剑指 Offer 52. 两个链表的第一个公共节点

69 阅读4分钟

携手创作,共同成长!这是我参与「掘金日新计划 · 8 月更文挑战」的第5天,点击查看活动详情

Leetcode : leetcode-cn.com/problems/li…

GitHub : github.com/nateshao/le…

剑指 Offer 52. 两个链表的第一个公共节点

题目描述 :输入两个链表,找出它们的第一个公共节点。

难度:简单

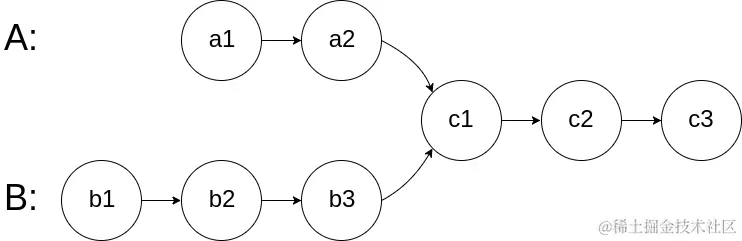
如下面的两个链表:

在节点 c1 开始相交。

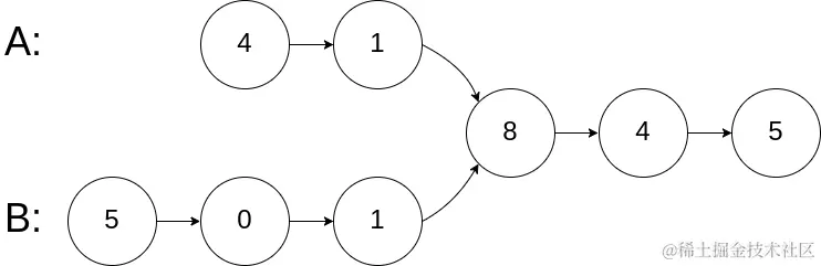
示例 1:

 输入:intersectVal = 8, listA = [4,1,8,4,5], listB = [5,0,1,8,4,5], skipA = 2, skipB = 3
 输出:Reference of the node with value = 8
 输入解释:相交节点的值为 8 (注意,如果两个列表相交则不能为 0)。从各自的表头开始算起,链表 A[4,1,8,4,5],链表 B[5,0,1,8,4,5]。在 A 中,相交节点前有 2 个节点;在 B 中,相交节点前有 3 个节点。

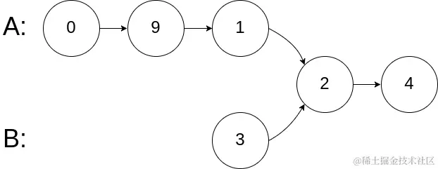
示例 2:

输入:intersectVal = 2, listA = [0,9,1,2,4], listB = [3,2,4], skipA = 3, skipB = 1 输出:Reference of the node with value = 2 输入解释:相交节点的值为 2 (注意,如果两个列表相交则不能为 0)。从各自的表头开始算起,链表 A 为 [0,9,1,2,4],链表 B 为 [3,2,4]。在 A 中,相交节点前有 3 个节点;在 B 中,相交节点前有 1 个节点。

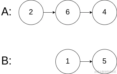
示例 3:

输入:intersectVal = 0, listA = [2,6,4], listB = [1,5], skipA = 3, skipB = 2 输出:null 输入解释:从各自的表头开始算起,链表 A 为 [2,6,4],链表 B 为 [1,5]。由于这两个链表不相交,所以 intersectVal 必须为 0,而 skipA 和 skipB 可以是任意值。 解释:这两个链表不相交,因此返回 null。

思路:

