Redis高级数据类型

63 阅读2分钟

携手创作,共同成长!这是我参与「掘金日新计划 · 8 月更文挑战」的第9天,点击查看活动详情

一、Bitmaps

1.Bitmaps类型的基础操作

  • 获取指定key对应偏移量上的bit值
getbit key offset
  • 设置指定key对应偏移量上的bit值,value只能是1或0
setbit key offset value

2.Bitmaps类型的扩展操作

  • 对指定key按位进行交、并、非、异或操作,并将结果保存到destKey中
bitop op destKey key1 [key2...]
  • and:交

  • or:并

  • not:非

  • xor:异或

  • 统计指定key中1的数量

bitcount key [start end]

二、HyperLogLog

统计独立UV

  • 原始方案:set

    • 存储每个用户的id(字符串)
  • 改进方案:Bitmaps

    • 存储每个用户状态(bit)
  • 全新的方案:Hyperloglog

基数

  • 基数是数据集去重后元素个数

image.png

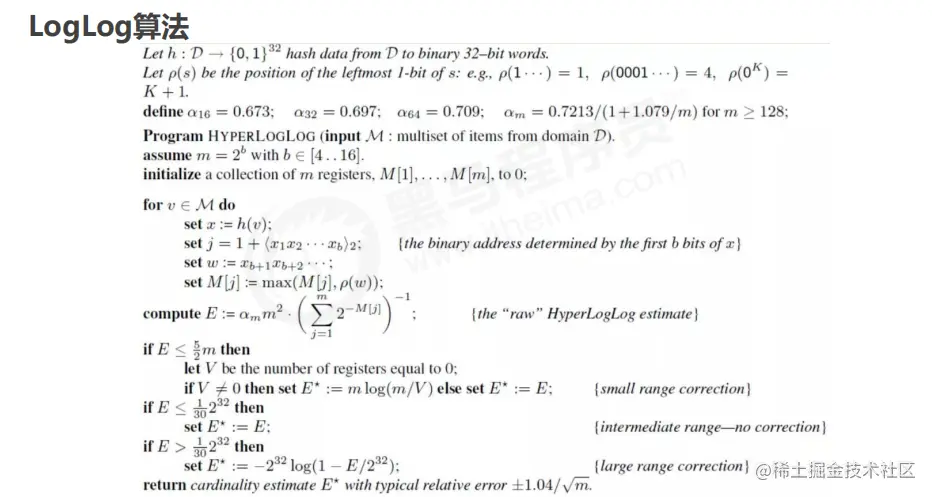
  • HyperLogLog 是用来做基数统计的,运用了LogLog的算法

image.png

1.HyperLogLog类型的基本操作

  • 添加数据
pfadd key element [element ...]
  • 统计数据
pfcount key [key ...]
  • 合并数据
pfmerge destkey sourcekey [sourcekey...]

相关说明

  • 用于进行基数统计,不是集合,不保存数据,只记录数量而不是具体数据

  • 核心是基数估算算法,最终数值存在一定误差

  • 误差范围:基数估计的结果是一个带有 0.81% 标准错误的近似值

  • 耗空间极小,每个hyperloglog key占用了12K的内存用于标记基数

  • pfadd命令不是一次性分配12K内存使用,会随着基数的增加内存逐渐增大

  • Pfmerge命令合并后占用的存储空间为12K,无论合并之前数据量多少

三、GEO

1.GEO类型的基本操作

  • 添加坐标点
geoadd key longitude latitude member [longitude latitude member ...]
  • 获取坐标点

geopos key member [member ...]
  • 计算坐标点距离
geodist key member1 member2 [unit]
  • 添加坐标点
georadius key longitude latitude radius m|km|ft|mi [withcoord] [withdist] [withhash] [count count]
  • 获取坐标点
georadiusbymember key member radius m|km|ft|mi [withcoord] [withdist] [withhash] [count count]
  • 计算经纬度
geohash key member [member ...]