础-状态机复制和日志

状态机复制是实现容错的常规方法:
组件:

  • 状态机以及其副本
  • 变更日志
  • 共识协议

image.png

2.2.2 NameNode 状态持久化

  • FSImage 文件:较大的状态记录文件,是某一时刻 NN 全部需要持久化的数据的记录。大小一般在 GB 级别
  • EditLog 文件:是某段时间发生的变更日志的存储文件。大小一般在 KB~MB 级别
  • checkpoint 机制:将旧的 FSImage 和 EditLog 合并生成新的 FSImage 的流程,在完成后旧的数据可以被清理以释放空间

image.png

2.2.3 NameNode操作日志的生产消费

物理日志:存储了物理单元(一般是磁盘的 page)变更的日志形式
逻辑日志:存储了逻辑变更(例如 rename /a to /b)的日志形式

image.png

2.2.4 NameNode块状态维护

content Stale:一致性,处理主备状态(因更改不一致)不一致 image.png

2.3 HDFS自动主备切换

2.3.1 HDFS 主备切换

  • DataNode 心跳与块汇报需要同时向 active NN 和 standby NN 上报,让两者可以同时维护块信息。但只有 active NN 会下发 DN 的副本操作命令

  • content stale 状态:在发生主备切换后,新 active NN 会标记所有 DN 为 content stale 状态,代表该 DN 上的副本是不确定的,某些操作不能执行。直到一个 DN 完成一次全量块上报,新 active NN 才标记它退出了 content stale 状态

    • 例子,多余块的删除:NN 发现某个块的副本数过多,会挑选其中一个 DN 来删除数据。在主备切换后,新 active NN 不知道旧 active NN 挑选了哪个副本进行删除,就可能触发多个 DN 的副本删除,极端情况下导致数据丢失。content stale 状态的引入解决了这个问题
  • 脑裂问题:因为网络隔离、进程夯住(例如 Java GC)等原因,旧的 active NN 没有完成下主,新的 active NN 就已经上主,此时会存在双主。client 的请求发给两者都可能成功,但不能保证一致性(两个 NN 状态不再同步)和持久化(只能保留一个 NN 状态)

  • fence 机制:在新 active NN 上主并正式处理请求之前,先要确保旧 active NN 已经退出主节点的状态。一般做法是先用 RPC 状态检测,发现超时或失败则调用系统命令杀死旧 active NN 的进程

2.3.2 自动主备切换

  • ZooKeeper 是广泛使用的选主组件,它通过 ZAB 协议保证了多个 ZK Server 的状态一致,提供了自身的强一致和高可用。

  • ZooKeeper 的访问单位是 znode,并且可以确保 znode 创建的原子性和互斥性(CreateIfNotExist)。client 可以创建临时 znode,临时 znode 在 client 心跳过期后自动被删除。

  • ZK 提供了 Watch 机制,允许多个 client 一起监听一个 znode 的状态变更,并在状态变化时收到一条消息回调(callback)。

  • 基于临时 znode 和 Watch 机制,多个客户端可以完成自动的主选举。

  • ZKFailoverController:一般和 NN 部署在一起的进程,负责定时查询 NN 存活和状态、进行 ZK 侧主备选举、执行调用 NN 接口执行集群的主备状态切换、执行 fence 等能力。

  • Hadoop 将集群主备选举的能力和 NN 的服务放在了不同的进程中,而更先进的系统一般会内置在服务进程中。

2.3.2.1 分布式协调组件-ZooKeeper

一般用于提供选主、协调、元数据存储

使用它的组件:

  • HDFS、YARN、HBase
  • Kafka、ClickHouse
  • 等等

HA核心机制:

