【9】redis主从复制

87 阅读13分钟

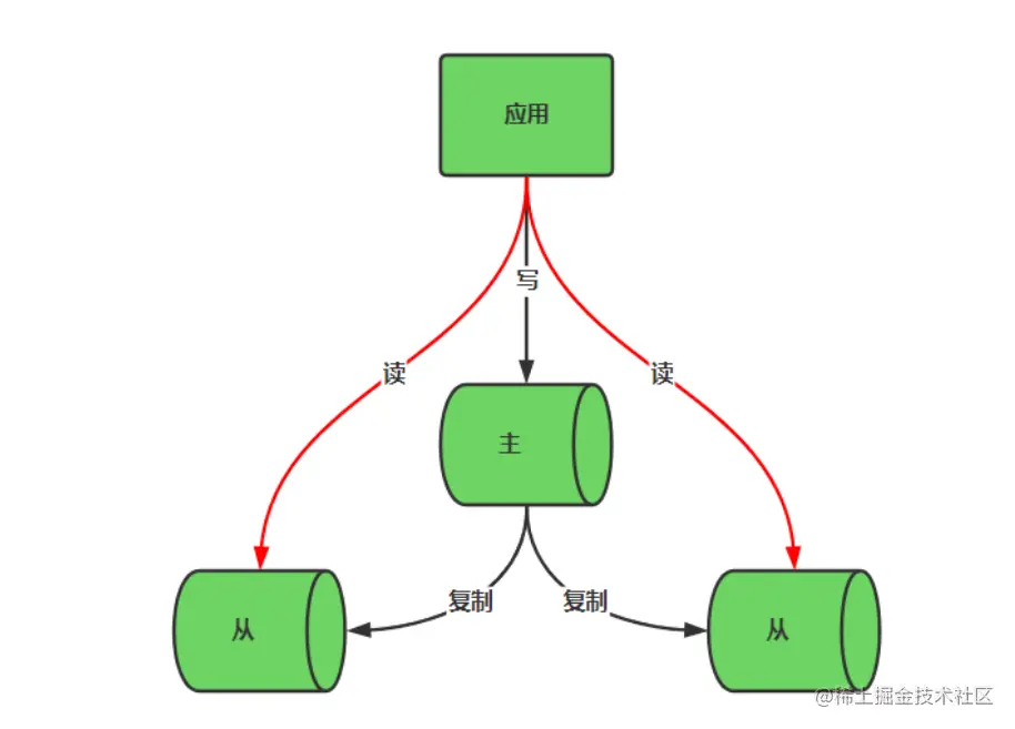
9.1、是什么?

主机更新后根据配置和策略,自动同步到备机的master/slave机制,Master以写为主,Slave以读为主。

9.2、能干嘛?

  • 读写分离,性能扩展,降低主服务器的压力

  • 容灾,快速恢复,主机挂掉时,从机变为主机

image.png

9.3、主从复制:怎么玩?

9.3.1、配置1主2从

下面我们来配置1主2从的效果,现实中是需要3台机器的,为了方便,我们就在一台机器上来演示,通过不同的端口来区分机器,3台机器的配置

image.png

image.png

9.3.2、配置主从

1)创建案例工作目录:master-slave

执行下面命令创建 /opt/master-slave 目录,本次所有操作,均在 master-slave 目录进行。

ps -ef | grep redis | awk -F" " '{print $2;}' | xargs kill -9 # 方便演示,停止所有的

redis

mkdir /opt/master-slave

cd /opt/master-slave/

2)将redis.conf复制到master-slave目录

cp /opt/redis-6.2.1/redis.conf /opt/master-slave/

3)创建master的配置文件:redis-6379.conf

在/opt/master-slave目录创建 redis-6379.conf 文件,内容如下,注意 192.168.200.129 是这个测试机器的ip,大家需要替换为自己的

