大数据 Shuffle 原理与实践 | 青训营笔记

287 阅读5分钟

这是我参与 「第四届青训营 」 笔记创作活动的第5天

shuffle概述

  • Mapreduce

    • 《MapReduce:Simplified Data Processing on Large Clusters》
  • 经典shuffle过程

    • img
    • map阶段
    • shuffle阶段
    • reduce阶段
  • 为什么shuffle如此重要

    • 数据shuffle表示了不同分区数据交换的过程,不同的shuffle策略性能差异较大。目前在各个引擎中shuffle都是优化的重点,在spark框架中,shuffle是支撑spark进行大规模复杂数据处理的基石

shuffle算子

  • 常见的触发shuffle的算子

    • repartition

      • coalesce、repartition
    • ByKey

      • groupByKey、reduceByKey、aggregateByKey、combineByKey、sortByKeysortBy
    • Join

      • cogroup、join
repartitionByKeyJoindistinct
coalescegroupByKeycogroup
repartitionreduceByKeyjoin
aggregateByKey
combineByKey
sortByKeysortBy
  • 算子使用例子
 val text = sc.textFile("mytextfile.txt")
 val counts = text
   .flatMap(line => line.split(" "))
   .map(word => (word,1))
   .reduceByKey(_+_)
 counts.collect
 复制代码
  • Shuffle Dependency

    • 创建会产生shuffle的RDD时,RDD会创建Shuffle Dependency来描述Shuffle相关的信息

    • 构造函数

      • A single key-value pair RDD, i.e. RDD[Product2[K, V]],
      • Partitioner (available as partitioner property),
      • Serializer,
      • Optional key ordering (of Scala’s scala.math.Ordering type),
      • Optional Aggregator,
      • mapSideCombine flag which is disabled (i.e. false) by default.
  • Partitioner

    • 用来将record映射到具体的partition的方法

    • 接口

      • numberPartitions
      • getPartition
    •  abstract class partition extends 
      
  • Aggregator

    • 在map侧合并部分record的函数

    • 接口

      • createCombiner:只有一个value的时候初始化的方法
      • mergeValue:合并一个value到Aggregator中
      • mergeCombiners:合并两个Aggregator
    • 例如对于所有的单词,将其进行排序

    • 在reducer进行count

shuffle过程(重点)

  • spark中的shuffle变迁过程

    • HashShuffle--写数据优化

      • 优点:不需要排序
      • 缺点:打开,创建的文件过多
    • SortShuffle

      • 优点:打开的文件少、支持map-side combine
      • 缺点:需要排序
    • TungstenSortShuffle

      • 优点:更快的排序效率,更高的内存利用效率
      • 缺点:不支持map-side combine
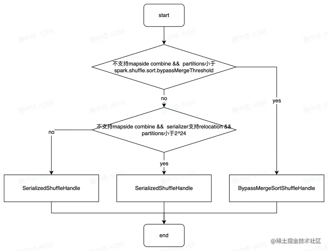
  • Register Shuffle

    • register shuffle 时做的最重要的事情是根据不同条件创建不同的shuffle handle
    • 由action算子触发DAG Scheduler进行shuffle register
    • Shuffle Register会根据不同的条件决定注册不同的ShuffleHandle

img

  • 三种ShuffleHandle对应了三种不同的ShuffleWriter的实现

    • img

    • BypassMergeSortShuffleWriter:HashShuffle

bypassmergeshufflewriter.png - 不需要排序,节省时间 - 写操作的时候会打开大量文件 - 类似于Hash Shuffle

-   UnsafeShuffleWriter:TunstonShuffle
    -   使用类似内存页存储序列化数据
    -   数据写入后不再反序列化
    -   只根据 partition 排序 Long Array
    -   数据不移动

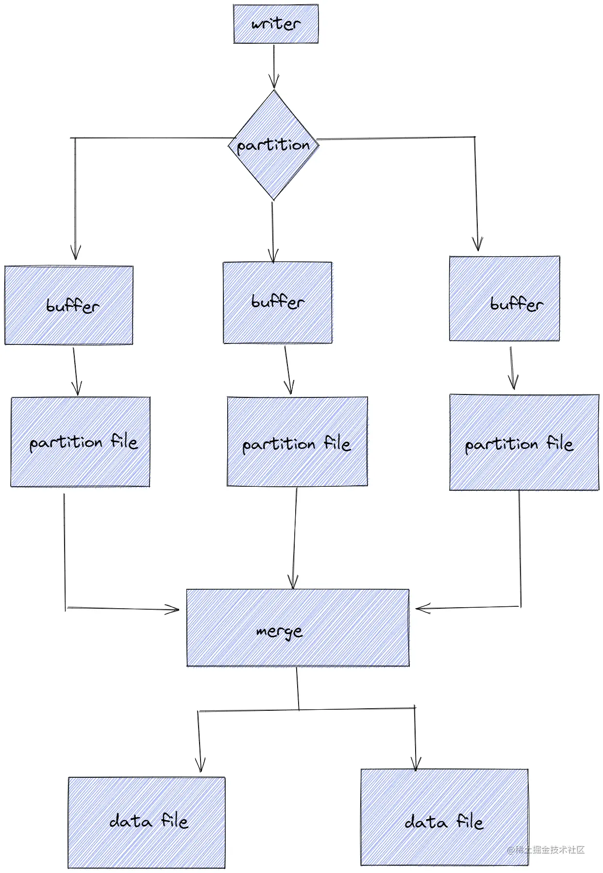
-   SortSHuffleWriter:SortShuffle

    -   支持 combine
    -   需要combine时,使用partitionedAppendOnlyMap,本质是个HashTable
    -   不需要combine时partitionedpairBuffer本质是个array
  • ShuffleReader网络请求流程

