4.Elasticsearch从入门到放弃-相关性算法

1,211 阅读14分钟

携手创作,共同成长!这是我参与「掘金日新计划 · 8 月更文挑战」的第2天,点击查看活动详情

文档摘自《Elasticsearch搜索引擎构建入门与实战》

原文链接

10.工具使用:Elasticsearch从入门到放弃(2)-相关性算法 (qq.com)

参考:

https://blog.csdn.net/qq_29860591/article/details/109574595
https://blog.csdn.net/pbrlovejava/article/details/122290078

1.搜索排序

搜索排序是搜索引擎的核心工作之一,搜索排序的好坏影响着搜索质量的好坏。诸如ES、Solr等开源的搜索引擎,它们在默认情况下使用的都是相关性排序。那么什么是相关性呢?

相关性指的是搜索结果和查询条件的相关程度,它是搜索质量的重要指标之一。就ES来说,搜索结果中的每个结果都有一个score字段,ES默认按照相关性算法计算每个命中的文档的score字段值,命中的文档按照该字段的值进行降序排列。

除了使用相关性算法,ES还开放了用户可以重度参与的打分功能。可以使用Function Score对文档完成基于规则权重或者衰减函数的打分。对于用户来说,最自由的打分方式莫过于Script Score方式,因为它支持用户直接编写脚本代码对文档进行打分。

2.相关性排序

对于用户搜索,结果中的文档和查询条件相关性越高,排序越靠前。如果查询使用的是文本搜索,ES默认使用BM25算法进行相关性计算,用户也可以选择其他相关性算法。本节先介绍ES的相关性排序涉及的算法,然后介绍分布式场景对排序因子的影响。

3.2.1 TF-IDF模型

TF-IDF(Term Frequency-Inverse Document Frequency,词频-逆文档频率) 是文本挖掘和信息检索工作中数据处理的常用加权技术之一,主要作用是评估词语在文档中的重要程度。

TF-IDF由TF和IDF两部分组成。TF指的是某个词语在文本中的词频,词频越大,TF值就越大。 TF的计算公式为:

图片

其中,i为某个词语,f为该词语在文档中的词频。TF的意义在于,如果一个词在文档中多次出现,说明该词对文档比较重要,甚至文档的主题很可能和该词相关。

IDF指文档的重要程度与包含某个词的文档个数是负相关的,这也是其全称里有个Inverse的原因。IDF的计算公式为:

图片

其中,i为某个词语,N为文档的总数量,n为包含某词语的文档数量。IDF的意义是词语重要程度的度量。如果一个词只在一个文档中出现,则该词是这个文档独特性的一种体现;反之,如果一个词在很多个文档中出现,则该词很可能是一个通用词语,它对文档之间区分度的贡献不高。

有了TF和IDF的定义,最终TF-IDF值的定义为:TF-IDF=TF·IDF

TF-IDF为什么不只依赖于词频,还要依赖于反向文档频率呢?

文档长度影响:词频越高不代表越相关,比如A文档只有10个词并命中了1个关键字,而B文档有100个词并命中了5个关键字,此时A文档词频是更高的,但是不一定A文档比B文档更相关常见词影响:如果只看文档的局部词频,那么常见词的影响会很大,并且搜索出来的结果也并不一定相关所以综合文档长度影响和常见词影响,不只需要考虑文档局部词频,还需要综合考虑该关键字在全部文档中出现次数,以获取更相关的评分。

3.2.2 向量空间模型

在文本挖掘领域,一般将文本分词后进行向量化处理。每个词作为一个维度,将词的TF-IDF值作为该维度的值。假设某个文档由n个词语组成,每个词语的TF-IDF用S表示,则向量可以表示为一个一维数组:

V=[S1,S2,…,Sn]

假设查询词为“金都酒店”,查询词中“金都”不是很常见,其TF-IDF值假设为8,几乎每个文档中都包含“酒店”,因此假设“酒店”的TF-IDF值为6。所以,查询词的向量化表示为[8,6],在二维直角坐标系中画一条直线,起点为[0,0],终点为[8,6],如图6.1所示。

图片

鉴于查询词只包含“金都”和“酒店”两个词,因此在后续的匹配过程中,只使用这两个维度和候选文档进行匹配。假设有如下三个文档:

·文档1为金都又金都酒店,因为其包含两个“金都”,所以“金都”的TF-IDF值可以更大一些,例如10,则该文档的向量化表示为[10,6]。

·文档2为文雅酒店,则其向量化表示为[0,6]。

·文档3为金都客栈,则其向量化表示为[8,0]。

在二维空间上根据查询词和候选文档进行绘图,如图6.2所示。

图片

对于以上文档向量,如果其和查询词向量的夹角比较小,则两个向量最接近;反之,则文档和查询词向量相似度降低。

3.2.3 BM25算法简介

在 ES5.0 版本之前其实一直都是使用TF-IDF来计算相似度评分,但由于下面的这些缺陷,它后来转而使用BM25:

