Lecture 01 Overview of Computer Graphics
讲了图形学的应用,比如游戏、电影特效、动画、仿真、VR 等等;
101 主要包括四个部分:
光栅化(opengl 和 shader 是怎么运作的)
曲线和栅格
光线追踪
动画 & 模拟
不会讲图形库 api,如 opengl,其实就是原理性的东西;
Lecture 02 Review of Linear Algebra
图形学包括很多学科的内容
数学:线性代数、微积分、统计学;
物理:力学、光学;
其它:信号处理、数值分析;
一定的审美能力;
向量标准化
∣ ∣ a ⃗ ∣ ∣ ||\vec{a}|| ∣∣ a ∣∣ 是指向量 a 的长度,长度为 1 的向量规定为单位向量 ;
单位向量可以表示为:a ^ = a ⃗ / ∣ ∣ a ⃗ ∣ ∣ \hat{a}=\vec{a}/||\vec{a}|| a ^ = a /∣∣ a ∣∣ ,即单位向量=向量/向量长度;
通常可以用一个单位向量表示方向;
会有一些向量的计算,比如求两个向量的和,也就是把两个向量的头尾坐标相加,即可获得结果向量;
向量加法
一般表示为 A = 4 x + 3 y A=4x+3y A = 4 x + 3 y 这样的形式,因为这样容易计算向量的长度 (勾股定理),貌似这个很重要;
向量乘法-点乘(Vector Multiplication - Dot Product):
一般表示为a ⃗ ⋅ b ⃗ = ∣ ∣ a ⃗ ∣ ∣ ∣ ∣ b ⃗ ∣ ∣ c o s θ \vec{a}·\vec{b}=||\vec{a}||||\vec{b}||cosθ a ⋅ b = ∣∣ a ∣∣∣∣ b ∣∣ cos θ ;
右边是向量长度和夹角的数字乘法,因此可以将等式转换成这样 a ⃗ ⋅ b ⃗ ∣ ∣ a ⃗ ∣ ∣ ∣ ∣ b ⃗ ∣ ∣ = c o s θ \frac{\vec{a}·\vec{b}}{||\vec{a}||||\vec{b}||}=cosθ ∣∣ a ∣∣∣∣ b ∣∣ a ⋅ b = cos θ ,可以发现点乘非常大的价值就是求向量夹角余弦值;
假如已知的向量是单位向量(长度为 1),那求夹角就更简单了 a ⃗ ⋅ b ⃗ = c o s θ \vec{a}·\vec{b}=cosθ a ⋅ b = cos θ ;
点乘满足交换律、结合律、分配律 ;
计算方法 :a ⃗ ⋅ b ⃗ = ( x a y a z a ) ( x b y b z b ) = x a x b + y a y b + z a z b \vec{a}·\vec{b}=
\begin{pmatrix}
x_a \\
y_a \\
z_a \\
\end{pmatrix}
\begin{pmatrix}
x_b \\
y_b \\
z_b \\
\end{pmatrix}
=x_ax_b+y_ay_b+z_az_b a ⋅ b = ⎝ ⎛ x a y a z a ⎠ ⎞ ⎝ ⎛ x b y b z b ⎠ ⎞ = x a x b + y a y b + z a z b ;
应用上,除了刚才提到的计算两个向量的夹角 ,还有就是可以计算一个向量到另一个向量的投影向量长度 ;
含义上,点乘可以测量两个两个向量有多么接近、分解向量、还可以判断某两个向量的方向关系(相同、相反、垂直);
向量乘法-叉乘(Vector Multiplication - Cross Product):
意味着求 a 和 b 所在平面的一个法向量,法向量的方向满足右手螺旋定则,即用右手四指表示从 a 旋转到 b 的方向,然后拇指所指方向就是这个法向量的方向;
公式:
交换律 a × b = − b × a a×b=-b×a a × b = − b × a :根据右手旋转坐标系,从 a 旋转到 b 和从 b 旋转到 a 获得的法向量是相反的,可得叉乘不满足交换律,要交换必须给其中一个向量加一个负号(可以根据 x 和 y 轴算出 z 轴,从而建立一个直角坐标系);
**结果向量长度 **∣ ∣ a × b ∣ ∣ = ∣ ∣ a ∣ ∣ ∣ ∣ b ∣ ∣ s i n φ ||a×b||=||a||||b||sinφ ∣∣ a × b ∣∣ = ∣∣ a ∣∣∣∣ b ∣∣ s in φ :向量叉乘结果向量的长度,等于两个向量长度相乘再乘上两个向量夹角的正弦;
同方向单位向量的叉积 a ⃗ × a ⃗ = 0 ⃗ \vec{a}×\vec{a}=\vec{0} a × a = 0 :同方向的向量叉乘会得到一个 0 向量;
结合律、分配律 :除了交换律需要加个负号之外,结合律、分配律都是满足的;
矩阵形式 :叉积可以表现成矩阵形式 a ⃗ × b ⃗ = A ∗ b = ( 0 − z a y a z a 0 − x a − y a x a 0 ) ( x b y b z b ) \vec{a}×\vec{b}=
A*b=
\begin{pmatrix}
