从中序与后序遍历序列构造二叉树 · 8 月更文挑战

942 阅读2分钟

携手创作,共同成长!这是我参与「掘金日新计划 · 8 月更文挑战」的第5天,点击查看活动详情

一、题目描述:

给定两个整数数组 inorder 和 postorder ,其中 inorder 是二叉树的中序遍历, postorder 是同一棵树的后序遍历,请你构造并返回这颗 二叉树 。

img

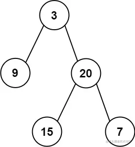
示例 1:

输入:inorder = [9,3,15,20,7], postorder = [9,15,7,20,3] 输出:[3,9,20,null,null,15,7] 示例 2:

输入:inorder = [-1], postorder = [-1] 输出:[-1]

提示:

1 <= inorder.length <= 3000 postorder.length == inorder.length -3000 <= inorder[i], postorder[i] <= 3000 inorder 和 postorder 都由 不同 的值组成 postorder 中每一个值都在 inorder 中 inorder 保证是树的中序遍历 postorder 保证是树的后序遍历

来源:力扣(LeetCode) 链接:leetcode.cn/problems/co… 著作权归领扣网络所有。商业转载请联系官方授权,非商业转载请注明出处。

二、思路分析:

后序遍历:先遍历左子树,再遍历右子树和根结点。

用画图解决该问题。

从中序与后序遍历序列构造二叉树:先在后序遍历序列中找到根结点,再在中序遍历序列中根据根结点划分左右子树的中序遍历序列,也在后序遍历序列中根据根结点划分左右子树的前序遍历序列,递归此步骤即可。

当在后序遍历序列中的pr位置处找到根结点,则根结点在中序遍历序列中的位置为k:

左子树的中序遍历序列为 [il, k - 1] ,右子树的中序遍历序列为 [k + 1, ir] 。

左子树的后序遍历序列为 [pl, pl + k - 1 - il] ,右子树的前序遍历序列为 [pl + k - 1 - il + 1, pr - 1] 。

三、AC 代码:

​
/**
 * Definition for a binary tree node.
 * public class TreeNode {
 *     int val;
 *     TreeNode left;
 *     TreeNode right;
 *     TreeNode() {}
 *     TreeNode(int val) { this.val = val; }
 *     TreeNode(int val, TreeNode left, TreeNode right) {
 *         this.val = val;
 *         this.left = left;
 *         this.right = right;
 *     }
 * }
 */
class Solution {
    Map<Integer, Integer> hm = new HashMap<>();
​
    public TreeNode buildTree(int[] inorder, int[] postorder) {
        for (int i = 0; i < inorder.length; ++i) {
            hm.put(inorder[i], i);
        }
        return dfs(inorder, 0, inorder.length - 1, postorder, 0, postorder.length - 1);
    }
​
    TreeNode dfs(int[] in, int il, int ir, int[] post, int pl, int pr) {
        if (il > ir) {
            return null;
        }
        int k = hm.get(post[pr]);
        TreeNode node = new TreeNode(post[pr]);
        node.left = dfs(in, il, k - 1, post, pl, pl + k - 1 - il);
        node.right = dfs(in, k + 1, ir, post, pl + k - il, pr - 1);
        return node;
    }
}
​

四、总结:

image.png

掘友们,解题不易,留下个赞或评论再走吧!谢啦~ 💐

希望对你有帮助

期待下次再见~

🌇 点赞 👍 收藏 ⭐留言 📝 一键三连 ~关注Jam,从你我做起!