首页
沸点
课程
数据标注
HOT
AI Coding
更多
直播
活动
APP
插件
直播
活动
APP
插件
搜索历史
清空
创作者中心
写文章
发沸点
写笔记
写代码
草稿箱
创作灵感
查看更多
登录
注册
FPGA图像处理-ZYNQ双目立体视觉系统设计
技术洞察TIC
2022-08-03
334
阅读1分钟
双目不仅能精确地测量距离,同时还可以识别刹车灯,车道线,路旁的交通标志等
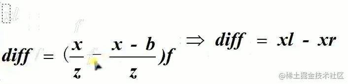
视差计算
技术洞察TIC
智能系统架构师 @重剑无锋
476
文章
547k
阅读
552
粉丝
目录
收起