#redis.conf是redis原配置文件,内部包含了很多默认的配置,这里使用include将其引用,相当于把

redis.conf内容直接贴进来了

include /opt/master-slave/redis.conf

daemonize yes

bind 192.168.200.129

#配置密码

requirepass 123456

dir /opt/master-slave/

logfile /opt/master-slave/6379.log

#端口

port 6379

#rdb文件

dbfilename dump_6379.rdb

#pid文件

pidfile /var/run/redis_6379.pid

4)创建slave1的配置文件:redis-6380.conf

在/opt/master-slave目录创建 redis-6380.conf 文件,内容如下,和上面master的类似,多了后面2行

include /opt/master-slave/redis.conf

daemonize yes

bind 192.168.200.129

requirepass 123456

dir /opt/master-slave/

port 6380

dbfilename dump_6380.rdb

pidfile /var/run/redis_6380.pid

logfile /opt/master-slave/6380.log

#用来指定主机:slaveof 主机ip 端口

slaveof 192.168.200.129 6379

#主机的密码

masterauth 123456

5)创建slave2的配置文件:redis-6381.conf

include /opt/master-slave/redis.conf

daemonize yes

bind 192.168.200.129

requirepass 123456

dir /opt/master-slave/

port 6381

dbfilename dump_6381.rdb

pidfile /var/run/redis_6381.pid

logfile /opt/master-slave/6381.log

#用来指定主机:slaveof 主机ip 端口

slaveof 192.168.200.129 6379

#主机的密码

masterauth 123456

6)启动master

redis-server /opt/master-slave/redis-6379.conf

7)启动slave1

redis-server /opt/master-slave/redis-6380.conf

8)启动slave2

redis-server /opt/master-slave/redis-6381.conf

若启动有误,大家好好检查下配置,也可以看日志,3台机器启动会在 /opt/master-slave 目录产生日志,如下

image.png

9)查看主机的信息

通过redis-cli命令连接主机,如下

redis-cli -h 192.168.200.129 -p 6379 -a 123456

通过下面命令,查看主机信息

info Replication

image.png

10)查看slave1的信息

通过下面2个命令查询从机slave1的信息

redis-cli -h 192.168.200.129 -p 6380 -a 123456

info Replication

image.png redis-cli -h 192.168.200.129 -p 6379 -a 123456

11)同样查看slave2的信息

redis-cli -h 192.168.200.129 -p 6381 -a 123456

info Replication

image.png

12)验证主从同步效果

在master上面执行下面2个命令

192.168.200.129:6379> flushdb

OK

192.168.200.129:6379> set name ready

OK

192.168.200.129:6379> set age 30

OK

到slave1上执行下面命令,可以看出来数据已经同步过来了

192.168.200.129:6380> mget name age

1) "ready"

2) "30"

192.168.200.129:6380>

同样到slave2上也执行一下,效果如下

192.168.200.129:6381> mget name age

1) "ready"

2) "30"

192.168.200.129:6381>

9.3.3、主从复制原理

  • slave启动成功连接到master后,会给master发送数据同步消息(发送sync命令)
  • master接收到slave发来的数据同步消息后,把主服务器的数据进行持久化到rdb文件,同时会收集接收到的用于修改数据的命令,master将传rdb文件发送给你slave,完成一次完全同步
  • 全量复制:而slave服务在接收到master发来的rdb文件后,将其存盘并加载到内存
  • 增量复制:master继续将收集到的修改命令依次传给slave,完成同步
  • 但是只要重新连接master,一次完全同步(全量复制)将会被自动执行 image.png

9.3.4、小结

主redis挂掉以后情况会如何?从机是上位还是原地待命?

主机挂掉后,从机会待命,小弟还是小弟,会等着大哥恢复,不会篡位。

从挂掉后又恢复了,会继续从主同步数据么?