未考虑文档长度影响:1000个词的文档含有10个关键词,比10个词的文档含有1个词,相似度并不一定更高,因为文档越长所含的关键字也会更多****未考虑词频饱和度:词频饱和度指的是当词频超过一定数量之后,它对相关度的影响将趋于饱和。换句话说,词频10次的相关度比词频1次的分值要大很多,但100次与10次之间差距就不会那么明显了

基于上述两个原因,ES 5.0之后采用了BM25算法作为默认的相似度评分算法,BM25算法实际上也借鉴了TF-IDF算法的思想,随着词频的变大和逆向文档频率的变小,相似度会变大,但是不同之处在于考虑了文档长度影响以及词频饱和度,BM25的计算式基于贝叶斯定律推导,是一种概率评分模型,实际上可描述为 IDF * TF

图片

BM25词频饱和度控制在BM25算法中,控制词频饱和度的参数是k1,默认值为1.2,参数k1的值越小词频对相关度的影响就会越快趋于饱和,而值越大词频饱和度变化越慢。

BM25长度归一化控制长度归一化控制也就是文档长度控制,引入了b作为控制因子,使用当前文档长度及平均文档长度的比值来归一化文档长度的影响,当当前文档长度大于平均文档长度时则整体得分会被惩罚。b=0则不开启长度归一化,b=1则完全开启长度归一化, b默认=0.75。

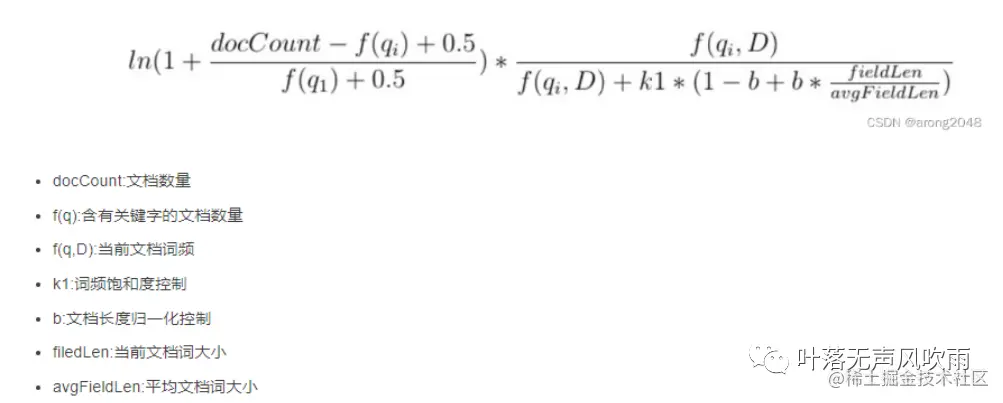
当前的商用搜索引擎一般都使用BM25算法对搜索结果进行排序,从6.X开始,ES默认使用该算法对搜索的文档进行排序。与向量空间模型不同,BM25算法使用的是概率模型,它属于bag-of-words模型。bag-of-words模型只考虑文档中单个词的词频,不考虑句子结构或者词与词之间的顺序等关系。该算法的推导部分本节不进行讨论,下面直接给出BM25算法的打分公式:

image.png

搜索时,ES对搜索文本进行分词,qi代表每一个被切分的词语,文档的最终得分是文档与这些词语的匹配值之和。

在公式中可以看到熟悉的IDF,但是这里的IDF值的计算方法和3.2.1节中介绍的有些区别,其计算公式为:

image.png

一般来说,文档如果足够短,则其分值应该更高。例如,在酒店的名称和描述中搜索“金都酒店”,如果酒店A的名称中包含“金都”和“酒店”这两个词,而酒店B的简介中包含这两个词,则酒店A的分值肯定比酒店B要高一些。基于此,在上面的公式中使用了文档长度除以文档的平均长度,即fieldLen/avgFieldLen。当然,这里的两个长度指的是文档被分词以后词语的个数。可以看到,这个比值放在公式的分母位置,这也彰显出该比值和总分是负相关的。即如果文档长度大于平均长度,则总分降低;反之,如果文档长度小于平均长度,则总分升高。

为了控制文档长度对总分的影响,在文档长度除以文档的平均长度这个比值前面添加了一个参数b。如果该值较大,则当前文档长度对其总分的影响加大;如果该值较小,则当前文档长度对其总分的影响减弱;如果b为0,则直接忽略文档长度对其总分的影响。

我们知道,词语在文档中出现的频率越高,文档与该词语相关的可能性就越大。因此,在上面的公式中,增加了f(qi,D),表示提升词语在文档中的频率。如果一个词语属于高频词并且在多个文档中出现,那么它在当前的文档中出现的频率也很大,甚至抵消了IDF的值,这时候如果不加以限制,这种词会极大地提升文档的相关性。

