leetcode-在二叉树中增加一行

115 阅读2分钟

携手创作,共同成长!这是我参与「掘金日新计划 · 8 月更文挑战」的第6天,点击查看活动详情

题目描述

给定一个二叉树的根 root 和两个整数 val 和 depth ,在给定的深度 depth 处添加一个值为 val 的节点行。

注意,根节点 root 位于深度 1 。

加法规则如下:

  • 给定整数 depth,对于深度为 depth - 1 的每个非空树节点 cur ,创建两个值为 val 的树节点作为 cur 的左子树根和右子树根。
  • cur 原来的左子树应该是新的左子树根的左子树。
  • cur 原来的右子树应该是新的右子树根的右子树。
  • 如果 depth == 1 意味着 depth - 1 根本没有深度,那么创建一个树节点,值 val 作为整个原始树的新根,而原始树就是新根的左子树。  

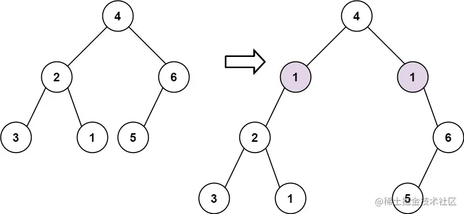
示例 1:

623示例1.jpg

输入: root = [4,2,6,3,1,5], val = 1, depth = 2
输出: [4,1,1,2,null,null,6,3,1,5]

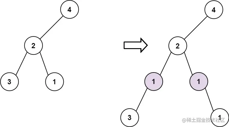
示例 2:

623示例2.jpg

输入: root = [4,2,null,3,1], val = 1, depth = 3
输出:  [4,2,null,1,1,3,null,null,1]

提示:

  • 节点数在 [1, 104] 范围内
  • 树的深度在 [1, 104]范围内
  • -100 <= Node.val <= 100
  • -105 <= val <= 105
  • 1 <= depth <= the depth of tree + 1

思路

本题是二叉树的操作题,主要是对二叉树层序遍历的应用。首先分成2种情况:

  • depth = 1
    这种情况下,构造一个新的根节点,然后把之前的根节点挂在到它的左子树即可。
  • depth > 1
    这种情况下,我们首先要找到所有第depth-1层的元素,对于每个节点,构造出新的2个子节点,再将原来的左右子树分别挂在在新左节点的左子树和新右节点的右子树。
    层序遍历的方式,可以参看这篇博客《leetcode-在每个树行中找最大值》

Java版本代码

class Solution {
    public TreeNode addOneRow(TreeNode root, int val, int depth) {
        if (depth == 1) {
            TreeNode node = new TreeNode(val);
            node.left = root;
            return node;
        }
        Queue<TreeNode> queue = new ArrayDeque<>();
        queue.add(root);
        for (int i = 2; i < depth; i++) {
            int size = queue.size();
            while (size-- > 0) {
                TreeNode node = queue.poll();
                if (node.left != null) {
                    queue.add(node.left);
                }
                if (node.right != null) {
                    queue.add(node.right);
                }
            }
        }
        int size = queue.size();
        while (size-- > 0) {
            TreeNode node = queue.poll();
            TreeNode leftNode = new TreeNode(val);
            leftNode.left = node.left;
            node.left = leftNode;
            TreeNode rightNode = new TreeNode(val);
            rightNode.right = node.right;
            node.right = rightNode;
        }
        return root;
    }
}