深入浅出 PyTorch 系列 — 激活函数(上)

1,904 阅读11分钟

携手创作,共同成长!这是我参与「掘金日新计划 · 8 月更文挑战」的第11天,点击查看活动详情

激活函数

就是将输入映射为特定输出,完成一个非线性的变换。

我们现在从细胞来说 树突接收信息,触发区整合电位,产生神经冲动,末端的突触向下一个神经元传递。并不是上一个细胞传递信息完整传递,细胞这样做原因,人脑的细胞是需要信号来激活来产生活动,

之前自己对于激活函数研究并不深入,只是知道激活函数为神经网络增加了非线性。那么当问到这些激活函数之间差别以及如何选择激活函数时,自己也不知道应该如何回答,那么激活函数作为神经网络的一部分,对于不同任务或者网络结构,可能不同激活函数起的作用可能也不相同,因为人脑细胞是一种稀疏激活模式。

import os
import json
import math
import numpy as np

## Imports for plotting
import matplotlib.pyplot as plt
%matplotlib inline
from IPython.display import set_matplotlib_formats
set_matplotlib_formats('svg', 'pdf') # For export
import seaborn as sns
sns.set()

## Progress bar
from tqdm.notebook import tqdm

## PyTorch
import torch
import torch.nn as nn
import torch.nn.functional as F
import torch.utils.data as data
import torch.optim as optim
# 用于存放数据集
DATASET_PATH = "data"
# 用于存放预训练模型
CHECKPOINT_PATH = "saved_models/tut3"

#设置随机种子
def set_seed(seed):
    #设置 numpy 和 torch 的随机种子
    np.random.seed(seed)
    torch.manual_seed(seed)
    #设置 GPU 操作随机种子,需要单独设置
    if torch.cuda.is_available():
        torch.cuda.manual_seed(seed)
        torch.cuda.manual_seed_all(seed)
set_seed(42)

为什么使用相同的网络结构,跑出来的效果完全不同,用的学习率,迭代次数,batch size 都是一样?固定随机数种子是非常重要的。但是如果你使用的是PyTorch等框架,还要看一下框架的种子是否固定了。还有,如果你用了cuda,别忘了cuda的随机数种子。这里还需要用到torch.backends.cudnn.deterministic.

torch.backends.cudnn.deterministic = True
torch.backends.cudnn.benchmark = False

# 遍历出可以使用的设备(GPU 或者 CPU)
device = torch.device("cpu") if not torch.cuda.is_available() else torch.device("cuda:0")
print("Using device", device)

torch.backends.cudnn.deterministic是啥?顾名思义,将这个 flag 置为True的话,每次返回的卷积算法将是确定的,即默认算法。如果配合上设置 Torch 的随机种子为固定值的话,应该可以保证每次运行网络的时候相同输入的输出是固定的,代码大致这样

定义损失函数

可以通过实现一些常见的激活函数,来深入理解激活函数。还是那句话只有自己实现动手实现一篇,才能理解真正理解。这些常用激活函数都可以在 torch.nn 包中找到。可以参见官方文档或者借助源码来查看 Pytorch 中是如何实现的。

class ActivationFunction(nn.Module):

    def __init__(self):
        super().__init__()
        self.name = self.__class__.__name__
        self.config = {"name": self.name}

为了对比这些激活函数的差异性,这里创建了一个基类ActivationFunction,让定义激活函数类都继承于这个基类。 ActivationFunction 继承了 nn.Module 类,就很容易集成到网络里,类中包含 config 为字典类型属性用于存储参数。

接下来我们去实现两个相对比较古老的激活函数 sigmoid 和 tanh。在 PyTorch 也提供这两个激活函数实现,可以 torch.sigmoidtorch.tanh 或者 nn.Sigmoidnn.Tanh 找到这两个函数的实现的方法和类