0 & -z_a & y_a \\
z_a & 0 & -x_a \\
-y_a & x_a & 0 \\
\end{pmatrix}
\begin{pmatrix}
x_b \\
y_b \\
z_b \\
\end{pmatrix} a × b = A ∗ b = ⎝ ⎛ 0 z a − y a − z a 0 x a y a − x a 0 ⎠ ⎞ ⎝ ⎛ x b y b z b ⎠ ⎞ ,这个三阶矩阵视频里叫做 dual matrix of vector a,翻译好像叫 a 的对偶矩阵?不知道是啥意思,然后这个矩阵乘出来的向量就是 a ⃗ × b ⃗ = ( y a z b − z a y b z a x b − x a z b x a y b − y a x b ) \vec{a}×\vec{b}=
\begin{pmatrix}
y_az_b-z_ay_b \\
z_ax_b-x_az_b \\
x_ay_b-y_ax_b \\
\end{pmatrix} a × b = ⎝ ⎛ y a z b − z a y b z a x b − x a z b x a y b − y a x b ⎠ ⎞ ;
作用:
判断向量的左右位置:右手螺旋定则,如果 a ⃗ × b ⃗ \vec{a}×\vec{b} a × b 的结果是正的,那 a 肯定在 b 右边,反之亦然。比如给你三个点,组成一个三角形,要求一个点 P 是否在三角形内。那只要求三条边分别与三个点和 P 连线的向量之叉积,就可以判断三条连线是否都在边的左边,从而可以判断 P 是否在三角形内;
判断法向量的内外;
p ⃗ = ( p ⃗ ⋅ u ⃗ ) u ⃗ + ( p ⃗ ⋅ v ⃗ ) v ⃗ + ( p ⃗ ⋅ w ⃗ ) w ⃗ \vec{p}=
(\vec{p}·\vec{u})\vec{u}+
(\vec{p}·\vec{v})\vec{v}+
(\vec{p}·\vec{w})\vec{w} p = ( p ⋅ u ) u + ( p ⋅ v ) v + ( p ⋅ w ) w :给了个公式,u、v、w 是三个互相垂直的单位向量,构成一个三维的直角坐标系,然后说可以通过点乘求任意向量在坐标轴上的投影,但是没太懂;
搜了一下理解了,其实这里是通过求得三个投影向量,最后相加得出原向量 p。首先 u、v、w 是三个坐标轴上的单位向量,回想之前点乘的公式a ⃗ ⋅ b ⃗ ∣ ∣ a ⃗ ∣ ∣ ∣ ∣ b ⃗ ∣ ∣ = c o s θ \frac{\vec{a}·\vec{b}}{||\vec{a}||||\vec{b}||}=cosθ ∣∣ a ∣∣∣∣ b ∣∣ a ⋅ b = cos θ ,用在此处就是p ⃗ ⋅ u ⃗ ∣ ∣ p ⃗ ∣ ∣ ∣ ∣ u ⃗ ∣ ∣ = c o s θ \frac{\vec{p}·\vec{u}}{||\vec{p}||||\vec{u}||}=cosθ ∣∣ p ∣∣∣∣ u ∣∣ p ⋅ u = cos θ ,u 是坐标轴上的单位向量,长度为 1,可得p ⃗ ⋅ u ⃗ = c o s θ ∣ ∣ p ⃗ ∣ ∣ \vec{p}·\vec{u}=cosθ||\vec{p}|| p ⋅ u = cos θ ∣∣ p ∣∣ ,cosθ 又等于邻边比斜边,∣ ∣ p ⃗ ∣ ∣ ||\vec{p}|| ∣∣ p ∣∣ 就是斜边长度,易得p ⃗ ⋅ u ⃗ \vec{p}·\vec{u} p ⋅ u 就是向量 p 在 u 所在轴上的投影向量长度,而由于u ⃗ \vec{u} u 是坐标轴上的单位向量,因此给u ⃗ \vec{u} u 每一个分量乘上投影向量的长度,就可以得到投影向量本身,三个投影向量加起来就可以得到要求的向量 p;
矩阵(Matrix)
矩阵乘法 :( M × N ) ( N × P ) = ( M × P ) (M×N)(N×P)=(M×P) ( M × N ) ( N × P ) = ( M × P ) ,只有矩阵 1 的列数和矩阵 2 的行数相同,矩阵乘法才有意义;
计算积矩阵中 i, j 位置的值:直接求矩阵 1 第 i 行和矩阵 2 第 j 列的点积 ;
矩阵乘法 :交换律不成立,结合律和分配律都是成立的,尤其结合律比较有用;
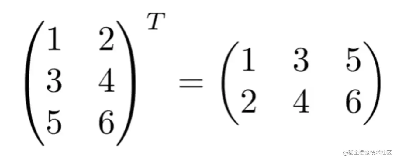
转置矩阵 :如图,有一个性质,矩阵积的转置等于其各自转置后调换顺序的积,( A B ) T = B T A T (AB)^T=B^TA^T ( A B ) T = B T A T ;
单位矩阵 :I 3 × 3 = ( 1 0 0 0 1 0 0 0 1 ) I_{3×3}=\begin{pmatrix}
1 & 0 & 0 \\
0 & 1 & 0 \\
0 & 0 & 1 \\
\end{pmatrix} I 3 × 3 = ⎝ ⎛ 1 0 0 0 1 0 0 0 1 ⎠ ⎞ ,它乘任何矩阵都等于矩阵本身;
