力扣每日一题0805-623. 在二叉树中增加一行

85 阅读2分钟

携手创作,共同成长!这是我参与「掘金日新计划 · 8 月更文挑战」的第8天,点击查看活动详情

给定一个二叉树的根 root 和两个整数 val 和 depth ,在给定的深度 depth 处添加一个值为 val 的节点行。

注意,根节点 root 位于深度 1 。

加法规则如下:

  • 给定整数 depth,对于深度为 depth - 1 的每个非空树节点 cur ,创建两个值为 val 的树节点作为 cur 的左子树根和右子树根。
  • cur 原来的左子树应该是新的左子树根的左子树。
  • cur 原来的右子树应该是新的右子树根的右子树。
  • 如果 depth == 1 意味着 depth - 1 根本没有深度,那么创建一个树节点,值 val 作为整个原始树的新根,而原始树就是新根的左子树。

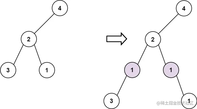
示例 1:

image.png

输入: root = [4,2,6,3,1,5], val = 1, depth = 2
输出: [4,1,1,2,null,null,6,3,1,5]

示例 2:

image.png

输入: root = [4,2,null,3,1], val = 1, depth = 3
输出:  [4,2,null,1,1,3,null,null,1]

深度优先搜索

当输入 depth\textit{depth}11 时,需要创建一个新的 root\textit{root},并将原 root\textit{root} 作为新 root\textit{root} 的左子节点。当 depth\textit{depth}22 时,需要在 root\textit{root} 下新增两个节点 left\textit{left}right\textit{right} 作为 root\textit{root} 的新子节点,并把原左子节点作为 left\textit{left} 的左子节点,把原右子节点作为 right\textit{right} 的右子节点。当 depth\textit{depth} 大于 22 时,需要继续递归往下层搜索,并将 depth\textit{depth} 减去 11,直到搜索到 depth\textit{depth}22

var addOneRow = function(root, val, depth) {
    if (!root) {
        return null;
    }
    if (depth === 1) {
        return new TreeNode(val, root, null);
    }
    if (depth === 2) {
        root.left = new TreeNode(val, root.left, null);
        root.right = new TreeNode(val, null, root.right);
    } else {
        root.left = addOneRow(root.left, val, depth - 1);
        root.right = addOneRow(root.right, val, depth - 1);
    }
    return root;
};

广度优先搜索

与深度优先搜索类似,我们用广度优先搜索找到要加的一行的上一行,然后对这一行的每个节点 node\textit{node},都新增两个节点 left\textit{left}right\textit{right} 作为 node\textit{node} 的新子节点,并把原左子节点作为 left\textit{left} 的左子节点,把原右子节点作为 right\textit{right} 的右子节点。

var addOneRow = function(root, val, depth) {
    if (depth === 1) {
        return new TreeNode(val, root, null);
    }
    let curLevel = [];
    curLevel.push(root);
    for (let i = 1; i < depth - 1; i++) {
        const tmp = [];
        for (const node of curLevel) {
            if (node.left) {
                tmp.push(node.left);
            }
            if (node.right) {
                tmp.push(node.right);
            }
        }
        curLevel = tmp;
    }
    for (const node of curLevel) {
        node.left = new TreeNode(val, node.left, null);
        node.right = new TreeNode(val, null, node.right);
    }
    return root;
};