【刷题打卡】141. 环形链表

69 阅读1分钟

携手创作,共同成长!这是我参与「掘金日新计划 · 8 月更文挑战」的第2天,点击查看活动详情

一、题目描述:

141. 环形链表 - 力扣(LeetCode) (leetcode-cn.com)

给你一个链表的头节点 head ,判断链表中是否有环。

如果链表中有某个节点,可以通过连续跟踪 next 指针再次到达,则链表中存在环。 为了表示给定链表中的环,评测系统内部使用整数 pos 来表示链表尾连接到链表中的位置(索引从 0 开始)。注意pos 不作为参数进行传递 。仅仅是为了标识链表的实际情况。

如果链表中存在环 ,则返回 true 。 否则,返回 false

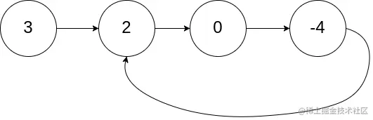
示例 1:

image.png

输入:head = [3,2,0,-4], pos = 1
输出:true
解释:链表中有一个环,其尾部连接到第二个节点。

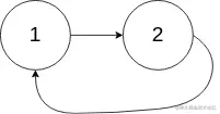
示例 2:

image.png

输入:head = [1,2], pos = 0
输出:true
解释:链表中有一个环,其尾部连接到第一个节点。

示例 3:

image.png

输入:head = [1], pos = -1
输出:false
解释:链表中没有环。

  提示:

链表中节点的数目范围是 [0, 104] -105 <= Node.val <= 105 pos 为 -1 或者链表中的一个 有效索引 。  

进阶:你能用 O(1)(即,常量)内存解决此问题吗?

二、思路分析:

我的理解:

  1. 因为快指针移动速度是慢指针的2倍,那么当链表中有环时,则快指针会在环中与慢指针相遇。
  2. 第一次相遇时,假设慢指针 slow 走了 k 步,那么快指针 fast 一定走了 2k 步,也就是说比 slow 多走了 k 步(也就是环的长度)。

三、AC 代码:

bool hasCycle(struct ListNode *head) {
    /* 定义快慢指针 */
    struct ListNode *fast, *slow;
    /* 都指向表头结点 */
    fast = slow = head;
    while (fast && fast->next) {
        slow= slow->next;
        fast = fast->next->next;
        /* 因为快指针移动速度是慢指针的两倍
         * 所以当进入环中,快指针一定会赶上慢指针
         */
        if (fast == slow) {
            return true;
        }
    }
    return false;
}

范文参考

失传已久的JavsScript天秀解法~ - 环形链表 - 力扣(LeetCode)