在二叉树中增加一行

141 阅读1分钟

携手创作,共同成长!这是我参与「掘金日新计划 · 8 月更文挑战」的第11天,点击查看活动详情

623. 在二叉树中增加一行 - 力扣(LeetCode)

给定一个二叉树的根 root 和两个整数 val 和 depth ,在给定的深度 depth 处添加一个值为 val 的节点行。

注意,根节点 root 位于深度 1 。

加法规则如下:

  • 给定整数 depth,对于深度为 depth - 1 的每个非空树节点 cur ,创建两个值为 val 的树节点作为 cur 的左子树根和右子树根。
  • cur 原来的左子树应该是新的左子树根的左子树。
  • cur 原来的右子树应该是新的右子树根的右子树。
  • 如果 depth == 1 意味着 depth - 1 根本没有深度,那么创建一个树节点,值 val 作为整个原始树的新根,而原始树就是新根的左子树。

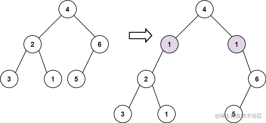
示例 1:


输入: root = [4,2,6,3,1,5], val = 1, depth = 2
输出: [4,1,1,2,null,null,6,3,1,5]

示例 2:


输入: root = [4,2,null,3,1], val = 1, depth = 3
输出: [4,2,null,1,1,3,null,null,1]

提示:

  • 节点数在 [1, 10^4] 范围内
  • 树的深度在 [1, 10^4]范围内
  • -100 <= Node.val <= 100
  • -10^5 <= val <= 10^5
  • 1 <= depth <= the depth of tree + 1

解题

/**
 * Definition for a binary tree node.
 * function TreeNode(val, left, right) {
 *     this.val = (val===undefined ? 0 : val)
 *     this.left = (left===undefined ? null : left)
 *     this.right = (right===undefined ? null : right)
 * }
 */
/**
 * @param {TreeNode} root
 * @param {number} val
 * @param {number} depth
 * @return {TreeNode}
 */
var addOneRow = function (root, val, depth) {
  if (depth === 1) {
    return new TreeNode(val, root);
  }
  const fn = (node, level) => {
    const { left, right } = node;
    if (level < depth) {
      left && fn(left, level + 1);
      right && fn(right, level + 1);
    } else {
      node.left = new TreeNode(val, left);
      node.right = new TreeNode(val, null, right);
    }
  };
  fn(root, 2)
  return root
};