在 Pytorch 中,函数的函数名都是以小写单词开头,而对于模块都是一个大写字母开头

激活函数一些性质

首先激活函数必须是一个非线性的函数

  • 非线性
  • 连续可导的
  • 定义域是实数范围
  • 单调性,激活函数只是增加非线性,不要改变状态所以应该是单调递增的 S 型曲线

Sigmoid

σ(x)=11+ex\sigma(x) = \frac{1}{1 + e^{-x}}

在下面图左侧图中,给出了 Sigmoid 函数形状和导数函数形状,Sigmoid 函数是一个典型的非线性函数把输入映射到 0 到 1 之间。对于 sigmoid 导数也容易计算

σ=(11+ex)=(11+ex)2(ex)=ex(1+ex)2=11+exex1+ex=σ(1σ)\sigma^{\prime} = (\frac{1}{1 + e^{-x}})^{\prime}\\ = -(\frac{1}{1 + e^{-x}})^2(-e^{-x})\\ = \frac{e^{-x}}{(1 + e^{-x})^2}\\ = \frac{1}{1 + e^{-x}}\frac{e^{-x}}{1 + e^{-x}}\\ = \sigma(1 - \sigma)

对于 sigma 导数是类似正态分布图像,最大值为 0.25 ,首先当线性单元输出非常大或者非常小的值,sigmoid 函数的导数是等于 0 这就是有饱和区域,这种在正负无穷梯度为 0 函数被称为饱和函数。因为 sigmoid 的梯度最大值为 0.25,那么也就是会说明在反向传播时,每层梯度会被动缩小 1/4,所以对于深层网络来说,如果采用 sigmoid 这个梯度函数,那么前几层网络梯度就几乎为 0,得不到更新。

除此之外,因为 Sigmoid 输出为 0 到 1,是始终大于 0,好那么我们就把这种函数称为非零均值函数

好那么我们现在知道了 Sigmoid 函数具有以下性质

  • 非零均值函数: 容易导致难于收敛
  • 饱和函数: 梯度消失

那么具体这两性质对 Sigmoid 作为激活函数有什么影响呢?

非零均值函数

Ly=Loσ(1σ)\frac{\partial L}{\partial y} = \frac{\partial L}{\partial o} \sigma(1-\sigma)
Lw1=Loσ(1σ)x1\frac{\partial L}{\partial w_1} = \frac{\partial L}{\partial o} \sigma(1-\sigma)x_1
Lw1=Loσ(1σ)x2\frac{\partial L}{\partial w_1} = \frac{\partial L}{\partial o} \sigma(1-\sigma)x_2

这里 σ(1σ)x2 \sigma(1-\sigma)x_2σ(1σ)x1 \sigma(1-\sigma)x_1 始终都是大于 0,那么也就是表示 L/w1\partial L / \partial w_1 正负完全取决于 L/o\partial L/ \partial o 的导数,这样就会使神经网络更慢收敛

class Sigmoid(ActivationFunction):

    def forward(self, x):
        return 1 / (1 + torch.exp(-x))

Sigmoid 存在问题就是只有输入在一个范围内,才有梯度

Tanh

为了解决 sigmoid 函数存在的问题,我们采用双曲正切函数

σ(x)=exexex+ex\sigma(x) = \frac{e^x - e^{-x}}{e^x + e^{-x}}
  • 零均值函数:首先双曲正切函数输出范围为 -1 到 1 所以双曲正切函数是零均值函数
  • 饱和函数: 因为双曲正切函数也是一个饱和函数,所以通常存在梯度消失问题
class Tanh(ActivationFunction):

    def forward(self, x):
        x_exp, neg_x_exp = torch.exp(x), torch.exp(-x)
        return (x_exp - neg_x_exp) / (x_exp + neg_x_exp)