会的,当从重启之后,会继续将中间缺失的数据同步过来。

info Replication:查看主从复制信息

上面已经演示过了,主、从上都可以执行,用来查看主从信息。

9.2、常用的主从结构

9.2.1、一主二从

刚刚上面演示的就是一主二从,不过采用的都是配置文件的方式,实际上从机可以采用命令的方式配置,下面我们来演示一遍,大家看好了。

1)创建案例工作目录:master-slave

执行下面命令创建 /opt/master-slave 目录,本次所有操作,均在 master-slave 目录进行。

ps -ef | grep redis | awk -F" " '{print $2;}' | xargs kill -9 # 方便演示,停止所有的

redis

mkdir /opt/master-slave

cd /opt/master-slave/

2)将redis.conf复制到master-slave目录

cp /opt/redis-6.2.1/redis.conf /opt/master-slave/

3)创建master的配置文件:redis-6379.conf

在/opt/master-slave目录创建 redis-6379.conf 文件,内容如下,注意 192.168.200.129 是这个测试机器的ip,大家需要替换为自己的

include /opt/master-slave/redis.conf

daemonize yes

bind 192.168.200.129

requirepass 123456

dir /opt/master-slave/

port 6379

dbfilename dump_6379.rdb

pidfile /var/run/redis_6379.pid

logfile /opt/master-slave/6379.log

4)创建slave1的配置文件:redis-6380.conf

在/opt/master-slave目录创建 redis-6380.conf 文件,内容如下,和上面master的类似,只是将6379换成6380了

include /opt/master-slave/redis.conf

daemonize yes

bind 192.168.200.129

requirepass 123456

dir /opt/master-slave/

port 6380

dbfilename dump_6380.rdb

pidfile /var/run/redis_6380.pid

logfile /opt/master-slave/6380.log

5)创建slave2的配置文件:redis-6381.conf

include /opt/master-slave/redis.conf

daemonize yes

bind 192.168.200.129

requirepass 123456

dir /opt/master-slave/

port 6381

dbfilename dump_6381.rdb

pidfile /var/run/redis_6381.pid

logfile /opt/master-slave/6381.log

6)启动master

redis-server /opt/master-slave/redis-6379.conf

**7)启动slave1

redis-server /opt/master-slave/redis-6380.conf

8)启动slave2

redis-server /opt/master-slave/redis-6381.conf

9)分别登陆3台机器,查看各自主从信息

本次我们并没有在slave1和slave2的配置文件通过 slaveof 命令配置主从信息,所以目前3台机器的角色都是master。

分别登陆对3个redis,然后用 info replication 命令看下3个的主从信息,如下:

image.png 下面我们将通过控制台命令来指定slave1和slave2的为master的从库。

10)配置slave1为master的从库

(1)执行下面命令,连接slave1

redis-cli -h 192.168.200.129 -p 6380 -a 123456

(2)执行下面命令,设置master的密码

由于master需要密码,所以在slave1中需要指定master的密码,否则无法同步数据。

config set masterauth 123456

(3)执行下面命令,指定slave1的作为master的从机

slaveof 192.168.200.129 6379

(4)如下,使用 info replication 查看下slave1的主从信息 image.png

11)配置slave2为master的从库

(1)执行下面命令,连接slave2

redis-cli -h 192.168.200.129 -p 6381 -a 123456

(2)执行下面命令,设置master的密码

由于master需要密码,所以在slave2中需要指定master的密码,否则无法同步数据。

config set masterauth 123456

(3)执行下面命令,指定slave2的作为master的从机

slaveof 192.168.200.129 6379

(4)如下,使用 info replication 查看下slave2的主从信息

image.png

12)再来看看master的主从信息

[root@hspEdu01 ~]# redis-cli -h 192.168.200.129 -p 6379 -a 123456

192.168.200.129:6379> info replication

image.png 注意:通过 slaveof 命令指定主从的方式,slave重启之后主从配置会失效,所以,重启后需要在slave上重新通过 slaveof 命令进行设置,这个不要忘记了。