逆矩阵 :结合单位矩阵,它有几个性质;
A A − 1 = A − 1 A = I AA^{-1}=A^{-1}A=I A A − 1 = A − 1 A = I ,矩阵乘自己的逆矩阵等于单位矩阵;
( A B ) − 1 = B − 1 A − 1 (AB)^{-1}=B^{-1}A^{-1} ( A B ) − 1 = B − 1 A − 1 ,与转置矩阵那个定理相同;
向量乘法转矩阵乘法 :
a ⃗ ⋅ b ⃗ = a ⃗ T b ⃗ = ( x a y b z c ) ( x a y b z c ) \vec{a}·\vec{b}=\vec{a}^T\vec{b}=\begin{pmatrix}
x_a & y_b & z_c
\end{pmatrix}
\begin{pmatrix}
x_a \\
y_b \\
z_c \\
\end{pmatrix} a ⋅ b = a T b = ( x a y b z c ) ⎝ ⎛ x a y b z c ⎠ ⎞ ;
a ⃗ × b ⃗ = A ∗ b = ( 0 − z a − y a z a 0 x a − y a x a 0 ) ( x b y b z b ) \vec{a}×\vec{b}=A^*b=\begin{pmatrix}
0 & -z_a & -y_a \\
z_a & 0 & x_a \\
-y_a & x_a & 0 \\
\end{pmatrix}
\begin{pmatrix}
x_b \\
y_b \\
z_b \\
\end{pmatrix} a × b = A ∗ b = ⎝ ⎛ 0 z a − y a − z a 0 x a − y a x a 0 ⎠ ⎞ ⎝ ⎛ x b y b z b ⎠ ⎞ ,这个A ∗ A^* A ∗ 称为 dual matrix of A,暂时不清楚是怎么生成的;
Lecture 03 Transformation
2D 变换(2D Transforms)
缩放(Scale)
数学公式可以表达为:x ′ = s x x'=sx x ′ = s x ,y ′ = s y y'=sy y ′ = sy ,也就是 x、y 分别乘上缩放比例;
显然这个公式可以转换为矩阵形式:( x ′ y ′ ) = ( s 0 0 s ) ( x y ) \begin{pmatrix}
x' \\
y' \\
\end{pmatrix}
=
\begin{pmatrix}
s & 0 \\
0 & s \\
\end{pmatrix}
\begin{pmatrix}
x \\
y \\
\end{pmatrix} ( x ′ y ′ ) = ( s 0 0 s ) ( x y ) ,转换出来跟上面的数学公式是相同的;
切变(Shear)
有点类似倾斜?webgl 那本书就没讲到这个,这里我们用图来推论它的公式;
显然,在变换前后,y 坐标是不变的;
y = 0 时,x 坐标是没有发生变化的;
y = 1 时,假设 x 坐标向右偏移了 a 距离,此时形状左端的 x 坐标为 a,右端的 x 坐标就是 a+1;
考虑到它是一个均匀的变化,当 y = 1/2 时,x 轴的偏移距离则为 a/2,形状左端的 x 坐标则为 a/2,右端的坐标则为 a/2+1;
此时我们推断数学公式:x ′ = x + a y x'=x+ay x ′ = x + a y ,y ′ = y y'=y y ′ = y ;
转化为矩阵形式:( x ′ y ′ ) = ( 1 a 0 1 ) ( x y ) \begin{pmatrix}
x' \\
y' \\
\end{pmatrix}
=
\begin{pmatrix}
1 & a \\
0 & 1 \\
\end{pmatrix}
\begin{pmatrix}
x \\
y \\
\end{pmatrix} ( x ′ y ′ ) = ( 1 0 a 1 ) ( x y ) ;
旋转(Rotate)
用一个特殊点来推断通用的公式,图示为点 (1, 0) 旋转 θ 角的情况,可得 cosθ 对应矩阵位置 A,sinθ 对应矩阵位置 C;同理 B 位置对应的是 -sinθ,D 位置对应的是 cosθ;
即:( x ′ y ′ ) = ( c o s θ − s i n θ s i n θ c o s θ ) ( x y ) \begin{pmatrix}
x' \\
y' \\
\end{pmatrix}
=
\begin{pmatrix}
cosθ & -sinθ \\
sinθ & cosθ \\
\end{pmatrix}
\begin{pmatrix}
x \\
y \\
\end{pmatrix} ( x ′ y ′ ) = ( cos θ s in θ − s in θ cos θ ) ( x y ) ;
推导:线性变化都可以用矩阵来表示,但我们必须找到一个相同维度的矩阵,也就是将其表示在同一个矩阵中,如何?
