LeetCode探索(112):623-在二叉树中增加一行

626 阅读2分钟

携手创作,共同成长!这是我参与「掘金日新计划 · 8 月更文挑战」的第9天,点击查看活动详情 >>

题目

给定一个二叉树的根 root 和两个整数 valdepth ,在给定的深度 depth 处添加一个值为 val 的节点行。

注意,根节点 root 位于深度 1

加法规则如下:

  • 给定整数 depth,对于深度为 depth - 1 的每个非空树节点 cur ,创建两个值为 val 的树节点作为 cur 的左子树根和右子树根。
  • cur 原来的左子树应该是新的左子树根的左子树。
  • cur 原来的右子树应该是新的右子树根的右子树。
  • 如果 depth == 1 意味着 depth - 1 根本没有深度,那么创建一个树节点,值 val 作为整个原始树的新根,而原始树就是新根的左子树。

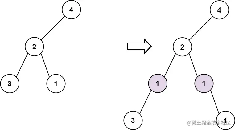
示例 1:

img

输入: root = [4,2,6,3,1,5], val = 1, depth = 2
输出: [4,1,1,2,null,null,6,3,1,5]

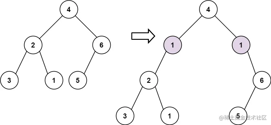
示例 2:

img

输入: root = [4,2,null,3,1], val = 1, depth = 3
输出:  [4,2,null,1,1,3,null,null,1]

提示:

  • 节点数在 [1, 10^4] 范围内
  • 树的深度在 [1, 10^4]范围内
  • -100 <= Node.val <= 100
  • -10^5 <= val <= 10^5
  • 1 <= depth <= the depth of tree + 1

思考

本题难度中等。

首先是读懂题意。给定一个二叉树的根 root 和两个整数 valdepth ,在给定的深度 depth 处添加一个值为 val 的节点行。其中,根节点 root 位于深度 1

我们可以使用深度优先搜索的方法。考虑到当depth为1时,我们将val作为新的二叉树的根节点,原有二叉树作为新二叉树的左子树。当depth为2时,对于根节点,新增两个子节点,其值均为val,而root.left和root.right分别为子节点的左子树和右子树。依此类推,当 depth > 2 时,我们继续递归往下层搜索,并将 depth 减去 1,直到搜索到 depth 为 2时即可。

解答

方法一:深度优先搜索

/**
 * @param {TreeNode} root
 * @param {number} val
 * @param {number} depth
 * @return {TreeNode}
 */
var addOneRow = function(root, val, depth) {
  if (!root) {
    return null
  }
  if (depth === 1) {
    return new TreeNode(val, root, null)
  } else if (depth === 2) {
    root.left = new TreeNode(val, root.left, null)
    root.right = new TreeNode(val, null, root.right)
  } else {
    root.left = addOneRow(root.left, val, depth - 1)
    root.right = addOneRow(root.right, val, depth - 1)
  }
  return root
}

复杂度分析:

  • 时间复杂度:O(n),其中 n 为输入的树的节点数。最坏情况下,需要遍历整棵二叉树。
  • 空间复杂度:O(n),递归的深度最多为 O(n)。

参考