【每日三题】环形链表Ⅱ

126 阅读4分钟

携手创作,共同成长!这是我参与「掘金日新计划 · 8 月更文挑战」的第7天,点击查看活动详情 >>


每日三刷,剑指千题

计划简介:

  • 每日三题,以中等题为主,简单题为辅进行搭配。保证质量题1道,数量题3道。
  • 每日早通勤在LeetCode手机端选题,思考思路,没答案的直接看题解。
  • 每日中午进行编码,时间控制在一小时之内。
  • 下班前半小时进行整理总结,并发布到掘金每日更文活动。

说明:

  • 基于以前的刷题基础,本次计划以中等题为主,大部分中等题都可以拆分为多个简单题,所以数量保证3,质量保证一道中等题即可。
  • 刷题顺序按照先刷链表、二叉树、栈、堆、队列等基本数据结构,再刷递归、二分法、排序、双指针等基础算法,最后是动态规划、贪心、回溯、搜索等复杂算法。
  • 刷题过程中整理相似题型,刷题模板。
  • 目前进度 123/1000

[141]环形链表

给你一个链表的头节点 head ,判断链表中是否有环。

如果链表中有某个节点,可以通过连续跟踪 next 指针再次到达,则链表中存在环。 为了表示给定链表中的环,评测系统内部使用整数 pos 来表示链表尾连接到链表中的位置(索引从 0 开始)。注意:pos 不作为参数进行传递 。仅仅是为了标识链表的实际情况。

如果链表中存在环 ,则返回 true 。 否则,返回 false

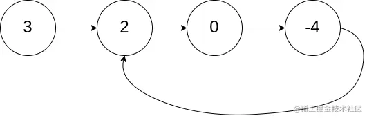
示例 1:

img

输入:head = [3,2,0,-4], pos = 1
输出:true
解释:链表中有一个环,其尾部连接到第二个节点。

进阶: 你能用 O(1)(即,常量)内存解决此问题吗?

解析**

Code

public boolean hasCycle(ListNode head) {
        ListNode fast = head;
        ListNode slow = head;
        while (fast!=null && slow!=null){
            slow = slow.next;
            fast = fast.next.next;
            if (slow==fast){
                return true;
            }
        }
        return false;
    }

[142]环形链表 II

给定一个链表的头节点 head ,返回链表开始入环的第一个节点。 如果链表无环,则返回 null

如果链表中有某个节点,可以通过连续跟踪 next 指针再次到达,则链表中存在环。 为了表示给定链表中的环,评测系统内部使用整数 pos 来表示链表尾连接到链表中的位置(索引从 0 开始)。如果 pos-1,则在该链表中没有环。注意:pos 不作为参数进行传递,仅仅是为了标识链表的实际情况。

不允许修改 链表。

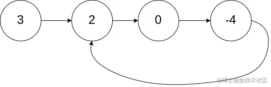
示例 1:

img

输入:head = [3,2,0,-4], pos = 1
输出:返回索引为 1 的链表节点
解释:链表中有一个环,其尾部连接到第二个节点。

解析

Code

public class Solution {
    public ListNode detectCycle(ListNode head) {
        ListNode fast = head;
        ListNode slow = head;
        while (true){
            if (fast == null || fast.next == null) return null;
            slow = slow.next;
            fast = fast.next.next;
            if (slow==fast){
                break;
            }
        }
        fast = head;
        while (fast!=slow){
            fast =fast.next;
            slow = slow.next;
        }
        return fast;
    }
}

[1403]非递增顺序的最小子序列

给你一个数组 nums,请你从中抽取一个子序列,满足该子序列的元素之和 严格 大于未包含在该子序列中的各元素之和。

如果存在多个解决方案,只需返回 长度最小 的子序列。如果仍然有多个解决方案,则返回 元素之和最大 的子序列。

与子数组不同的地方在于,「数组的子序列」不强调元素在原数组中的连续性,也就是说,它可以通过从数组中分离一些(也可能不分离)元素得到。

注意,题目数据保证满足所有约束条件的解决方案是 唯一 的。同时,返回的答案应当按 非递增顺序 排列。

示例 1:

输入:nums = [4,3,10,9,8]
输出:[10,9] 
解释:子序列 [10,9][10,8] 是最小的、满足元素之和大于其他各元素之和的子序列。但是 [10,9] 的元素之和最大。 

解析

这题很多题解包括官网都说他是一道典型的贪心算法,但是我呢,还不知道贪心算法是啥?

所以按我的理解,这题关键在于对题意的理解,因为看起来很复杂,但思路很清楚,能想到先排序,这题就没问题了。

Code

class Solution {
        public List<Integer> minSubsequence(int[] nums) {
            final ArrayList<Integer> ans = new ArrayList<>();
            int total = Arrays.stream(nums).sum();
            Arrays.sort(nums);
            int cur = 0;
            for (int i = nums.length-1; i >=0; i--) {
                cur += nums[i];
                ans.add(nums[i]);
                if (total - cur < cur) {
                    break;
                }
            }
            return ans;
        }
    }

\