方法一:双指针

一句话概括,初始化两个指针快指针A,慢指针B,如果A,为空,就走到B.next,否则如果B为null,就返回A.next。最后返回A。

Go

func getIntersectionNode(headA, headB *ListNode) *ListNode {
   A, B := headA, headB
   for A != B {
      if A != nil {
         A = A.Next
      } else {
         A = headB
      }
      if B != nil {
         B = B.Next
      } else {
         B = headA
      }
   }
   return A
}

image.png

设「[第一个公共节点」为 node ,「链表 headA」的节点数量为 a ,「链表 headB」的节点数为b , 「两链表的公共尾部」的节点数量为 c ,则有:

  • 头节点 headAnode 前,共有 a - c 个节点;
  • 头节点 headBnode 前,共有 b - c 个节点;

image.png

考虑构建两个节点指针 A , B 分别指向两链表头节点 headA , headB ,做如下操作:

  • 指针 A 先遍历完链表headA ,再开始遍历链表 headB ,当走到 node 时,共走步数为:a+(bc)
  • 指针 B 先遍历完链表 headB ,再开始遍历链表 headA ,当走到 node 时,共走步数为:b+(ac)

如下式所示,此时指针 A , B 重合,并有两种情况:a+(bc)=b+(ac)

  1. 若两链表 公共尾部 (即 c > 0 ) :指针 A , B 同时指向「第一个公共节点」node
  2. 若两链表 公共尾部 (即 c = 0 ) :指针 A , B 同时指向 null 。

因此返回 A 即可。

复杂度分析:

  • 时间复杂度 O(a+b): 最差情况下(即|a-b|=1,c=0),此时需遍历a +b个节点。.
  • 空间复杂度 O(1) :节点指针A,B使用常数大小的额外空间。
 package com.nateshao.sword_offer.topic_39_getIntersectionNode;
 ​
 /**
  * @date Created by 邵桐杰 on 2022/1/1 23:45
  * @微信公众号 千羽的编程时光
  * @个人网站 www.nateshao.cn
  * @博客 https://nateshao.gitee.io
  * @GitHub https://github.com/nateshao
  * @Gitee https://gitee.com/nateshao
  * Description:
  */
 public class Solution {
 ​
     public ListNode getIntersectionNode(ListNode headA, ListNode headB) {
         ListNode A = headA, B = headB;
         while (A != B) {
             A = A != null ? A.next : headB;
             B = B != null ? B.next : headA;
         }
         return A;
     }
 ​
     public class ListNode {
         int val;
         ListNode next;
 ​
         ListNode(int x) {
             val = x;
             next = null;
         }
     }
 }

方法二:哈希集合

判断两个链表是否相交,可以使用哈希集合存储链表节点。 首先遍历链表headA,并将链表headA中的每个节点加入哈希集合中。然后遍历链表headB,对于遍历到的 每个节点,判断该节点是否在哈希集合中:

  • 如果当前节点不在哈希集合中,则继续遍历下一个节点;
  • 如果当前节点在哈希集合中,则后面的节点都在哈希集合中,即从当前节点开始的所有节点都是两个链表的公共节点,因此在链表headB中遍历到的第一个在哈希集合中的节点就是两个链表的第一个公共节点,返回该节点。

如果链表headB中的所有节点都不在哈希集合中,则两个链表不相交,返回null

     /**
      * 哈希集合
      * @param headA
      * @param headB
      * @return
      */
     public ListNode getIntersectionNode2(ListNode headA, ListNode headB) {
         Set<ListNode> visited = new HashSet<>();
         ListNode temp = headA;
         while (temp!=null){
             visited.add(temp);
             temp = temp.next;
         }
 ​
         temp = headB;
         while (headB!=null){
             if (visited.contains(temp))return temp;
             temp=temp.next;
         }
         return null;
     }
 ​

复杂度分析

  • 时间复杂度: O(m +n),中m和n是分别是链表headA和headB的长度。需要遍历两个链表各一次。
  • 空间复杂度: O(m),其中m是链表headA的长度。需要使用哈希集合存储链表headA中的全部节点。

参考链接:

  1. leetcode-cn.com/problems/li…
  2. leetcode-cn.com/problems/li…

\