【论文解读】基于CNN的使用面向目标的浅层特征和极小anchor的红外弱小目标检测算法

183 阅读4分钟

本文已参加【新人创作礼】活动,一起开启掘金创作之路。

导读

对于检测小目标有一定的借鉴意义。

1. 介绍

红外小目标检测的几个困难点:

1、目标尺寸很小,没有结构,纹理,形状的信息。

2、背景很复杂,各种噪声很多,目标很容易淹没在背景中。

3、SCR很低,信号的对比度很低,信号强度相比于周围的区域,对比度不是很强。

4、目标移动不稳定。

5、噪声特性是未知的。

6、经常需要多帧检测,增加了计算量和复杂度。

本文的主要贡献:

1、全面分析了基于深度神经网络来做红外小目标检测的两个关键问题,小anchor和浅层特征。

2、将基于IoU的正负样本判定逻辑改为基于中心点的方法。

3、分析了浅层特征和深层特征的作用,浅层特征很关键,深层特征很有用。

4、这是首次使用CNN来进行红外弱小目标的检测。

2、方法

这个任务主要有2个问题需要考虑:

1、让CNN来检测红外弱小目标变的可行。

2、在低SCR的情况下,有好的检测结果。

2.1 点目标的形式

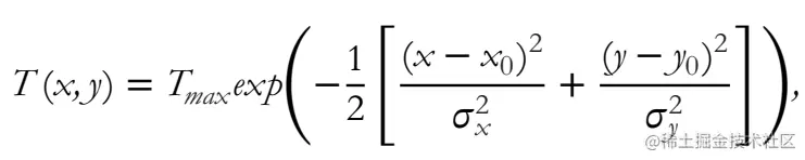
送到网络中的点目标的形式是非常重要的,我们没有选取点目标实际占据的像素作为点目标的表示,而是在中心点处选取了一个3x3的区域作为点目标的实例。理由有3:

1、单个像素的信息很少,很难和背景区分,3x3的区域可以比较好的和背景区分。

2、实际的目标并不是一个点,而是一个圆盘,可以通过高斯灰度方程来表示:

image.png

3、这个区域不是很大,包含的背景信息很少。

2.2 面向目标的浅层特征

2.2.1 小anchor的效果

anchors的设置如下:

图片

可以看到,使用小anchor的时候,每个位置只有1个anchor,这样大大减少了anchor的数量。

2.2.2 面向目标的浅层特征

对于深层和浅层特征,主要取决于卷积层的数量。以3x3的目标为例,下采样2次后,目标就会消失,因此,在Conv3上,目标会消失。我们将Conv1和Conv2作为浅层特征,其他的作为深层特征。类似的,如果是5x5的目标,conv1,conv2和conv3是浅层特征,其他的是深层特征。

因此,CNN是适合做点目标检测的:

1、小的anchor box用来保证点目标可以高效的送到网络中。

2、用浅层特征。

3、结合深度语义特征和浅层特征。

2.2.3 TSDF-based目标检测框架

框架包含3个部分,ResNet50特征提取器,特征融合模块,目标判定模块。这里,我们展示如何使用ResNet50的Conv1到Conv4来检测点目标。

1、特征提取器

使用ResNet50作为主干,Conv1和Conv2是浅层特征,Conv2之后的为深层特征,浅层特征直接送到目标判定模块中。

2、特征融合模块

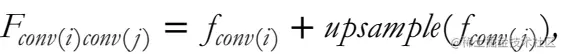
为了使用更高层的语义信息,需要将深层特征和浅层特征进行融合,以Conv3为例,先进行上采样,然后和Conv1进行合并,为了减少通道数,需要进行一个1x1的卷积。融合方程为:

image.png

3、目标判定模块

该模块中有4个输入,2个高分辨率浅层特征图,2个高分辨率浅层特征和深层特征融合的特征图。包括一个分类子网络和一个回归子网络,4个输入可以得到4个输出,然后选择得分最高的作为最后的检测结果。

整体结构如下图:

图片

3. 实验

这里用到了2个数据集,生成的红外数据集Data1和真实的红外数据集Data2,两个数据集的示例图如下:

图片

使用不同层的特征的对比,这里Pd是检测率,Pf是虚警率,Pmd是漏检率:

图片

图片

可以看到,浅层特征的是关键,同时深层特征也有很大的帮助,特别是是对虚警率和漏检率。

不同检测方法的对比:

图片