activation_001.png

其实以上 Sigmoid 和 Tanh 都存在问题,就是容易发生梯度消失和梯度爆炸,特别对于深层网络。

这 Sigmoid 和 Tanh 输入范围分别为实数范围,而输出都分别是 (0,1) 和(-1,1) 范围,这个也是激活函数的性质,需要输出在一定范围内

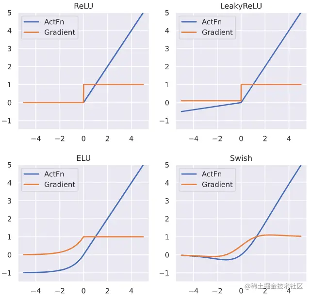
ReLU

其实到今天虽然接触 ReLU 激活函数很长时间,关于 ReLU 的全称还是不知道,所以特意去查了一下 Rectified Linear Unit(ReLU), 那么翻译过来就是修正线性单元,从字面上无法对其理解,看形状这个函数比较简单

那么我们通过一个特点来重新描述一个 ReLU

  • 非零均值函数: 所以每次可以通过 BN 也就是可以使用输出归一化来解决
  • 计算简单: 因为计算十分简单,可以帮助快速收敛
  • 单侧抑制: 当输入值小于 0 ,神经网元处于抑制状态
  • 宽广的激活范围:
  • 稀疏性: 整流器是个真正优点就是可以输出一个真正的 0 值,首先如果输入发生很小改动,那么也就只有少部分神经元需要改动,而不是整个网络结构发生改变,这种懂爱开启和关闭网络神经元会支持不同维度输入和中间维度特征学习。虽然输出是稀疏,按时输出特征仍然保持原有的表达能力。这就是信息低耦合度。表达维度可以发生改变,一般是线性可分或者弱线性可分的
  • 无上界: 那么如果对于循环网络可能造成梯度累积,从而出现梯度爆炸现象,这么也就是

ReLU激活函数的提出 就是为了解决梯度消失问题,ReLU 的梯度只可以取两个值,分别是 0 或 1,当输入小于 0 时梯度为0;当输入大于 0 时,梯度为 1,如果梯度为 1 这保持梯度保持不变。

我们知道一个激活函数需要满足可导,虽然 ReLU 作为激活函数在 0 并不可导,不过可以为在 0 处导数为 0 这个并不是一个大问题,而且大多数情况下都工作的很好,小于 0 数值

相比于传统的神经网络激活函数,例如 sigmoid 和 tanh 等,线性整流函数有着以下几方面的优势:

  • 仿生物学原理: 相关大脑方面的研究表明生物神经元的信息编码通常是比较分散及稀疏的。通常情况下,大脑中在同一时间大概只有 1%-4% 的神经元处于活跃状态。使用线性修正以及正则化(regularization) 可以对机器神经网络中神经元的活跃度(即输出为正值)进行调试;相比之下,逻辑函数在输入为 0 时到达 12\frac{1}{2},即已经是半饱和的稳定状态,不够符合实际生物学对模拟神经网络的期望。不过需要指出的是,一般情况下,在一个使用修正线性单元(即线性整流)的神经网络中大概有50%的神经元处于激活态。

  • 更加有效率的梯度下降以及反向传播:避免了梯度爆炸和梯度消失问题

  • 简化计算过程:没有了其他复杂激活函数中诸如指数函数的影响;同时活跃度的分散性使得神经网络整体计算成本下降

另一个允许训练更深层次网络的流行激活函数是整流线性单元(ReLU)。尽管它是一个简单的片状线性函数,但与sigmoid和tanh相比,ReLU有一个主要的好处:在很大的数值范围内有一个强大、稳定的梯度。基于这个想法,ReLU的许多变体已经被提出,我们将实现以下三种。LeakyReLU, ELU, 和Swish。LeakyReLU用一个较小的斜率取代了负数部分的零设置,以使梯度也能在输入的这一部分流动。同样地,ELU用一个指数衰减来代替负数部分。第三个,也是最近提出的激活函数是Swish,它实际上是一个大型实验的结果,目的是寻找 "最佳 "激活函数。与其他激活函数相比,Swish既平滑又非单调(即包含梯度的符号变化)。这已被证明可以防止像标准ReLU激活中的死神经元,特别是对于深度网络。如果有兴趣,可以在这篇论文[1]中找到关于Swish的好处的更详细的讨论。

