LeetCode - #144 二叉树的前序遍历

466 阅读2分钟

携手创作,共同成长!这是我参与「掘金日新计划 · 8 月更文挑战」的第9天,点击查看活动详情

前言

我们社区陆续会将顾毅(Netflix 增长黑客,《iOS 面试之道》作者,ACE 职业健身教练。)的 Swift 算法题题解整理为文字版以方便大家学习与阅读。

LeetCode 算法到目前我们已经更新到 143 期,我们会保持更新时间和进度(周一、周三、周五早上 9:00 发布),每期的内容不多,我们希望大家可以在上班路上阅读,长久积累会有很大提升。

不积跬步,无以至千里;不积小流,无以成江海,Swift社区 伴你前行。如果大家有建议和意见欢迎在文末留言,我们会尽力满足大家的需求。

难度水平:简单

1. 描述

给你二叉树的根节点 root ,返回它节点值的 前序 遍历。

2. 示例

示例 1

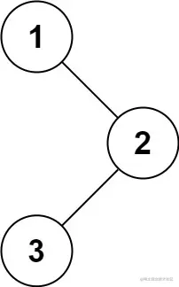
输入:root = [1,null,2,3]
输出:[1,2,3]

示例 2

输入:root = []
输出:[]

示例 3

输入:root = [1]
输出:[1]

示例 4

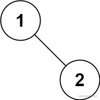
输入:root = [1,2]
输出:[1,2]

示例 5

输入:root = [1,null,2]
输出:[1,2]

约束条件:

  • 树中节点数目在范围 [0, 100]
  • -100 <= Node.val <= 100

3. 答案

/**
 *
 * Definition for a binary tree node.
 * public class TreeNode {
 *     public var val: Int
 *     public var left: TreeNode?
 *     public var right: TreeNode?
 *     public init(_ val: Int) {
 *         self.val = val
 *         self.left = nil
 *         self.right = nil
 *     }
 * }
 */

class PreorderTraversal {
    func preorderTraversal(root: TreeNode?) -> [Int] {
        var res = [Int]()
        var stack = [TreeNode]()
        var node = root
        
        while !stack.isEmpty || node != nil {
            if node != nil {
                res.append(node!.val)
                stack.append(node!)
                node = node!.left
            } else {
                node = stack.removeLast().right
            }
        }
        
        return res
    }
}
  • 主要思想:使用堆栈来帮助迭代树。
  • 时间复杂度: O(n)
  • 空间复杂度: O(n)

该算法题解的仓库:LeetCode-Swift

点击前往 LeetCode 练习

关于我们

我们是由 Swift 爱好者共同维护,我们会分享以 Swift 实战、SwiftUI、Swift 基础为核心的技术内容,也整理收集优秀的学习资料。

后续还会翻译大量资料到我们公众号,有感兴趣的朋友,可以加入我们。