中途通过 slaveof 变更转向,本地的数据会被清除,会从新的master重新同步数据。

9.2.2、薪火相传

若master下面挂很多slave,master会有压力,实际上slave下面也可以挂slave,如下图,配置这里就不演示了,和上面的类似。

image.png

9.2.3、反客为主

当master挂掉之后,我们可以从slave中选择一个作为主机。

比如我们想让slave1作为主机,那么可以在slave1上执行下面的命令就可以了。

slaveof no one

此时slave1就变成主机了,然后再去其他slave上面执行 slaveof 命令将其挂在slave1上。

这种主备切换有个缺点:需要手动去执行命令去操作,不是太方便。

下面来介绍另外一种方式:哨兵模式,主挂掉之后,自动从slave中选举一个作为主机,自动实现故障转移。

9.3、哨兵(Sentinel)模式

9.3.1、什么是哨兵模式?

反客为主的自动版,能够自动监控master是否发生故障,如果故障了会根据投票数从slave中挑选一个作为master,其他的slave会自动转向同步新的master,实现故障自动转义。

9.3.2、原理

sentinel会按照指定的频率给master发送ping请求,看看master是否还活着,若master在指定时间内未正常响应sentinel发送的ping请求,sentinel则认为master挂掉了,但是这种情况存在误判的可能,比如:可能master并没有挂,只是sentinel和master之间的网络不通导致,导致ping失败。

为了避免误判,通常会启动多个sentinel,一般是奇数个,比如3个,那么可以指定当有多个sentinel都觉得master挂掉了,此时才断定master真的挂掉了,通常这个值设置为sentinel的一半,比如sentinel的数量是3个,那么这个量就可以设置为2个。

当多个sentinel经过判定,断定master确实挂掉了,接下来sentinel会进行故障转移:会从slave中投票选出一个服务器,将其升级为新的主服务器, 并让失效主服务器的其他从服务器slaveof指向新的主服务器; 当客户端试图连接失效的主服务器时, 集群也会向客户端返回新主服务器的地址, 使得集群可以使用新主服务器代替失效服务器。

9.3.3、怎么玩?

1)需求:配置1主2从3个哨兵

下面我们来实现1主2从3个sentinel的配置,当从的挂掉之后,要求最少有2个sentinel认为主的挂掉了,才进行故障转移。

为了方便,我们在一台机器上进行模拟,我的机器ip是:192.168.200.129,通过端口来区分6个不同的节点(1个master、2个slave、3个sentinel),节点配置信息如下

image.png 2)创建案例工作目录:sentinel

执行下面命令创建 /opt/sentinel 目录,本次所有操作,均在 sentinel 目录进行。

# 方便演示,停止所有的redis

ps -ef | grep redis | awk -F" " '{print $2;}' | xargs kill -9

mkdir /opt/sentinel

cd /opt/sentinel/

3)将redis.conf复制到sentinel目录

redis.conf 是redis默认配置文件

cp /opt/redis-6.2.1/redis.conf /opt/sentinel/

4)创建master的配置文件:redis-6379.conf

在/opt/sentinel目录创建 redis-6379.conf 文件,内容如下,注意 192.168.200.129 是这个测试机器的ip,大家需要替换为自己的

include /opt/sentinel/redis.conf

daemonize yes

bind 192.168.200.129

dir /opt/sentinel/

port 6379

dbfilename dump_6379.rdb

pidfile /var/run/redis_6379.pid

logfile "./6379.log"

5)创建slave1的配置文件:redis-6380.conf

在/opt/sentinel目录创建 redis-6380.conf 文件,内容如下,和上面master的类似,只是将6379换成6380了

include /opt/sentinel/redis.conf

daemonize yes

bind 192.168.200.129

dir /opt/sentinel/

port 6380

dbfilename dump_6380.rdb

pidfile /var/run/redis_6380.pid

logfile "./6380.log"

6)创建slave2的配置文件:redis-6381.conf

在/opt/sentinel目录创建 redis-6381.conf 文件,内容如下

include /opt/sentinel/redis.conf

daemonize yes

bind 192.168.200.129

dir /opt/sentinel/

port 6381

dbfilename dump_6381.rdb

pidfile /var/run/redis_6381.pid

logfile "./6381.log"

