leetcode刷题记录-623. 在二叉树中增加一行

155 阅读3分钟

携手创作,共同成长!这是我参与「掘金日新计划 · 8 月更文挑战」的第5天,点击查看活动详情

前言

今天的题目为中等,但是题目整体比较简单,通过简单的BFS深度优先遍历就可以得出答案,也没有什么绕圈子的地方。

每日一题

今天的题目是 623. 在二叉树中增加一行,难度为中等

  • 给定一个二叉树的根 root 和两个整数 val 和 depth ,在给定的深度 depth 处添加一个值为 val 的节点行。

  • 注意,根节点 root 位于深度 1 。

  • 加法规则如下:

  • 给定整数 depth,对于深度为 depth - 1 的每个非空树节点 cur ,创建两个值为 val 的树节点作为 cur 的左子树根和右子树根。

  • cur 原来的左子树应该是新的左子树根的左子树。

  • cur 原来的右子树应该是新的右子树根的右子树。

  • 如果 depth == 1 意味着 depth - 1 根本没有深度,那么创建一个树节点,值 val 作为整个原始树的新根,而原始树就是新根的左子树。  

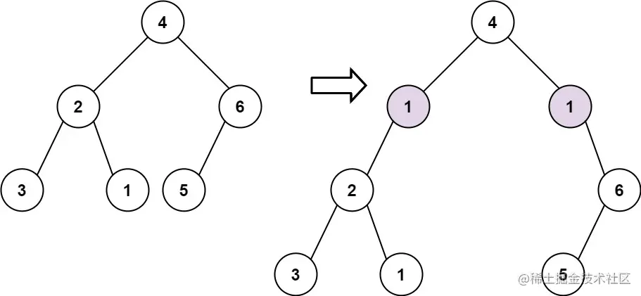
示例 1:

image.png

输入: root = [4,2,6,3,1,5], val = 1, depth = 2
输出: [4,1,1,2,null,null,6,3,1,5]

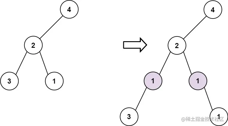
示例 2:

image.png

输入: root = [4,2,null,3,1], val = 1, depth = 3
输出:  [4,2,null,1,1,3,null,null,1]

 

提示:

  • 节点数在 [1, 104] 范围内
  • 树的深度在 [1, 104]范围内
  • -100 <= Node.val <= 100
  • -105 <= val <= 105
  • 1 <= depth <= the depth of tree + 1

题解

BFS

深度优先遍历,按照题目的意思,只要记录一个深度,当当前的深度达到题目的要求,就将当前节点的左右孩子添加到两个新的节点的左右孩子中,新节点的值题目也给出了,简单的深度优先遍历就可以解决

深度优先遍历一般就是通过递归来实现,当depth大于2的时候,我们就将递归到当前节点的左右孩子节点,并且因为向下了一层,那么depth就需要减一,一直到极限情况,也就是depth刚好为2的时候,那么就说明这一层的下一层需要插入新节点,那么就把新节点作为当前的下一层的左孩子和右孩子,并且当前节点原来的左孩子和右孩子,变成两个新节点的左孩子和右孩子。

  • 如果 depth == 1 意味着 depth - 1 根本没有深度,那么创建一个树节点,值 val 作为整个原始树的新根,而原始树就是新根的左子树。

通过题目中的这句话我们就能够看出来特殊情况,就是当depth为1的时候,那么就直接新建一颗树,以val作为根节点的值,原来的树作为这个树的左孩子生成一个新树,这就是特殊情况的处理方式

/**
 * Definition for a binary tree node.
 * class TreeNode {
 *     val: number
 *     left: TreeNode | null
 *     right: TreeNode | null
 *     constructor(val?: number, left?: TreeNode | null, right?: TreeNode | null) {
 *         this.val = (val===undefined ? 0 : val)
 *         this.left = (left===undefined ? null : left)
 *         this.right = (right===undefined ? null : right)
 *     }
 * }
 */

function addOneRow(root: TreeNode | null, val: number, depth: number): TreeNode | null {
    if (!root) {
        return null;
    }
    if (depth === 1) {
        return new TreeNode(val, root, null);
    }
    if (depth === 2) {
        root.left = new TreeNode(val, root.left, null);
        root.right = new TreeNode(val, null, root.right);
    } else {
        root.left = addOneRow(root.left, val, depth - 1);
        root.right = addOneRow(root.right, val, depth - 1);
    }
    return root;
};

image.png