Java基本程序设计结构(下)

129 阅读1分钟

一、流程控制

1. 条件语句

1.1 if句式: if (condition) statement

        // if代码句式:
        if(money > 0 ){
            System.out.println("吃饭");
        }

1.2 if/else句式: if (condition) statement1 else statement2

        // if/else代码句式:
        if (money >= 20) {
            System.out.println("吃顿好的");
        } else {
            System.out.println("随便吃点");
        }

1.3 if/else if(多分支)句式:

        // if/else if代码句式:
        if (money >= 0 && money <= 15) {
            System.out.println("吃面");
        } else if (money >= 16 && money <= 25) {
            System.out.println("吃冒菜");
        } else if (money >= 26 && money <= 35) {
            System.out.println("吃套饭");
        } else if (money >= 100) {
            System.out.println("吃火锅");
        } else {
            System.out.println("究竟吃啥好呢");
        }



2. 循环语句

2.1 while句式: while (condition) statement

        // while句式:
        while (money >= 0 && money <= 100) {
            System.out.println("吃什么?");
            money++;
        }

2.2 do/while句式:do statement while (condition)

        // do/while句式:
        do {
            System.out.println("今天吃大餐");
            day++;
        } while (day >= 1 && day < 365);



3. 确定循环

3.1 for句式: for(init; condition; update) statement

        // for句式:
        for (int day = 1; day < 365; day++) {
            System.out.println("今天吃大餐");
        }



4. 多重选择

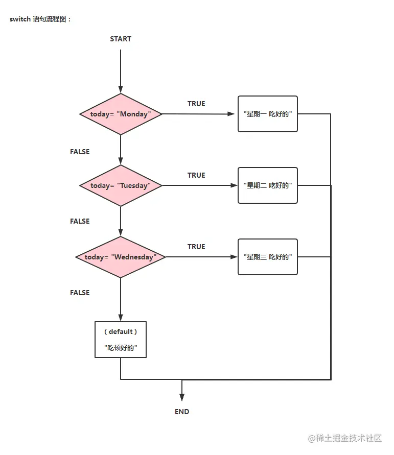
4.1 switch句式:

        // switch句式:
        switch (today) {
            case "Monday":
                System.out.println("星期一 吃好的");
                break;
            case "Tuesday":
                System.out.println("星期二 吃好的");
                break;
            case "Wednesday":
                System.out.println("星期三 吃好的");
                break;
            // case ...
            default:
                System.out.println("吃顿好的");
                break;
        }



5. 流程中断

  • 关键字break: 退出循环。
  • 关键字continue: 跳过本次循环。

二、大数

  • 如果基本的整数和浮点数精度不能够满足需求时,可以使用java.math包中的BigInteger类以及BigDecimal类

  • 这两个类可以处理包含任意长度数字序列的数值。

        // 大整数
        BigInteger bigInteger = BigInteger.valueOf(999999999);
        // 大浮点数
        BigDecimal bigDecimal = BigDecimal.valueOf(9.999999999999999999999999999);



三、数组

  • 数组是一种数据结构,用于存储相同类型值的序列。

  • 一维数组:

        // 声明数组:
        int[] array1;

        // 初始化数组 固定存储100个整数:
        int[] array2 = new int[100];

        // 数组赋值(两种写法):
        int[] array3 = new int[]{1, 2, 3};
        int[] array4 = {1, 2, 3};

        // 访问数组(两种方式):
        // 1. 下标获取元素
        for (int i = 0; i < array3.length; i++) {
            int element = array3[i];
            System.out.println(element);
        }

        // 2. foreach遍历元素
        for (int element : array4) {
            System.out.println(element);
        }
  • 多维数组:
        // 将使用多个下标访问数组元素
        // 它适用于表格或更复杂的排列形式
        // 声明:
        int[][] array = {{1, 2}, {3, 4}};
        
        // 获取数组中所有元素:
        for (int[] elements : array) {
            for (int element : elements) {
                System.out.println(element);
            }
        }

四、结束语

“-------怕什么真理无穷,进一寸有一寸的欢喜。”

微信公众号搜索:饺子泡牛奶