【08.05 每日一题】623. 在二叉树中增加一行

52 阅读1分钟

623. 在二叉树中增加一行

给定一个二叉树的根 root 和两个整数 val 和 depth ,在给定的深度 depth 处添加一个值为 val 的节点行。

注意,根节点 root 位于深度 1 。

加法规则如下:

  • 给定整数 depth,对于深度为 depth - 1 的每个非空树节点 cur ,创建两个值为 val 的树节点作为 cur 的左子树根和右子树根。
  • cur 原来的左子树应该是新的左子树根的左子树。
  • cur 原来的右子树应该是新的右子树根的右子树。
  • 如果 depth == 1 意味着 depth - 1 根本没有深度,那么创建一个树节点,值 val 作为整个原始树的新根,而原始树就是新根的左子树。

示例1

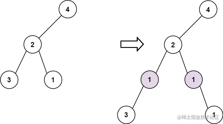
输入: root = [4,2,6,3,1,5], val = 1, depth = 2
输出: [4,1,1,2,null,null,6,3,1,5]

示例2

输入: root = [4,2,null,3,1], val = 1, depth = 3
输出:  [4,2,null,1,1,3,null,null,1]

思路

  • 使用深度遍历
  • 当depth==1时,需要创建一个根节点,并将val作为新根的值,原始树为新根的左子树。
  • 当depth==2时,需要创建两个节点,节点的值为val,分别作为新的左右子树,而原来的左子树是新的左子树的左子树,原来的右子树是新的右子树的右子树。
  • 当depth>2时,则需要depth-1,递归寻找depth==2的树。

解法

/**
 * Definition for a binary tree node.
 * type TreeNode struct {
 *     Val int
 *     Left *TreeNode
 *     Right *TreeNode
 * }
 */
func addOneRow(root *TreeNode, val int, depth int) *TreeNode {
    if root==nil{
        return nil
    }
    if depth==1{
        return &TreeNode{val,root,nil}
    }else if depth ==2{
        root.Left=&TreeNode{Val:val,Left:root.Left,Right:nil}
        root.Right=&TreeNode{Val:val,Left:nil,Right:root.Right}
    }else{
        root.Left=addOneRow(root.Left,val,depth-1)
        root.Right=addOneRow(root.Right,val,depth-1)
    }
    return root
}

结果

image.png