Swift - LeetCode - 环形链表

937 阅读4分钟

携手创作,共同成长!这是我参与「掘金日新计划 · 8 月更文挑战」的第9天,点击查看活动详情 

题目

给你一个链表的头节点 head,判断链表中是否有环。

如果链表中有某个节点,可以通过连续跟踪 next 指针再次到达,则链表中存在环。为了表示给定链表中的环,评测系统内部使用整数 pos 来表示链表尾连接到链表中的位置(索引从 0 开始)。 注意:pos 不作为参数进行传递。仅仅是为了标识链表的实际情况。

如果链表中存在环,则返回 true。 否则,返回 false

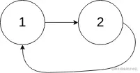
示例 1:

image.png

  • 输入:head = [3,2,0,-4], pos = 1
  • 输出:true
  • **解释:**链表中有一个环,其尾部连接到第二个节点。

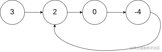
示例 2:

image.png

  • 输入:head = [1,2], pos = 0
  • 输出:true
  • **解释:**链表中有一个环,其尾部连接到第一个节点。

示例 3:

image.png

  • 输入:head = [1], pos = -1
  • 输出:false
  • **解释:**链表中没有环。

方法一:哈希表

思路及解法

最容易想到的方法是遍历所有节点,每次遍历到一个节点时,判断该节点此前是否被访问过。

具体地,我们可以使用哈希表来存储所有已经访问过的节点。每次我们到达一个节点,如果该节点已经存在于哈希表中,则说明该链表是环形链表,否则就将该节点加入哈希表中。重复这一过程,直到我们遍历完整个链表即可。

代码

class Solution {
    func hasCycle(_ head: ListNode?) -> Bool {
        var tempNode: ListNode? = head
        var nodeMap: [Int : ListNode?] = [Int : ListNode?]()
        while nil != tempNode {
            if (nil != nodeMap[(tempNode?.val)!]) {
                return true
            }
            nodeMap[(tempNode?.val)!] = tempNode
            tempNode = tempNode?.next
        }
        return false
    }
}

复杂度分析

  • 时间复杂度:O(N),其中 N 是链表中的节点数。最坏情况下我们需要遍历每个节点一次。

  • 空间复杂度:O(N),其中 N 是链表中的节点数。主要为哈希表的开销,最坏情况下我们需要将每个节点插入到哈希表中一次。

方法二:快慢指针

思路及解法

本方法需要读者对「Floyd 判圈算法」(又称龟兔赛跑算法)有所了解。

假想「乌龟」和「兔子」在链表上移动,「兔子」跑得快,「乌龟」跑得慢。当「乌龟」和「兔子」从链表上的同一个节点开始移动时,如果该链表中没有环,那么「兔子」将一直处于「乌龟」的前方;如果该链表中有环,那么「兔子」会先于「乌龟」进入环,并且一直在环内移动。等到「乌龟」进入环时,由于「兔子」的速度快,它一定会在某个时刻与乌龟相遇,即套了「乌龟」若干圈。

我们可以根据上述思路来解决本题。具体地,我们定义两个指针,一快一慢。慢指针每次只移动一步,而快指针每次移动两步。初始时,慢指针在位置 head,而快指针在位置 head.next。这样一来,如果在移动的过程中,快指针反过来追上慢指针,就说明该链表为环形链表。否则快指针将到达链表尾部,该链表不为环形链表。

细节 为什么我们要规定初始时慢指针在位置 head,快指针在位置 head.next,而不是两个指针都在位置 head(即与「乌龟」和「兔子」中的叙述相同)?

观察下面的代码,我们使用的是 while 循环,循环条件先于循环体。这里循环条件是判断快指针是否为空,在循环里判断快慢指针是否相等,如果我们将两个指针初始都置于 head,那么 while 循环中 slow === fast 就必然成立。因此,我们可以假想一个在 head 之前的虚拟节点,慢指针从虚拟节点移动一步到达 head,快指针从虚拟节点移动两步到达 head.next,这样我们就可以使用 while 循环了。

代码

class Solution {
    func hasCycle(_ head: ListNode?) -> Bool {
        var slow: ListNode? = head
        var fast: ListNode? = head?.next
        while nil != fast {
            if slow === fast {
                return true
            }
            slow = slow?.next
            fast = fast?.next?.next
        }
        return false
    }
}

复杂度分析

  • 时间复杂度:O(N),其中 N 是链表中的节点数。
    • 当链表中不存在环时,快指针将先于慢指针到达链表尾部,链表中每个节点至多被访问两次。
    • 当链表中存在环时,每一轮移动后,快慢指针的距离将减小一。而初始距离为环的长度,因此至多移动 N 轮。
  • 空间复杂度:O(1)。我们只使用了两个指针的额外空间。