力扣算法JS LC [96. 不同的二叉搜索树] LC [416. 分割等和子集]

92 阅读1分钟

 LC 96. 不同的二叉搜索树

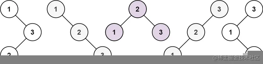
给你一个整数 n ,求恰由 n 个节点组成且节点值从 1n 互不相同的 二叉搜索树 有多少种?返回满足题意的二叉搜索树的种数。

示例 1:

编辑

输入:n = 3
输出:5

示例 2:

输入:n = 1
输出:1

解题思路:遍历整数 n ,让每个数都去做一次根节点,然后求出每个可能然后加起来

代码:

var numTrees = function(n) {
    let dp = new Array(n + 1).fill(0);
    dp[0] = 1;
    dp[1] = 1;

    for(let i = 2; i <= n; i++) {
        for(let j = 1; j <= i; j++) {
            dp[i] += dp[j - 1] * dp[i - j];
        }
    }

    return dp[n];
};

LC 416. 分割等和子集

给你一个 只包含正整数 的 非空 数组 nums 。请你判断是否可以将这个数组分割成两个子集,使得两个子集的元素和相等。

示例 1:

输入:nums = [1,5,11,5]
输出:true
解释:数组可以分割成 [1, 5, 5][11]

示例 2:

输入:nums = [1,2,3,5]
输出:false
解释:数组不能分割成两个元素和相等的子集。

解题思路:判断数组中是否有加起来等于数组和一般的集合

代码

var canPartition = function(nums) {
    const sum = nums.reduce((a,b) => a + b);
    if(sum % 2 || nums.length < 2) { //数组和是单数的和长度小于二的直接 return false
        return false;
    }
    const half = sum / 2;
    const res = Array(half + 1).fill(0); //创建一个空数组
    for(let i = 0; i < nums.length; i++) {
        for(let j = half; j >= nums[i]; j--) {
            res[j] = Math.max(res[j], res[j - nums[i]] + nums[i]) //01背包问题公式
            if(res[j] === half) {
                return true;
            }
        }
    }
    return res[half] === half;
};

\