齐次坐标**(Homogeneous coodinates)**
平移(Translation)
是最特殊的一种变换,因为它不能写成上面那些单纯的矩阵相乘形式,他必须加上一个常数;
因为它要加上常数,不能用乘法表示,所以平移不属于线性变化 ;
人们不想把平移当成一种特殊用例,所以如何将它们都进行通用的表示呢?
数学公式:x ′ = x + t x x'=x+t_x x ′ = x + t x ,y ′ = y + t y y'=y+t_y y ′ = y + t y ;
矩阵形式:
( x ′ y ′ ) = ( a b c d ) ( x y ) + ( t x t y ) \begin{pmatrix}
x' \\
y' \\
\end{pmatrix}=
\begin{pmatrix}
a & b \\
c & d \\
\end{pmatrix}
\begin{pmatrix}
x \\
y \\
\end{pmatrix}+
\begin{pmatrix}
t_x \\
t_y \\
\end{pmatrix} ( x ′ y ′ ) = ( a c b d ) ( x y ) + ( t x t y ) ;
齐次坐标(Homogeneous coodinates)
根据平移的矩阵公式扩充为:( x ′ y ′ w ′ ) = ( 1 0 t x 0 1 t y 0 0 1 ) ( x y 1 ) = ( x + t x y + t y 1 ) \begin{pmatrix}
x' \\
y' \\
w' \\
\end{pmatrix}
=
\begin{pmatrix}
1 & 0 & t_x \\
0 & 1 & t_y \\
0 & 0 & 1 \\
\end{pmatrix}
\begin{pmatrix}
x \\
y \\
1 \\
\end{pmatrix}
=
\begin{pmatrix}
x+t_x \\
y+t_y \\
1 \\
\end{pmatrix} ⎝ ⎛ x ′ y ′ w ′ ⎠ ⎞ = ⎝ ⎛ 1 0 0 0 1 0 t x t y 1 ⎠ ⎞ ⎝ ⎛ x y 1 ⎠ ⎞ = ⎝ ⎛ x + t x y + t y 1 ⎠ ⎞ ,这就是用齐次坐标表示平移的方式;
探讨齐次坐标的意义;
第一,引入 w 分量来表示平移,其中需要区分向量和点的表示,向量表示为( x , y , 0 ) (x, y, 0) ( x , y , 0 ) ,点表示为( x , y , 1 ) (x, y, 1) ( x , y , 1 ) ,这是因为新引入的维度是用来表示平移的,而向量具有平移不变性 ,所以不需要考虑它的平移属性,置为 0 即可;
第二,w 分量还包含点、向量之间加减法的实际意义,比如:
v e c t o r + v e c t o r = v e c t o r vector+vector=vector v ec t or + v ec t or = v ec t or ,他们加出来 w 分量仍是 0,也表示向量,符合向量加法的原理;
v e c t o r + p o i n t = p o i n t vector+point=point v ec t or + p o in t = p o in t ,结果 w 分量是 1,表示一个点,含义是点朝某个方向移动,结果仍是一个点;
p o i n t − p o i n t = v e c t o r point-point=vector p o in t − p o in t = v ec t or ,结果分量是 0,表示一个向量,含义是两点之间的连线可以表示一个方向,也符合坐标减法的原理;
p o i n t + p o i n t = p o i n t point+point=point p o in t + p o in t = p o in t ,比较特殊,因为这样加起来 w 分量会变成 2,后来人们给了它一个定义,就是将三个分量同时除以 w,得到( x / w y / w 1 ) \begin{pmatrix}
x/w \\
y/w \\
1
\end{pmatrix} ⎝ ⎛ x / w y / w 1 ⎠ ⎞ ,突然发现这不就是表示,两点相加,得到的就是线段中点?笑死;
仿射变换(Affine Transformations)
仿射变换(Affine Transformations)
线性变化(旋转、切变、缩放)+平移,给他一个新名字叫做仿射变换 ;
用齐次坐标表示仿射变换:( x ′ y ′ w ′ ) = ( a b t x c d t y 0 0 1 ) ( x y 1 ) \begin{pmatrix}