    • img

使用netty作为网络框架提供网络服务,并接受reducetask的fetch请求

首先发起openBlocks请求获得streamId,然后再处理stream或者chunk请求

位置信息记录在mapOutputtracker中,主要会发送两种类型的请求

  • ShuffleBlockFetchIterator

    • 区分local和remote节省网络消耗

    • 防止OOM

      • maxBytesInFlight
      • maxReqsInFlight
      • maxBlocksInFlightPerAddress
      • maxReqSizeShuffleToMem
      • maxAttemptsOnNettyOOM
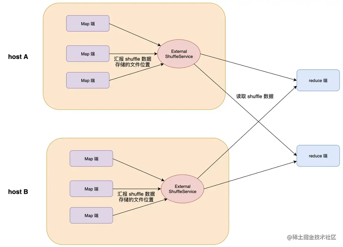
  • External Shuffle Service

    • img

为了解决Executor为了服务数据的fetch请求导致无法退出问题,我们在每个节点上部署一个External Shuffle Service,这样产生数据的Executor在不需要继续处理任务时,可以随意退出。

  • shuffle优化

    • 避免shuffle ——使用broadcast替代join

    •  //传统的join操作会导致shuffle操作。
       //因为两个RDD中,相同的key都需要通过网络拉取到一个节点上,由一个task进行join操作。
       val rdd3 = rdd1.join(rdd2)
       ​
       //Broadcast+map的join操作,不会导致shuffle操作。
       //使用Broadcast将一个数据量较小的RDD作为广播变量。
       val rdd2Data = rdd2.collect()
       val rdd2DataBroadcast = sc.broadcast(rdd2Data)
       ​
       //在rdd1.map算子中,可以从rdd2DataBroadcast中,获取rdd2的所有数据。
       //然后进行遍历,如果发现rdd2中某条数据的key与rdd1的当前数据的key是相同的,那么就判定可以进行join。
       //此时就可以根据自己需要的方式,将rdd1当前数据与rdd2中可以连接的数据,拼接在一起(String或Tuple)。
       val rdd3 = rdd1.map(rdd2DataBroadcast...)
       ​
       //注意,以上操作,建议仅仅在rdd2的数据量比较少(比如几百M,或者一两G)的情况下使用。
       //因为每个Executor的内存中,都会驻留一份rdd2的全量数据。
       复制代码
      
    • 使用可以map-side预聚合的算子

    • Shuffle 参数优化(实际工作会修改的参数)

      • spark.default.parallelism & spark.sql.shuffle.partitions
      • spark.hadoopRDD.ignoreEmptySplits
      • spark.hadoop.mapreduce.input.fileinputformat.split.minsize
      • spark.sql.file.maxPartitionBytes
      • spark.sql.adaptive.enabled && spark.sql.adaptive.shuffle.targetPostShuffleInputSize
      • spark.reducer.maxSizeInFlight
      • spark.reducer.maxReqsInFlight spark.reducer.maxBlocksInFlightPerAddress
    • Shuffle 倾斜优化

      • 什么叫倾斜?有什么危害

      • 解决倾斜方法举例

        • 增大并发度
        • AQE
  • 零拷贝

    • 不使用zero copy
    • 使用sendfile
    • 使用sendfile + DMA gather copy
  • Netty 零拷贝(netty zero copy)

    • 可堆外内存,避免 JVM 堆内存到堆外内存的数据拷贝。
    • CompositeByteBuf 、 Unpooled.wrappedBuffer、 ByteBuf.slice ,可以合并、包装、切分数组,避免发生内存拷贝
    • Netty 使用 FileRegion 实现文件传输,FileRegion 底层封装了 FileChannel#transferTo() 方法,可以将文件缓冲区的数据直接传输到目标 Channel,避免内核缓冲区和用户态缓冲区之间的数据拷贝

Push Shuffle

  • 上一部分所讲的shuffle过程存在哪些问题

    • 数据存储在本地磁盘,没有备份,一旦数据丢失,重算数据代价大
    • IO 并发:大量 RPC 请求(M*R),消耗cpu
    • IO 吞吐:随机读(降低读)、写放大(3X),
    • GC 频繁,影响 NodeManager
  • 为了优化该问题,有很多公司都做了思路相近的优化,push shuffle

  • 为什么需要 push shuffle?

    • AVG IO size 太小,造成大量的随机IO,严重影响磁盘的吞吐
    • M*R 次读请求,造成大量的网络连接,影响性能
  • Magnet主要流程

    • img
    • img
    • bitmap:存储已merge的mapper id ,防止重复merge
    • position offset
  • magnet可靠性

    • 如果map task 输出的Blook

主要为边写边push的模式,在原有的shuffle基础上尝试push聚合数据,但并不强制完成,读取时优先读取push聚合的结果,对于没有来得及完成聚合或者聚合失败的情况,则fallback到原模式。

  • Cloud Shuffle Service架构

    • img
    • Zookeeper WorkerList [服务发现]
    • CSS Worker [Partitions / Disk | Hdfs]
    • Spark Driver [集成启动 CSS Master]
    • CSS Master [Shuffle 规划 / 统计]
    • CSS ShuffleClient [Write / Read]
    • Spark Executor [Mapper + Reducer]
  • Cloud Shuffle Service 读写流程

    • img
  • Cloud Shuffle Service 支持AQE

    • img
    • 在聚合文件时主动将文件切分为若干块,当触发AQE时,按照已经切分好的文件块进行拆分。