  • Watch(检测ZooKeeper数据,定时心跳同步删除临时节点)

image.png

2.3.2.2 自动主备切换流程-Server侧

  • ZKFailoverController
    • 作为外部组件,驱动HDFS NameNode的主备切换
    • 注册节点,检测节点状态
  • 轮询探活(查主备active)
  • 脑裂问题(避免多人写机制,粗暴:kill旧的无响应写入active)
  • Fence/栅栏 机制(心跳超时检测)

image.png

2.3.2.3 自动主备切换流程- Client侧

核心机制:StandbyException Client自动处理

image.png

2.4 高可用日志系统 BookKeeper/簿记员 简介

高可用日志系统 BookKeeper

  • 高可靠:数据写入多个存储节点,数据写入就不会丢失。

  • 高可用:日志存储本身是高可用的。因为日志流比文件系统本身的结构更为简单,日志系统高可用的实现也更为简单。

  • 强一致:日志系统是追加写入的形式,Client 和日志系统的元数据可以明确目前已经成功的写入日志的序号(entry-id)。

  • 可扩展:整个集群的读写能力可以随着添加存储节点 Bookie 而扩展。

Quorum 协议:基于鸽巢原理,在多个副本间确保高可用、高性能的多副本变更协议

  • 多副本间一般通过 version-id 来描述状态的新旧。

  • 高可用:多个副本确保了高可用(后文会再次介绍多副本高可用)。

  • 高性能:不用等所有副本写入成功,降低了的长尾延迟(后文会再次介绍长尾延迟)。

  • 参考:Quorum 协议

BookKeeper Quorum 协议:基于 Quorum 的多数派思想来提供高可用、高性能写入的日志写入

  • 日志写入是追加,不是状态变更,只需要确认目前的(日志的序号) entry-id,相对更简单。

  • Write Quorum:一次写入需要写入到的存储节点数。

  • Ack Quorum:一次写入需要收到的响应数,小于 write quorum。

  • 高性能:不用等所有副本写入成功,降低了的长尾延迟(后文会再次介绍长尾延迟)。

  • Ensemble:通过轮询(Round-Robin)来确认 write quorum 实际对应的存储节点实例,可以比较简单的完成副本放置和扩展。

2.4.1 BookKeeper 架构

BookKeeper存储日志:

  • 低延时
  • 持久性
  • 强一致性
  • 读写高可用

对比:

  • 日志系统和文件系统的复杂度 image.png

2.4.2 Quorum机制

Quorum/多数派 机制:

  • 多副本一致性读写

场景:

  • 多副本对象存储,用版本号标识数据新旧

规则:

  1. Qr + Qw > Q
  2. Qw > Q/2

思考:

  • 日志场景比对象保存更简单 image.png

2.4.3 BookKeeper Quorum

Sloppy Quorum机制:

日志场景:

  • 顺序追加、只写

Write Quorum:

  • 写入副本数Ack Quorum:响应副本数

思考:

  • Client挂掉导致不确认写入了多少数据,如何恢复? image.png

2.4.4 BookKeeper Ensemble

Ensemble/集成 机制

Round-Robin Load Balancer/圆罗宾负载均衡器

  • 第一轮:1,2,3
  • 第二轮:2,3,4
  • 第三轮:3,4,1
  • 第四轮:4,1,2

优势:数据均衡 image.png


三、数据存储高可用

数据备份:多副本、纠删码、网络架构

3.1 单机存储的数据高可用机制

RAID(Redundant Array of Independent Disks/独立磁盘冗余阵列):将多个廉价、不可靠、低性能、容量小的磁盘组装在一起,提供高可靠高性能大容量逻辑磁盘服务的一组磁盘列阵方案。

  • RAID 0 :将数据分块后按条带化的形式分别存储在多个磁盘上,提供大容量、高性能。

  • RAID 1:将数据副本存储在多个磁盘上,提供高可靠。

  • RAID 3:在数据分块存储的基础上,将数据的校验码存储在独立的磁盘Ap上,提供高可靠、高性能。

  • 其他可以参考 RAID

image.png

3.2 HDFS 的数据高可用机制

3.2.1 HDFS版本的RAID 1 多副本方案

多副本方案:将数据块存储在多个 DN(datanode) 上

HDFS版本的RAID 1

图:Hadoop的多副本放置(三副本)

image.png

优点:

  • 读写路径简单副本修复简单高可用

3.2.2 HDFS版本的RAID 2/3 Erasure Coding 方案(低成本)

Erasure Coding 方案:将数据分段,通过特殊的编码方式存储额外的校验块,并条带化的组成块,存储在 DN 上。

  • 条带化:原本块对应文件内连续的一大段数据。条带化后,连续的数据按条带(远小于整个块的单位)间隔交错的分布在不同的块中。

  • Reed Solomon 算法:参考 Reed-solomon codes

  • 成本更低:多副本方案需要冗余存储整个块,EC 方案需要冗余存储的数据一般更少。

HDFS版本的RAID 2/3

业界常用Reed Solomon算法

图:Reed Solomon算法原理

image.png

3.2.3 HDFS版本的RAID 2 HDFS Erasure Coding

HDFS版本的RAID 2

图:直接保存的EC和Stripe(条带)

和多副本比较

  • 读写速度
  • 成本
  • 修复速度
  • 读写路径的实现 image.png

3.3 考虑网络架构的数据高可用

数据中心架构

  • 机架/机柜:将几个服务器统一供电、提供对外网络的固定的物理设备,放服务器的架子

image.png

  • TOR top of rack:机架顶部(或底部)的交换机,负责机架内服务器和数据中心的其他服务器的网络通信。

  • 机房和数据中心都是指大量服务器集中放置的场所。

    • 机房:强调的基础设施建设,例如物理承重、空调、防水、消防。
    • 数据中心:强调机房的业务属性。
  • 网络拓扑:按数据中心->机架->机器的顺序,描述进程在网络空间中所处的位置

image.png

  • 跨机房专线:由网络服务商提供,连接机房的专用网络。

    • 稳定性和安全性好于公网。
    • 相比于数据中心内网络,吞吐更为有限、延迟更高、成本更高。

故障域

  • 故障域是基础设施中可能发生故障的区域或组件。每一个域都有自己的风险和挑战,由个别几个因素决定整个故障域的服务能力,需要进行架构。

  • 机架感知:以 TOR 为关键点,机架是一个故障域。数据副本全部放置在一个机架中,当相应 TOR 故障时数据就无法访问。

  • 机房感知:以机房的基础设施(空调、电力)和跨机房专线为关键点,它们发生故障时整个机房会发生故障,导致不可用。

多机房容灾:服务和数据需要存放在多个机房,并配合合理的架构。使得发生机房故障时依然可以提供服务。

3.4 案例:字节跳动的 HDFS 多机房实践

3.4.1 副本放置策略―机架感知

一个TOR故障导致整个机架不可用
vs
降低跨rack流量

trade-off :一个本地、—个远端

图:HDFS的多机架放置 image.png

3.4.2 案例:字节跳动的HDFS 多机房实践

字节跳动的HDFS集群,从单机房演进到双机房,再从双机房演进到更多的机房

多机房解决的问题:

  • 容量问题
  • 容灾问题

HDFS 双机房放置的设计:

  • 写入时,每个数据块在两个机房至少各有一个副本,数据实时写入到两个机房
  • 读取时,优先读本地的副本,避免了大量的跨机房读取

image.png

3.4.3 多机房容灾实践

多机房部署的组件:

  • ZooKeeper
  • BookKeeper
  • NameNode
  • DataNode

容灾期间的策略:

  • 容灾期间,限制跨机房写入
  • 容灾期间,限制跨机房副本复制

四、元数据高扩展性

水平扩展:邦联架构、请求路由、完整名字空间

4.1. 元数据扩展性的挑战

HDFS NameNode是个集中式服务,部署在单个机器上,内存和磁盘的容量、CPU的计算力都不能无限扩展 image.png scale up vs scale out
扩容单个服务器的能力部署多个服务器来服务

挑战:

  • 名字空间分裂
  • DataNode汇报
  • 目录树结构本身复杂

扩展性方案

  • scale up:通过单机的 CPU、内存、磁盘、网卡能力的提升来提升系统服务能力,受到机器成本和物理定律的限制
  • scale out:通过让多台机器组成集群,共同对外提供服务来提升系统服务能力。一般也称为高扩展、水平扩展