7)启动master、slave1、slave2

redis-server /opt/sentinel/redis-6379.conf

redis-server /opt/sentinel/redis-6380.conf

redis-server /opt/sentinel/redis-6381.conf

8)配置slave1为master的从库

(1)执行下面命令,连接slave1

redis-cli -h 192.168.200.129 -p 6380

(2)执行下面命令,指定slave1的作为master的从机

slaveof 192.168.200.129 6379

(3)如下,使用 info replication 查看下slave1的主从信息

image.png

11)配置slave2为master的从库

(1)执行下面命令,连接slave2

redis-cli -h 192.168.200.129 -p 6381

(2)执行下面命令,指定slave2的作为master的从机

slaveof 192.168.200.129 6379

(3)如下,使用 info replication 查看下slave2的主从信息

image.png

12)验证主从复制是否正常

运行下面命令,连接master

redis-cli -h 192.168.200.129 -p 6379

运行下面命令,查看master主从信息

info replication

image.png

在master中执行下面命令,写入数据

flushdb

set name jack

如下,查看slave1中name的值

192.168.200.129:6380> get name

"jack"

如下,查看slave2中name的值

192.168.200.129:6381> get name

"jack"

数据一致,说明同步正常。

13)创建sentinel1的配置文件:sentinel-26379.conf

在/opt/sentinel目录创建 sentinel-26379.conf 文件,内容如下

# 配置文件目录

dir /opt/sentinel/

# 日志文件位置

logfile "./sentinel-26379.log"

# pid文件

pidfile /var/run/sentinel_26379.pid

# 是否后台运行

daemonize yes

# 端口

port 26379

# 监控主服务器master的名字:mymaster,IP:192.168.200.129,port:6379,最后的数字2表示当

Sentinel集群中有2个Sentinel认为master存在故障不可用,则进行自动故障转移

sentinel monitor mymaster 192.168.200.129 6379 2

# master响应超时时间(毫秒),Sentinel会向master发送ping来确认master,如果在20秒内,ping

不通master,则主观认为master不可用

sentinel down-after-milliseconds mymaster 60000

# 故障转移超时时间(毫秒),如果3分钟内没有完成故障转移操作,则视为转移失败

sentinel failover-timeout mymaster 180000

# 故障转移之后,进行新的主从复制,配置项指定了最多有多少个slave对新的master进行同步,那可以理

解为1是串行复制,大于1是并行复制

sentinel parallel-syncs mymaster 1

# 指定mymaster主的密码(没有就不指定)

# sentinel auth-pass mymaster 123456

14)创建sentinel2的配置文件:sentinel-26380.conf

在/opt/sentinel目录创建 sentinel-26380.conf 文件,内容如下

# 配置文件目录

dir /opt/sentinel/

# 日志文件位置

logfile "./sentinel-26380.log"

# pid文件

pidfile /var/run/sentinel_26380.pid

# 是否后台运行

daemonize yes

# 端口

port 26380

# 监控主服务器master的名字:mymaster,IP:192.168.200.129,port:6379,最后的数字2表示当

Sentinel集群中有2个Sentinel认为master存在故障不可用,则进行自动故障转移

sentinel monitor mymaster 192.168.200.129 6379 2

# master响应超时时间(毫秒),Sentinel会向master发送ping来确认master,如果在20秒内,ping

不通master,则主观认为master不可用

sentinel down-after-milliseconds mymaster 60000

# 故障转移超时时间(毫秒),如果3分钟内没有完成故障转移操作,则视为转移失败

sentinel failover-timeout mymaster 180000

# 故障转移之后,进行新的主从复制,配置项指定了最多有多少个slave对新的master进行同步,那可以理

解为1是串行复制,大于1是并行复制

sentinel parallel-syncs mymaster 1

# 指定mymaster主的密码(没有就不指定)

# sentinel auth-pass mymaster 123456

15)创建sentinel3的配置文件:sentinel-26381.conf

在/opt/sentinel目录创建 sentinel-26381.conf 文件,内容如下

# 配置文件目录

dir /opt/sentinel/

# 日志文件位置

logfile "./sentinel-26381.log"