x' \\
y' \\
w' \\
\end{pmatrix}
=
\begin{pmatrix}
a & b & t_x \\
c & d & t_y \\
0 & 0 & 1 \\
\end{pmatrix}
\begin{pmatrix}
x \\
y \\
1 \\
\end{pmatrix} ⎝ ⎛ x ′ y ′ w ′ ⎠ ⎞ = ⎝ ⎛ a c 0 b d 0 t x t y 1 ⎠ ⎞ ⎝ ⎛ x y 1 ⎠ ⎞ ;
逆变换(Inverse Transform)
逆变换反应到数学上,就是乘上变换的逆矩阵;
复杂变换分解(Decomposing Complex Transforms),比如下图中的正方形,我想让他绕 c 点旋转,那就可以先将 c 点平移回原点,再将正方形旋转,然后乘上刚才平移的逆矩阵,就可以实现了;
组合变换(Compose Transform)
表现为矩阵相乘,会发现,变换的顺序不同,变换的结果也不同,这一点对应了之前矩阵乘法不满足交换律的知识(用矩阵去代表图形变换很巧妙,变换和数学意义有很多是一一对应的);
用矩阵乘法表示变换时,应用变换的方向是从右向左 的;
变换可以组合多个;
3D 变换(3D Transforms)
齐次坐标
三维增加了一个维度,但各种变换与二维情况下并无区别,向量就可以表示为( x , y , z , 0 ) (x, y, z, 0) ( x , y , z , 0 ) ,点表示为( x , y , z , 1 ) (x, y, z, 1) ( x , y , z , 1 ) ;
矩阵表示变为( x ′ y ′ z ′ w ′ ) = ( a b c t x d e f t y g h i t z 0 0 0 1 ) ( x y z 1 ) \begin{pmatrix}
x' \\
y' \\
z' \\
w' \\
\end{pmatrix}
=
\begin{pmatrix}
a & b & c & t_x \\
d & e & f & t_y \\
g & h & i & t_z \\
0 & 0 & 0 & 1 \\
\end{pmatrix}
\begin{pmatrix}
x \\
y \\
z \\
1 \\
\end{pmatrix} ⎝ ⎛ x ′ y ′ z ′ w ′ ⎠ ⎞ = ⎝ ⎛ a d g 0 b e h 0 c f i 0 t x t y t z 1 ⎠ ⎞ ⎝ ⎛ x y z 1 ⎠ ⎞ ;
平移和线性变换,哪个先进行?在 2D 变换中,我们在推导出需要使用 w 分量之前,数学式是下图,可以发现平移是加法,所以是先进行线性变换,再进行平移;
Lecture 04 Transformation Cont.
题外话
旋转矩阵逆变化的推导
旋转矩阵的公式是这样的:R θ = ( c o s θ − s i n θ s i n θ c o s θ ) ( x y ) R_θ
=
\begin{pmatrix}
cosθ & -sinθ \\
sinθ & cosθ \\
\end{pmatrix}
\begin{pmatrix}
x \\
y \\
\end{pmatrix} R θ = ( cos θ s in θ − s in θ cos θ ) ( x y ) ;
它的逆矩阵 就是旋转 -θ 度,可以表示为:R − θ = ( c o s θ s i n θ − s i n θ c o s θ ) ( x y ) R_{-θ}
=
\begin{pmatrix}
cosθ & sinθ \\
-sinθ & cosθ \\
\end{pmatrix}
\begin{pmatrix}
x \\
y \\
\end{pmatrix} R − θ = ( cos θ − s in θ s in θ cos θ ) ( x y ) ,这是因为把 -θ 代入后,由 cos(-θ)=cosθ、sin(-θ)=-sinθ 两个公式可以推导出;
而旋转矩阵的转置矩阵 ,也是这样表示:R θ T = ( c o s θ − s i n θ s i n θ c o s θ ) ( x y ) R_θ^T
=
\begin{pmatrix}
cosθ & -sinθ \\
sinθ & cosθ \\
\end{pmatrix}
\begin{pmatrix}
x \\
y \\
\end{pmatrix} R θ T = ( cos θ s in θ − s in θ cos θ ) ( x y ) ;
可以得出一个定理,旋转矩阵的逆矩阵跟转置矩阵相同;