4.1.1 scale out 方案

KV模型的系统可以使用partition

  • Redis
  • Kafka
  • MySQL(分库分表)

下图:三种数据路由方式:

  • 服务端侧
  • 路由层
  • 客户端侧 image.png

partition 方法

  • 水平分区和垂直分区:水平分区指按 key 来将数据划分到不同的存储上;垂直分区指将一份数据的不同部分拆开存储,用 key 关联起来。partition 一般都水平分区,又称 shard
  • 常用于 KV 模型,通过 hash 或者分段的手段,将不同类型 key 的访问、存储能力分配到不同的服务器上,实现了 scale out
  • 重点:不同单元之间不能有关联和依赖,不然访问就难以在一个节点内完成。例如 MySQL 的分库分表方案,难以应对复杂跨库 join

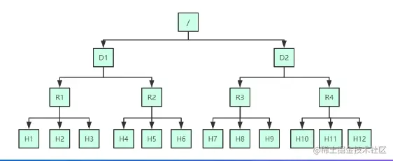
federation 架构

  • 目录树拆分方案
  • 使得多个集群像一个集群一样提供服务的架构方法,提供了统一的服务视图,提高了服务的扩展性。
  • 文件系统的目录树比 kv 模型更复杂,划分更困难。
  • 邦联架构的难点一般在于跨多个集群的请求,例如 HDFS 的 rename 操作就可能跨多个集群。

4.2. 社区解决方案

4.2.1 blockpool

  • 将文件系统分为文件层和块存储层,对于块存储层,DN(datanode) 集群对不同的 NN(namenode)(DN三节点处理数据,NN调度) 提供不同的标识符,称为 block pool
  • 解决了多个 NN 可能生成同一个 block id,DN 无法区分的问题

解决DN同时服务多组NN的问题

文件服务分层

  • Namespace(目录树结构(父子关系),文件对应块与ID)
  • Block Storage(块存在DN上,单独目录,对应信息/NN不同blockpool,唯一ID)

用blockpool来区分DN的服务

  • 数据块存储
  • 心跳和块上报(校验,防止DN服务多个NN)

image.png

4.2.2 viewfs

  • 邦联架构的一种实现,通过客户端配置决定某个路径的访问要发送给哪个 NN 集群。
  • 缺点:客户端配置难以更新、本身配置方式存在设计(例如,只能在同一级目录区分;已经划分的子树不能再划分)

Federation架构:将多个不同集群组合起来,对外表现像一个集群一样

federation 架构

  • 目录树拆分方案
  • 使得多个集群像一个集群一样提供服务的架构方法,提供了统一的服务视图,提高了服务的扩展性。
  • 文件系统的目录树比 kv 模型更复杂,划分更困难。
  • 邦联架构的难点一般在于跨多个集群的请求,例如 HDFS 的 rename 操作就可能跨多个集群。

下图: viewfs通过在client-side的配置,指定不同的目录访问不同的NameNode image.png

局限性:运维复杂

4.3. 字节 Proxy 方案介绍

NNProxy是ByteDance自研的HDFS代理层,提供了路由服务

NNProxy主要实现了路由管理和RPC转发

  • 以及鉴权、限流、查询缓存等额外能力

下图:NNProxy所在系统上下游 image.png

NNProxy

  • ByteDance 自研的 HDFS 代理层,于 2016 年开源,项目地址: github.com/bytedance/n…

  • 主要提供了路由管理、RPC 转发,额外提供了鉴权、限流、查询缓存等能力。

  • 开源社区有类似的方案 Router Based Federation,主要实现了路由管理和转发。

4.3.1 NNProxy路由规则保存

回顾:三种数据路由方式:

  • 服务端侧
  • 路由层
  • 客户端侧

考虑点:扩展性、运维性

图:路由规则的保存

image.png

4.3.2 NNProxy路由转发实现

图:目录树视图

image.png

路径最长匹配规则

  • /
  • /home
  • /user/bob
  • /user/tiger/warehouse
  • /user/tiger/dump

进一步思考:

  • 单个NN不会遇到瓶颈了么?
  • 跨集群rename

4.4. 案例:小文件问题

小文件问题

  • HDFS 设计上是面向大文件的,小于一个 HDFS Block 的文件称为小文件(块大小128/4mb)。
  • 元数据问题:多个小文件相对于一个大文件,使用了更多元数据服务的内存空间。
  • 数据访问问题:多个小文件相对于一个大文件,I/O 更加的随机,无法顺序扫描磁盘。
  • 计算任务启动慢:计算任务在启动时,一般会获得所有文件的地址来进行 MapReduce 的任务分配,小文件会使得这一流程变长。
  • 典型的 MR 流程中,中间数据的文件数和数据量与 mapper*reducer 的数量成线性,而为了扩展性,一般 mapper 和 reducer 的数量和数据量成线性。于是,中间数据的文件数和数据量与原始的数据量成平方关系。
  • 小文件合并任务:计算框架的数据访问模式确定,可以直接将小文件合并成大文件而任务读取不受影响。通过后台运行任务来合并小文件,可以有效缓解小文件问题。通过 MapReduce/Spark 框架,可以利用起大量的机器来进行小文件合并任务。
  • Shuffle service:shuffle 流程的中间文件数是平方级的,shuffle service 将 shuffle 的中间数据存储在独立的服务上,通过聚合后再写成 HDFS 文件,可以有效地缓解中间数据的小文件问题。

image.png


五、数据存储高扩展性

超大集群:数据可靠、数据均衡、长尾问题

5.1 超大集群的长尾问题

长尾

  • 二八定律:在任何一组东西中,最重要的只占其中一小部分,约 20%,其余 80% 尽管是多数,却是次要的。
  • 长尾:占绝大多数的,重要性低的东西就被称为长尾。

百分位延迟

  • 将所有请求的响应速度从快到慢排序,取其中某百分位的请求的延迟时间。
  • 例如 pct99 代表排在 99% 的请求的延迟。相对于平均值,能更好的衡量长尾的情况。

尾部延迟放大

  • 木桶原理:并行执行的任务的耗时取决于最慢的一个子任务。
  • 尾部延迟放大:一个请求或任务需要访问多个数据节点,只要其中有一个慢,则整个请求或任务的响应就会变慢
  • 固定延迟阈值,访问的集群越大, 高于该延迟的请求占比越高
  • 固定延迟百分位,访问的集群越大,延迟越差

长尾问题

  • 尾部延迟放大+集群规模变大,使得大集群中,尾部延迟对于整个服务的质量极为重要
  • 慢节点问题:网络不会直接断联,而是不能在预期的时间内返回。会导致最终请求不符合预期,而多副本机制无法直接应对这种问题
  • 高负载:单个节点处理的请求超过了其服务能力,会引发请求排队,导致响应速度慢。是常见的一个慢节点原因。

5.1.1 延迟的分布和长尾延迟

image.png

5.1.2 尾部延迟放大

image.png

5.1.3 长尾问题的表现-慢节点

image.png

5.2 超大集群的可靠性问题

数据可靠性

  • 超大集群下,一定有部分机器是损坏的,来不及修理的。
  • 随机的副本放置策略,所有的放置组合都会出现。而 DN 容量够大,足够
  • 三副本,单个 DN 视角:容量一百万,机器数量一万。那么另外两个副本的排列组合有一亿种,容量比放置方案大约百分之一。
  • 三副本,全局视角:一万台机器,每台一百万副本,损坏 1%(100 台)。根据排列组合原理,大约有 1009998/(1000099999998) (100000010000)=9704 个坏块
  • callback 一下,叠加长尾问题。每个任务都要访问大量的块,只要一个块丢失就整个任务收到影响。导致任务层面的丢块频发,服务质量变差。

