Leetcode 删除排序链表中的重复元素 II

97 阅读2分钟

本文已参与「新人创作礼」活动,一起开启掘金创作之路。

image.png

题目描述

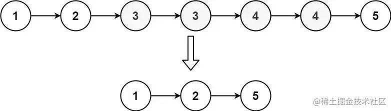
leetcode 第82题:删除排序链表中的重复元素 II 存在一个按升序排列的链表,给你这个链表的头节点 head ,请你删除链表中所有存在数字重复情况的节点,只保留原始链表中 没有重复出现 的数字。 返回同样按升序排列的结果链表。 示例: image.png 输入:head = [1,2,3,3,4,4,5] 输出:[1,2,5]

解题方法一

原址题解

  • 解题思路

使用栈stack来存储链表中的数字 定义变量pop来表示每次出栈数字,初始为None 遍历链表head 若当前节点数字head.val存在于栈中,更新出栈数字 若当前节点数字不等于出栈数字,将节点数字压栈 遍历完成,此时栈中都是不重复的数字,再将栈转为链表返回即可

  • 复杂度

时间复杂度:O(n),n为链表的长度 空间复杂度:O(n),n为栈的大小

  • 代码实现
class Solution:
    def deleteDuplicates(self, head: ListNode) -> ListNode:
        if not head: return head
        stack = []
        pop = None
        while head:
            if head.val in stack:
                pop = stack.pop()
            if head.val!=pop:
                stack.append(head.val)
            head = head.next
        dummy = ListNode()
        cur = dummy
        for v in stack:
            cur.next = ListNode(v)
            cur = cur.next
        return dummy.next
class Solution {
    function deleteDuplicates($head) {
        if(!$head) return $head;
        $stack = [];
        $pop = null;
        while($head){
            if(in_array($head->val,$stack)){
                $pop = array_pop($stack);
            }
            if($pop!==$head->val){
                array_push($stack,$head->val);
            }
            $head = $head->next;
        }
        $dummy = new ListNode();
        $cur = $dummy;
        foreach($stack as $v){
            $cur->next = new ListNode($v);
            $cur = $cur->next;
        }
        return $dummy->next;
    }
}

解题方法二

链表 参照题解

  • 解题思路

由于链表head的头节点可能会被删除 添加一个哑节点指向链表的头节点,得到新的链表dummy 使用指针cur表示当前节点开始遍历链表 如果cur.next.val等于cur.next.next.val 记下cur.next.valtemp,指针后移,将等于temp的节点删除 反之将cur指向cur.next 遍历完成,此时链表中剩余哑节点不重复的节点 跳过哑节点,直接返回dummy.next即可

  • 复杂度

时间复杂度:O(n),n为链表的长度 空间复杂度:O(1)

  • 代码实现
class Solution:
    def deleteDuplicates(self, head: ListNode) -> ListNode:
        if not head: return head
        dummy = ListNode(0,head)
        cur = dummy
        while cur.next and cur.next.next:
            if cur.next.val == cur.next.next.val:
                temp = cur.next.val
                while cur.next and temp==cur.next.val:
                    cur.next = cur.next.next
            else:
                cur = cur.next
        return dummy.next
class Solution {
    function deleteDuplicates($head) {
        if(!$head) return $head;
        $dummy = new ListNode(0,$head);
        $cur = $dummy;   
        while($cur->next && $cur->next->next){
            if($cur->next->val == $cur->next->next->val){
                $temp = $cur->next->val;
                while($cur->next && $temp==$cur->next->val){
                    $cur->next = $cur->next->next;
                }
            }else{
                $cur = $cur->next;
            }
        }
        return $dummy->next;
    }
}