在数学上,逆矩阵等于转置矩阵的情况,有一个专门的名词表示:正交矩阵 ;
3D 变换(3D Transforms)
书接上回
3D 缩放 :很简单,加一个坐标( x ′ y ′ z ′ ) = ( s x 0 0 0 s y 0 0 0 s z ) ( x y z ) \begin{pmatrix}
x' \\
y' \\
z' \\
\end{pmatrix}
=
\begin{pmatrix}
s_x & 0 & 0 \\
0 & s_y & 0 \\
0 & 0 & s_z \\
\end{pmatrix}
\begin{pmatrix}
x \\
y \\
z \\
\end{pmatrix} ⎝ ⎛ x ′ y ′ z ′ ⎠ ⎞ = ⎝ ⎛ s x 0 0 0 s y 0 0 0 s z ⎠ ⎞ ⎝ ⎛ x y z ⎠ ⎞ ;
3D 平移 :很简单,加一个坐标( x ′ y ′ z ′ w ′ ) = ( 1 0 0 t x 0 1 0 t y 0 0 1 t z 0 0 0 1 ) ( x y z 1 ) \begin{pmatrix}
x' \\
y' \\
z' \\
w' \\
\end{pmatrix}
=
\begin{pmatrix}
1 & 0 & 0 & t_x \\
0 & 1 & 0 & t_y \\
0 & 0 & 1 & t_z \\
0 & 0 & 0 & 1 \\
\end{pmatrix}
\begin{pmatrix}
x \\
y \\
z \\
1 \\
\end{pmatrix} ⎝ ⎛ x ′ y ′ z ′ w ′ ⎠ ⎞ = ⎝ ⎛ 1 0 0 0 0 1 0 0 0 0 1 0 t x t y t z 1 ⎠ ⎞ ⎝ ⎛ x y z 1 ⎠ ⎞ ;
3D 旋转(3D Rotations)
先按照 2D 上的情况来拓展
绕 x 轴旋转时,x 轴坐标是不变的,那就将 x 轴所表示的行列忽视掉,设为单位矩阵的形式(1, 0, 0);
绕 z 轴旋转同理,将 z 轴的行列去掉;
绕 y 轴这里,本质相同,也是将 y 轴行列去掉,但理解上有些不同;
如图所示,根据右手螺旋定则,绕 x 轴旋转是从 y 转到 z,它们叉乘之后正方向就是 x 轴所在方向;同理 z 轴也可以这样推出;但 y 轴不同,从 z 轴转到 x 轴,叉乘结果是 y 轴的负方向 ,所以按这个理解,绕 y 轴旋转的变化矩阵就是R − y R_{-y} R − y ,按上一节的推导,这里的变化矩阵应该是正常旋转的逆矩阵;
Rodrigues' Rotation Formula
R ( n , α ) = c o s ( α ) I + 1 − c o s ( α ) n n T + s i n ( α ) ( 0 − n z n y n z 0 − n x − n y n x 0 ) ⏟ N R(n,α)=cos(α)I+1-cos(α)nn^T+sin(α)
\underbrace{\begin{pmatrix}
0 & -n_z & n_y \\
n_z & 0 & -n_x \\
-n_y & n_x & 0 \\
\end{pmatrix}}_{N} R ( n , α ) = cos ( α ) I + 1 − cos ( α ) n n T + s in ( α ) N ⎝ ⎛ 0 n z − n y − n z 0 n x n y − n x 0 ⎠ ⎞ ;
推导过程很复杂;
图中说的 n 轴是指可以只用一个向量表示;
如果非要以不过原点的轴旋转,则可以将轴平移到过原点的位置,操作完旋转后,再用平移的逆变换移回原位;
视图/相机变换(View / Camera Transformation)
包含模型变换(Model Transformation)、视图变换(View Transformation)、投影变换(Projection Transformation);
定义相机位置:
相机位置(Position);
观测方向(Look-at Direction);
上方向(Up Direction);
相机与物体的相对关系:
相机与物体的位置是相对的,也就是说同样的变换,摄像机变换和物体变换都能做到相同的效果;
因此为了简化理解,则固定摄像机的位置,只变换物体的位置;
默认方向一般是将相机放在原点位置,以 Y 轴为上方向,-Z 轴为观测方向 ;
如果有任意的相机位置,如何将其移到默认位置?
将起始点 e 移到原点;
将观测方向 g 旋转到 -Z 轴;
将上方向 t 旋转到 Y 轴;
g × t 的方向也会自动旋转到 X 轴上;
4 中的推演如何写成矩阵形式?