5.2.1 超大集群下的数据可靠性

image.png

5.2.2 Copyset

copyset

  • 降低副本放置的组合数,降低副本丢失的发生概率。
  • 修复速度:DN 机器故障时,只能从少量的一些其他 DN 上拷贝数据修复副本。

image.png

5.3 超大集群的不均匀问题

负载均衡的意义

  • 避免热点
    • 机器热点会叠加长尾问题,少数的不均衡的热点会影响大量的任务。
  • 成本:
    • 数据越均衡,CPU、磁盘、网络的利用率越高,成本更低。
    • 集群需要为数据腾挪预留的空间、带宽更少,降低了成本。
  • 可靠性
    • 全速运行的机器和空置的机器,以及一会全速运行一会空置的机器,可靠性表现都有不同。负载均衡可以降低机器故障的发生。
    • 同一批机器容易一起故障,数据腾挪快,机器下线快,可以提升可靠性。
  1. 负载均衡性影响因素:多个复杂因素共同影响负载均衡性
  • 不同节点上的业务量的平衡
  • 数据放置策略
  • 数据搬迁工具的能力
  • 系统环境

集群的不均衡情况

  • 节点容量不均:机器上的数据量不均衡。
    • 原因可能是各种复杂情况导致,归根结底是混沌现象。
  • 数据新旧不均:机器上的数据新旧不均匀。
    • 例如:新上线的机器,不做任何数据均衡的情况下,只会有新写入的数据。而一般新数据更容易被读取,更为「热」。
  • 访问类型不均:机器上的数据访问类型不均。
    • 例如:机器学习训练需要反复读取数据,小 I/O 更多。而大数据场景一般只扫描一次,大 I/O 为主。这两种模式的读写比不同,I/O pattern 不同,就来带访问冷热的不同。
  • 异构机器:有的机器配置高、有的机器配置低,不考虑异构情况的话配置高的机器会闲置,配置低的机器会过热。
  • 资源不均:机器上的访问请求吞吐、IOPS 不均衡,导致最终机器冷热不均、负载不均。一般由于容量不均、新旧不均、模式不均导致

超大集群的负载均衡和数据迁移 image.png

5.3.1 案例:数据分布不均导致慢节点问题

5.3.1.1 数据写入不均

数据的不均匀:

  • 节点容量不均匀
  • 数据新旧不均匀
  • 访问类型不均匀

资源负载不均匀

image.png

5.3.1.2 DN冷热不均

image.png

5.3.1.3 负载均衡和数据迁移的典型场景

image.png

5.4 数据迁移工具速览

需要数据迁移的典型场景

  • DN 上线:新上线的机器没有任何数据,而且只会有新数据写入。需要迁移其他 DN 的旧数据到新 DN 上,使得负载和数据冷热均衡。
  • DN 下线:需要下线的机器,需要提前将数据迁移走再停止服务,避免数据丢失的风险。
  • 机房间均衡:因为资源供应、新机房上线等外部条件,机房规划、业务分布等内部条件,不同机房的资源量和资源利用率都是不均衡的。需要结合供应和业务,全局性的进行资源均衡。
  • 日常打散:作为日常任务运行,不断地从高负载、高容量的机器上搬迁数据到低负载、低容量的机器上,使得整个集群的负载均衡起来。

数据迁移工具

  • 目的:将数据从一部分节点搬迁到另一部分节点。
  • 要求:高吞吐、不能影响前台的服务。

带元数据迁移的迁移工具

  • 痛点:涉及到元数据操作,需要停止用户的写入。
  • DistCopy 工具
    • 通过 MapReduce 任务来并行迁移数据,需要拷贝数据和元数据。
    • 网络流量较大,速度较慢。
  • FastCopy 工具
    • 基于 hardlink 和 blockpool 的原理
    • 元数据直接在 NN 集群间拷贝,而数据则在 DN 上的不同 blockpool(对应到 NN 集群)进行 hardlink,不用数据复制。
    • 迁移速度要大大优于 DistCopy。

数据迁移工具

  • Balancer 工具
    • 代替 NN 向 DN 发起副本迁移的命令,批量执行副本迁移。
    • 场景:大规模数据平衡、机器上下线。

5.4.1 数据迁移工具-跨NN迁移

image.png

5.4.2 数据迁移工具- Balancer/平衡器

image.png


晚安玛卡巴卡

快乐暑假