因此在上面的公式中使用k1对上述情况加以限制,让过高的TF值不产生过大的影响。如图6.3所示为TF-IDF和BM25的TF对相关性的影响,该图来自ES的官方博客。从图6.3中可以看出,BM25引入k1变量以后,词语在文档中的TF值在1~10时,其正向影响急速上升,但是当TF值大于10时,其影响接近于上限,而TF-IDF的文档相关性却随着TF值的不断增大而增大。

图片

说明:图6.3中的tf()of TF/IDF表示随着TF值的增大TF-IDF文档相关性的变化趋势;“tf()of BM25”表示随着TF值的增大BM25文档相关性的变化趋势。

为方便与后面的例子进行对比,下面对公式进行简单地变换:

image.png 在上述变换后的公式中,将(k1+1)单独提了出来,是为了后面介绍实例解析时方便对照explain结果中的boost和TF值。

3.2.4 BM25实例解析

下面结合实例对BM25算法的计算结果进行解析。为了简单起见,此处创建的酒店索引只包含一个字段title,定义索引的DSL如下:

image.png

首先写入下面的数据:

image.png 下面使用match搜索文档并开启explain功能:

image.png

为方便阐述,下面把explain的一部分打分结果进行折叠:

图片

通过以上结果可以看到,搜索“金都酒店”时,ES将查询词拆分成“金都”和“酒店”分别和索引中的文档进行匹配。其中,文档002和查询词匹配的得分最高,值为0.7797864,该值为“金都”和文档002的匹配分(分值为0.646255)与“酒店”和文档002的匹配分(分值为0.13353139)之和。很明显,“酒店”和文档002的匹配分偏低,主要是因为“酒店”的IDF值比较低(在多个文档出现,属于高频词)。

现在我们把焦点聚集在“金都”和文档002的匹配分上,其得分0.646255=boost·IDF·TF,这部分的explain描述如下:

image.png

上述结果中将匹配得分拆成了三部分,即boost、IDF和TF,score=boost·IDF·TF。下面分别对这三部分进行介绍。(总文档数3,包含金都的文档数2 --》IDF    TF 词频:见下图 当前文档词频2,文档长度5,平均文档长度5)

图片

3.2.5 BM25参数调节

通过前面的介绍可以知道,BM25算法的打分公式中有两个参数,即k1和b,分别用来控制TF和文档长度对打分的影响。 在ES中,这两个参数的默认值分别为1.2和0.75。一般情况下,使用这两个参数的默认值已经能够提供不错的搜索效果,因此不需要更改。不过ES还是开放了参数调节的功能,用户可以在索引的settings中调节这两个参数来影响打分。在settings中,可以自定义一个相似度算法,然后指定该算法使用BM25算法,并对参数k1和参数b进行设置。参数k1的值一般介于1.2~2.0,参数b的值一般为0.3~0.9。

以下示例更改了k1和b的值,将k1调整为2,将b调整为0.7。

图片

在不同的场景中,b和k1的取值是不同的,没有放之四海而皆准的方案,需要不断地调试并观察它们对于总体排序的影响,这样才能获得符合当前场景预期的排序结果的最佳方案。

3.2.6 分布式场景对排序的影响

在前面介绍IDF时,某个词语的IDF值的计算过程依赖于包含该词的文档个数。

在理想情况下,我们希望计算索引中所有包含该词的文档个数。但是在分布式场景中,这种想法是不现实的,因为在多分片模式下,出于性能方面的原因,不可能在短时间内将这些文档都找到。因此在ES内部,IDF的计算是在当前分片内进行的。

文档分布不均匀时,每个分片内的IDF值可能是不一样的。假设当前索引中有10个文档都包含“金都”,其中有8个文档存储在分片1上,剩下的2个文档存储在分片2上。在这种情况下,两个分片“金都”中的IDF值是不同的。

不过不用过于担心这种情况,因为在绝大多数生产环境中,文档的分布都是比较均匀的。可能索引刚刚建立后,文档比较少,有分布不均匀的情况,随着文档逐渐增多,数据分布将逐渐趋于均匀。

如果文档确实比较少,多个分片的IDF值不同,用户希望使用整个索引文档的IDF,则可以设置索引的主分片数为1,这样便可以解决该问题。但是需要切记,进行这种设置的前提是文档比较少。 以下示例中将索引的主分片数设置为了1。

image.png

3.2.7 使用其他相关性算法

通过前面的介绍我们知道,BM25为ES默认的相关性排序算法。ES还提供了其他相关性排序算法,如DFR算法、DFI算法、IB算法、LM算法和Dirichlet算法等。这些算法在搜索场景中不常用,因此其具体使用方法和参数含义这里不做介绍。下面仅通过一个示例简单说明如何使用DFR相关性算法,并设置其参数basic_model、after_effect和normalization的值。

图片