日新刷题 - 160. 相交链表

85 阅读2分钟

携手创作,共同成长!这是我参与「掘金日新计划 · 8 月更文挑战」的第5天,点击查看活动详情

一、题目描述:

160. 相交链表 - 力扣(LeetCode) (leetcode-cn.com)

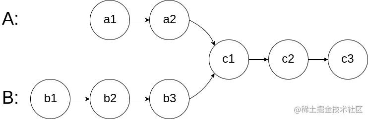
给你两个单链表的头节点 headAheadB ,请你找出并返回两个单链表相交的起始节点。如果两个链表不存在相交节点,返回 null

图示两个链表在节点 c1 开始相交:

image.png 题目数据 保证 整个链式结构中不存在环。

注意,函数返回结果后,链表必须 保持其原始结构

自定义评测:

评测系统 的输入如下(你设计的程序 不适用 此输入):

  • intersectVal - 相交的起始节点的值。如果不存在相交节点,这一值为 0
  • listA - 第一个链表
  • listB - 第二个链表
  • skipA - 在 listA 中(从头节点开始)跳到交叉节点的节点数
  • skipB - 在 listB 中(从头节点开始)跳到交叉节点的节点数

评测系统将根据这些输入创建链式数据结构,并将两个头节点 headA 和 headB 传递给你的程序。如果程序能够正确返回相交节点,那么你的解决方案将被 视作正确答案

 

示例 1:

image.png

输入:intersectVal = 8, listA = [4,1,8,4,5], listB = [5,6,1,8,4,5], skipA = 2, skipB = 3
输出:Intersected at '8'
解释:相交节点的值为 8 (注意,如果两个链表相交则不能为 0)。
从各自的表头开始算起,链表 A[4,1,8,4,5],链表 B[5,6,1,8,4,5]。
在 A 中,相交节点前有 2 个节点;在 B 中,相交节点前有 3 个节点。

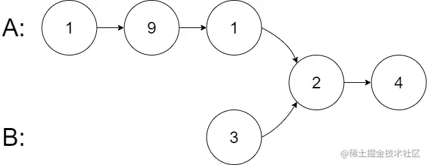
示例 2:

image.png

输入:intersectVal = 2, listA = [1,9,1,2,4], listB = [3,2,4], skipA = 3, skipB = 1
输出:Intersected at '2'
解释:相交节点的值为 2 (注意,如果两个链表相交则不能为 0)。
从各自的表头开始算起,链表 A[1,9,1,2,4],链表 B[3,2,4]。
在 A 中,相交节点前有 3 个节点;在 B 中,相交节点前有 1 个节点。

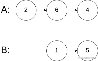
示例 3:

image.png

输入:intersectVal = 0, listA = [2,6,4], listB = [1,5], skipA = 3, skipB = 2
输出:null
解释:从各自的表头开始算起,链表 A[2,6,4],链表 B[1,5]。
由于这两个链表不相交,所以 intersectVal 必须为 0,而 skipA 和 skipB 可以是任意值。
这两个链表不相交,因此返回 null 。

提示:

  • listA 中节点数目为 m
  • listB 中节点数目为 n
  • 1 <= m, n <= 3 * 104
  • 1 <= Node.val <= 105
  • 0 <= skipA <= m
  • 0 <= skipB <= n
  • 如果 listA 和 listB 没有交点,intersectVal 为 0
  • 如果 listA 和 listB 有交点,intersectVal == listA[skipA] == listB[skipB]   进阶: 你能否设计一个时间复杂度 O(m + n) 、仅用 O(1) 内存的解决方案?

二、思路分析:

给你两个单链表的头节点 headA 和 headB ,请你找出并返回两个单链表相交的起始节点。如果两个链表没有交点,返回 null 。

看着实例给的那张图,我想到了一个绝妙的好主意(并不是)。

如果两个链表长度一致,那么直到设立两个指针分别从链表A与链表B头节点处开始同时向后遍历 ,不就可以轻松检查节点是否相交了吗?

于是带着这个思路实现了以下的代码

三、AC 代码:

class Solution
{
public:
    int ListLength(ListNode *L)
    {
        int length = 0;
        while (L)
        {
            length++;
            L = L->next;
        }
        return length;
    }
    ListNode *getIntersectionNode(ListNode *headA, ListNode *headB)
    {
        if (headA == headB)
        {
            return headA;
        }

        // 较长链表上移动的指针
        ListNode *p;
        // 较短链表上移动的指针
        ListNode *q;
        int length_A = ListLength(headA);
        int length_B = ListLength(headB);
        int length = 0;
        if (length_A > length_B)
        {
            p = headA;
            q = headB;
            length = length_B;
        }
        else
        {
            p = headB;
            q = headA;
            length = length_A;
        }
        for (int i = 0; i < abs(length_A - length_B); i++)
        {
            p = p->next;
        }

        for (int i = 0; i < length; i++)
        {
            if (p == q)
            {
                return p;
            }
            p = p->next;
            q = q->next;
        }
        return nullptr;
    }
};