# pid文件

pidfile /var/run/sentinel_26381.pid

# 是否后台运行

daemonize yes

# 端口

port 26381

# 监控主服务器master的名字:mymaster,IP:192.168.200.129,port:6379,最后的数字2表示当

Sentinel集群中有2个Sentinel认为master存在故障不可用,则进行自动故障转移

sentinel monitor mymaster 192.168.200.129 6379 2

# master响应超时时间(毫秒),Sentinel会向master发送ping来确认master,如果在20秒内,ping

不通master,则主观认为master不可用

sentinel down-after-milliseconds mymaster 60000

# 故障转移超时时间(毫秒),如果3分钟内没有完成故障转移操作,则视为转移失败

sentinel failover-timeout mymaster 180000

# 故障转移之后,进行新的主从复制,配置项指定了最多有多少个slave对新的master进行同步,那可以理

解为1是串行复制,大于1是并行复制

sentinel parallel-syncs mymaster 1

# 指定mymaster主的密码(没有就不指定)

# sentinel auth-pass mymaster 123456

16)启动3个sentinel

启动sentinel有2种方式

方式1:redis-server sentinel.conf --sentinel

方式2:redis-sentinel sentinel.conf

下面我们使用方式2来启动3个sentinel

/opt/redis-6.2.1/src/redis-sentinel /opt/sentinel/sentinel-26379.conf

/opt/redis-6.2.1/src/redis-sentinel /opt/sentinel/sentinel-26380.conf

/opt/redis-6.2.1/src/redis-sentinel /opt/sentinel/sentinel-26381.conf

17)分别查看3个sentinel的信息

分别对3个sentinel执行下面命令,查看每个sentinel的信息

redis-cli -p sentinel的端口

info sentinel

sentinel1 的信息如下,其他2个sentinel的信息这里就不列了,大家自己去看一下

image.png

18)验证故障自动转移是否成功

step1:在master中执行下面命令,停止master

192.168.200.129:6379> shutdown

step2:等待2分钟,等待完成故障转移

sentinel中我们配置 down-after-milliseconds 的值是60秒,表示判断主机下线时间是60秒,所以我们等2分钟,让系统先自动完成故障转移。

step3:查看slave1的主从信息,如下

使用 info replication 命令查看主从信息

image.png step4:查看slave2的主从信息,如下

slave2变成master了,且slave2变成slave1的从库了,完成了故障转移。

image.png step5:下面验证下slave1和slave2是否同步

在slave2中执行下面命令

192.168.200.129:6381> set address china

OK

在slave1中执行下面命令,查询一下address的值,效果如下,说明slave2和slave1同步正常

192.168.200.129:6380> get address

"china"

19)恢复旧的master自动俯首称臣

当旧的master恢复之后,会自动挂在新的master下面,咱们来验证下是不是这样的。

step1:执行下面命令,启动旧的master

redis-server /opt/sentinel/redis-6379.conf

step2:执行下面命令,连接旧的master

redis-cli -h 192.168.200.129 -p 6379

step3:执行下面命令,查看其主从信息

效果如下,确实和期望的一致。

image.png

9.3.4、更多Sentinel介绍

关于sentinel更多信息,见:Redis-Sentinel[itsoku.com/article/247]

9.3.5、SpringBoot整合Sentinel模式

1)引入redis的maven配置

<dependency>
    <groupId>org.springframework.boot</groupId>
    <artifactId>spring-boot-starter-data-redis</artifactId>
</dependency>

application.properties中配置redis sentinel信息

# redis sentinel主服务名称,这个可不是随便写的哦,来源于:sentinel配置文件中sentinel

monitor后面跟的那个名称

spring.redis.sentinel.master=mymaster

# sentinel节点列表(host:port),多个之间用逗号隔开

spring.redis.sentinel.nodes=192.168.200.129:26379,192.168.200.129:26380,192.168.