让我们来实现下面的四个激活函数。

class ReLU(ActivationFunction):

    def forward(self, x):
        return x * (x > 0).float()

LeakyReLU

class LeakyReLU(ActivationFunction):

    def __init__(self, alpha=0.1):
        super().__init__()
        self.config["alpha"] = alpha

    def forward(self, x):
        return torch.where(x > 0, x, self.config["alpha"] * x)

ELU(Exponential Linear Unit)

x  if  x0α(ex1)  if  x<0x \; if \; x \ge 0\\ \alpha(e^x - 1) \; if \; x < 0
  • 从公式上来看融合了 Sigmoid 和 ReLU,在坐标轴左侧具有软饱和性,而右侧无饱和性,右侧和 ReLU 保持了一致
  • 通常在 ELU 中的超参数 α\alpha 取值为 1
  • 满足分布为均值为 0
  • 激活函数是单侧饱和
class ELU(ActivationFunction):

    def forward(self, x):
        return torch.where(x > 0, x, torch.exp(x)-1)

Swish

这个激活函数是由 google 提出的,

σ(x)=x1+ex\sigma(x) = \frac{x}{1 + e^{-x}}

和 ReLU 一样,Swish 是有下界无上届激活函数,有平滑非线性的特性

class Swish(ActivationFunction):

    def forward(self, x):
        return x * torch.sigmoid(x)

activation_002.png

为了便于随后调用这些激活函数,我们来定义字典来将这些类进行注册 TODO: 随后用注解形式来进行注册

act_fn_by_name = {
    "sigmoid": Sigmoid,
    "tanh": Tanh,
    "relu": ReLU,
    "leakyrelu": LeakyReLU,
    "elu": ELU,
    "swish": Swish
}

可视化激活函数

为了更加直观了解激活函数,接下里绘制出激活函数的曲线以及激活函数对应梯度的曲线形状,这样也便于我们更好了解激活函数实际作用。

def get_grads(act_fn, x):
    """
    
    计算指定位置激活函数的梯度

    Inputs:
        act_fn - 实现了 forward 方法的 "ActivationFunction" 类的对象
        x - 1维 tensor.
    Output:
        计算激活函数在 x 的梯度
    """
    #
    x = x.clone().requires_grad_() # Mark the input as tensor for which we want to store gradients
    out = act_fn(x)
    out.sum().backward() # Summing results in an equal gradient flow to each element in x
    return x.grad # Accessing the gradients of x by "x.grad"

def vis_act_fn(act_fn, ax, x):
    # Run activation function
    y = act_fn(x)
    y_grads = get_grads(act_fn, x)
    # Push x, y and gradients back to cpu for plotting
    x, y, y_grads = x.cpu().numpy(), y.cpu().numpy(), y_grads.cpu().numpy()
    ## Plotting
    ax.plot(x, y, linewidth=2, label="ActFn")
    ax.plot(x, y_grads, linewidth=2, label="Gradient")
    ax.set_title(act_fn.name)
    ax.legend()
    ax.set_ylim(-1.5, x.max())

# 遍历所有激活函数
act_fns = [act_fn() for act_fn in act_fn_by_name.values()]
# 在 -5 到 5 均匀采用 1000 点用于可视化激活函数
x = torch.linspace(-5, 5, 1000) 
## 绘制
# 绘制 2 列,也就是一行放置 2 个激活函数图像
rows = math.ceil(len(act_fns)/2.0)
# 创建图像网格
fig, ax = plt.subplots(rows, 2, figsize=(8, rows*4))
for i, act_fn in enumerate(act_fns):
    vis_act_fn(act_fn, ax[divmod(i,2)], x)
    
# 
fig.subplots_adjust(hspace=0.3)
plt.show()