直接写 g 旋转到 -Z 这种不好写,转换思路,可以把三个变换的逆变换都写出来,比如 -Z 到某某某向量的旋转,这样比较好求;
本课之初知道了旋转矩阵是正交矩阵,逆矩阵=转置矩阵,所以可以在求完三个逆旋转之后,求其转置矩阵,再结合上最后的平移变换,就是最终的公式了;
先求旋转逆矩阵:R v i e w − 1 = ( x g ^ × t ^ x t x − g 0 y g ^ × t ^ y t y − g 0 z g ^ × t ^ z t z − g 0 0 0 0 1 ) R^{-1}_{view}=\begin{pmatrix}
x_{\hat{g}×\hat{t}} & x_t & x_{-g} & 0 \\
y_{\hat{g}×\hat{t}} & y_t & y_{-g} & 0 \\
z_{\hat{g}×\hat{t}} & z_t & z_{-g} & 0 \\
0 & 0 & 0 & 1 \\
\end{pmatrix} R v i e w − 1 = ⎝ ⎛ x g ^ × t ^ y g ^ × t ^ z g ^ × t ^ 0 x t y t z t 0 x − g y − g z − g 0 0 0 0 1 ⎠ ⎞ ;
求转置矩阵,得到正确的旋转矩阵:R v i e w = ( x g ^ × t ^ y g ^ × t ^ z g ^ × t ^ 0 x t y t z t 0 x − g y − g z − g 0 0 0 0 1 ) R_{view}=\begin{pmatrix}
x_{\hat{g}×\hat{t}} & y_{\hat{g}×\hat{t}} & z_{\hat{g}×\hat{t}} & 0 \\
x_t & y_t & z_t & 0 \\
x_{-g} & y_{-g} & z_{-g} & 0 \\
0 & 0 & 0 & 1 \\
\end{pmatrix} R v i e w = ⎝ ⎛ x g ^ × t ^ x t x − g 0 y g ^ × t ^ y t y − g 0 z g ^ × t ^ z t z − g 0 0 0 0 1 ⎠ ⎞ ;
最终再结合上平移矩阵即可;
投影变换(Projection Transformation)
分为正交投影(Orthorgraphic Projection)与透视投影(Perspective Projection) ;
正交投影不会带来近大远小的现象,透视投影才会;
正交投影通常用于工程制图领域;
正交投影
将摄像机放在初始位置(原点、观测方向为 -Z、上方向为 Y);
在正交投影下,这样就可以忽视掉 Z 轴的存在,因为 z 坐标怎么变投影结果都是一样的;
将 Z 轴扔到不便数学表达;
下面需要找一种容易描述的方式;
通常我们会将一个长方体映射到一个**标准立方体(Canonical Cude)**上;
先将中心点移到坐标系原点,然后再将各边拉伸到 [0, 1]、[0, -1] 等位置;
这里的 [l, r]、[b, t]、[f, n] 是指某一个面的中心点,分别对应左右、底顶、远近;
由于观测方向是 -Z,所以离摄像机近的 z 坐标反而大,所以 n >= f,有些不便理解;
OpenGL 用左手系,就可以规避这个问题,但是左手系存在别的问题;
透视投影
特征:使用最广泛、近大远小、平行线不再平行;
复习:齐次坐标中,对所有分量乘同一个数,表示的都是同一个点;
如何实现:
1)与正交投影一样,定义远近两个平面,但透视投影中,远平面会更大一些;
2)将远平面挤压成跟近平面一样的大小;
3)再对两个平面做正交投影;
这样将透视投影拆分成了两个步骤,更好理解;
看下图,我们的目的是要将远平面压缩成近平面的大小,这样可以构造出一对相似三角形;
假设目标平面的 Z 坐标是 n,则两平面 Z 坐标之比为n z \frac{n}{z} z n ;
相似三角形各边之比相等,因此x ′ = n z x x'=\frac{n}{z}x x ′ = z n x 、y ′ = n z y y'=\frac{n}{z}y y ′ = z n y ;
把 x, y, z 表示为齐次坐标中的一个点( x y z 1 ) \begin{pmatrix}
x \\
y \\
z \\
1 \\
\end{pmatrix} ⎝ ⎛ x y z 1 ⎠ ⎞ ,按照上面的推断可得( n x / z n y / z u n k n o w n 1 ) \begin{pmatrix}
nx/z \\
ny/z \\
unknown \\
1 \\
\end{pmatrix} ⎝ ⎛ n x / z n y / z u nkn o w n 1 ⎠ ⎞ ;
在齐次坐标中,四个分量同时乘同一个数,仍是同一个点,因此得到( n x n y s t i l l u n k n o w n z ) \begin{pmatrix}
nx \\
ny \\
still unknown \\
z \\
\end{pmatrix} ⎝ ⎛ n x n y s t i ll u nkn o w n z ⎠ ⎞ ;
所以可以知道,如果要把远平面的点( x y z 1 ) \begin{pmatrix}
x \\
y \\
z \\
1 \\