200.129:26381

# sentinel密码

#spring.redis.sentinel.password=

# 连接超时时间(毫秒)

spring.redis.timeout=60000

# Redis默认情况下有16个分片,这里配置具体使用的分片,默认是0

spring.redis.database=0

3)使用RedisTemplate工具类操作redis

springboot中使用RedisTemplate来操作redis,需要在我们的bean中注入这个对象,代码如下:

@Autowired

private RedisTemplate<String, String> redisTemplate;

// 用下面5个对象来操作对应的类型

this.redisTemplate.opsForValue(); //提供了操作string类型的所有方法

this.redisTemplate.opsForList(); // 提供了操作list类型的所有方法

this.redisTemplate.opsForSet(); //提供了操作set的所有方法

this.redisTemplate.opsForHash(); //提供了操作hash表的所有方法

this.redisTemplate.opsForZSet(); //提供了操作zset的所有方法

4)RedisTemplate示例代码

import org.springframework.beans.factory.annotation.Autowired;

import org.springframework.dao.DataAccessException;

import org.springframework.data.redis.connection.RedisConnection;

import org.springframework.data.redis.core.RedisCallback;

import org.springframework.data.redis.core.RedisTemplate;

import org.springframework.http.MediaType;

import org.springframework.web.bind.annotation.RequestMapping;

import org.springframework.web.bind.annotation.RestController;

import java.util.HashMap;

import java.util.List;

import java.util.Map;

import java.util.Set;

@RestController

@RequestMapping("/redis")

public class RedisController {

@Autowired

private RedisTemplate<String, String> redisTemplate;

/**

* string测试

*

* @return

*/

@RequestMapping("/stringTest")

public String stringTest() {

this.redisTemplate.delete("name");

this.redisTemplate.opsForValue().set("name", "路人");

String name = this.redisTemplate.opsForValue().get("name");

return name;

}

/**

* list测试

*

* @return

*/

@RequestMapping("/listTest")

public List<String> listTest() {

this.redisTemplate.delete("names");

this.redisTemplate.opsForList().rightPushAll("names", "刘德华", "张学友","郭富城", "黎明");

List<String> courses = this.redisTemplate.opsForList().range("names", 0,

-1);

return courses;

}

/**

* set类型测试

*

* @return

*/

@RequestMapping("setTest")

public Set<String> setTest() {

this.redisTemplate.delete("courses");

this.redisTemplate.opsForSet().add("courses", "java", "spring",

"springboot");

Set<String> courses = this.redisTemplate.opsForSet().members("courses");

return courses;

}

/**

* hash表测试

*

* @return

*/

@RequestMapping("hashTest")

public Map<Object, Object> hashTest() {

this.redisTemplate.delete("userMap");

Map<String, String> map = new HashMap<>();

map.put("name", "路人");

map.put("age", "30");

this.redisTemplate.opsForHash().putAll("userMap", map);

Map<Object, Object> userMap =

this.redisTemplate.opsForHash().entries("userMap");

return userMap;

}

/**

* zset测试

*

* @return

*/

@RequestMapping("zsetTest")

public Set<String> zsetTest() {

this.redisTemplate.delete("languages");

this.redisTemplate.opsForZSet().add("languages", "java", 100d);

this.redisTemplate.opsForZSet().add("languages", "c", 95d);

this.redisTemplate.opsForZSet().add("languages", "php", 70);

Set<String> languages =

this.redisTemplate.opsForZSet().range("languages", 0, -1);

return languages;

}

/**

* 查看redis机器信息

*
* @return

*/

@RequestMapping(value = "/info", produces = MediaType.TEXT_PLAIN_VALUE)

public String info() {

Object obj = this.redisTemplate.execute(new RedisCallback<Object>() {

@Override

public Object doInRedis(RedisConnection connection) throws

DataAccessException {

return connection.execute("info");

}

});

return obj.toString();

}

}