\end{pmatrix} ⎝ ⎛ x y z 1 ⎠ ⎞ 投影到近平面的点( n x n y s t i l l u n k n o w n z ) \begin{pmatrix}
nx \\
ny \\
still unknown \\
z \\
\end{pmatrix} ⎝ ⎛ n x n y s t i ll u nkn o w n z ⎠ ⎞ ,就可以通过乘上M p e r s p → o r t h o M_{persp \rightarrow ortho} M p ers p → or t h o 矩阵实现;
这样就可以推断,M p e r s p → o r t h o M_{persp \rightarrow ortho} M p ers p → or t h o 等于( n 0 0 0 0 n 0 0 ? ? ? ? 0 0 1 0 ) \begin{pmatrix}
n & 0 & 0 & 0 \\
0 & n & 0 & 0 \\
? & ? & ? & ? \\
0 & 0 & 1 & 0 \\
\end{pmatrix} ⎝ ⎛ n 0 ? 0 0 n ? 0 0 0 ? 1 0 0 ? 0 ⎠ ⎞ ;
接下来是两个观察:
近平面上的点,挤压完仍是同一个点;
远平面上点的 z 坐标,挤压完仍是不变的;
**近平面:**如果有一个近平面上的点,它就可以这样转化:( x y n 1 ) → ( x y n 1 ) = = ( n x n y n 2 n ) \begin{pmatrix}
x \\
y \\
n \\
1 \\
\end{pmatrix}
\rightarrow
\begin{pmatrix}
x \\
y \\
n \\
1 \\
\end{pmatrix}
==
\begin{pmatrix}
nx \\
ny \\
n^2 \\
n \\
\end{pmatrix} ⎝ ⎛ x y n 1 ⎠ ⎞ → ⎝ ⎛ x y n 1 ⎠ ⎞ == ⎝ ⎛ n x n y n 2 n ⎠ ⎞ ;
将这个特殊的 case 代进之前的矩阵公式中:M p e r s p → o r t h o ( x y n 1 ) = ( n x n y n 2 n ) M_{persp \rightarrow ortho}
\begin{pmatrix}
x \\
y \\
n \\
1 \\
\end{pmatrix}
=
\begin{pmatrix}
nx \\
ny \\
n^2 \\
n \\
\end{pmatrix} M p ers p → or t h o ⎝ ⎛ x y n 1 ⎠ ⎞ = ⎝ ⎛ n x n y n 2 n ⎠ ⎞ ;
对照乘积中的n 2 n^2 n 2 ,可得矩阵第三行会是 (0, 0, A, B),之所以有 A、B 是因为无法确定如何组合出n 2 n^2 n 2 ;
这里推出的公式可以简化为:A n + B = n 2 An+B=n^2 A n + B = n 2 ;
**远平面:**这次的特殊 case 是远平面的中心点,它挤压之后所有坐标都不会变;
可得推论:( 0 0 f 1 ) → ( 0 0 f 1 ) = = ( 0 0 f 2 f ) \begin{pmatrix}
0 \\
0 \\
f \\
1 \\
\end{pmatrix}
\rightarrow
\begin{pmatrix}
0 \\
0 \\
f \\
1 \\
\end{pmatrix}
==
\begin{pmatrix}
0 \\
0 \\
f^2 \\
f \\
\end{pmatrix} ⎝ ⎛ 0 0 f 1 ⎠ ⎞ → ⎝ ⎛ 0 0 f 1 ⎠ ⎞ == ⎝ ⎛ 0 0 f 2 f ⎠ ⎞ ;
代入矩阵公式,顺便简化一下得:A f + B = f 2 Af+B=f^2 A f + B = f 2 ;
结合两个公式解得:A = n + f A=n+f A = n + f 、B = − n f B=-nf B = − n f ;
所以最终的矩阵就是:( n 0 0 0 0 n 0 0 0 0 n + f − n f 0 0 1 0 ) \begin{pmatrix}
n & 0 & 0 & 0 \\
0 & n & 0 & 0 \\
0 & 0 & n+f & -nf \\
0 & 0 & 1 & 0 \\
\end{pmatrix} ⎝ ⎛ n 0 0 0 0 n 0 0 0 0 n + f 1 0 0 − n f 0 ⎠ ⎞ ,这样就将透视投影的公式变成只关于近平面和远平面的 z 坐标了;
别急,M p e r s p → o r t h o M_{persp \rightarrow ortho} M p ers p → or t h o 只是做挤压的矩阵,挤压完还要做正交投影才是最终结果;
加上正交投影应该是这样:M p e r s p = M o r t h o M p e r s p → o r t h o M_{persp}=M_{ortho}M_{persp \rightarrow ortho} M p ers p = M or t h o M p ers p → or t h o ;
**作业:**对于 z 在 n 和 f 中间的一个点,比如 (n+f)/2,它在挤压后是离远平面近还是近平面近?