Java基于动态规划法实现求最长公共子序列及最长公共子字符串示例

1,309 阅读5分钟

携手创作,共同成长!这是我参与「掘金日新计划 · 8 月更文挑战」的第4天,点击查看活动详情

Java基于动态规划法实现求最长公共子序列及最长公共子字符串示例

Java基于动态规划法实现求最长公共子序列及最长公共子字符串,简单描述了动态规划法的概念、原理,并结合实例形式分析了Java使用动态规划法求最长公共子序列以及最长公共子字符串相关实现技巧,需要的朋友可以参考下

动态规划法

经常会遇到复杂问题不能简单地分解成几个子问题,而会分解出一系列的子问题。简单地采用把大问题分解成子问题,并综合子问题的解导出大问题的解的方法,问题求解耗时会按问题规模呈幂级数增加。

为了节约重复求相同子问题的时间,引入一个数组,不管它们是否对最终解有用,把所有子问题的解存于该数组中,这就是动态规划法所采用的基本方法。

【问题】 求两字符序列的最长公共字符子序列(算法书例题)

问题描述:字符序列的子序列是指从给定字符序列中随意地(不一定连续)去掉若干个字符(可能一个也不去掉)后所形成的字符序列。令给定的字符序列X=“x0,x1,…,xm-1”,序列Y=“y0,y1,…,yk-1”是X的子序列,存在X的一个严格递增下标序列<i0,i1,…,ik-1>,使得对所有的j=0,1,…,k-1,有xij=yj。例如,X=“ABCBDAB”,Y=“BCDB”是X的一个子序列。

考虑最长公共子序列问题如何分解成子问题,设A=“a0,a1,…,am-1”,B=“b0,b1,…,bm-1”,并Z=“z0,z1,…,zk-1”为它们的最长公共子序列。不难证明有以下性质:

(1) 如果am-1=bn-1,则zk-1=am-1=bn-1,且“z0,z1,…,zk-2”是“a0,a1,…,am-2”和“b0,b1,…,bn-2”的一个最长公共子序列;

(2) 如果am-1!=bn-1,则若zk-1!=am-1,蕴涵“z0,z1,…,zk-1”是“a0,a1,…,am-2”和“b0,b1,…,bn-1”的一个最长公共子序列;

(3) 如果am-1!=bn-1,则若zk-1!=bn-1,蕴涵“z0,z1,…,zk-1”是“a0,a1,…,am-1”和“b0,b1,…,bn-2”的一个最长公共子序列。

这样,在找A和B的公共子序列时,如有am-1=bn-1,则进一步解决一个子问题,找“a0,a1,…,am-2”和“b0,b1,…,bm-2”的一个最长公共子序列;如果am-1!=bn-1,则要解决两个子问题,找出“a0,a1,…,am-2”和“b0,b1,…,bn-1”的一个最长公共子序列和找出“a0,a1,…,am-1”和“b0,b1,…,bn-2”的一个最长公共子序列,再取两者中较长者作为A和B的最长公共子序列。

求解:

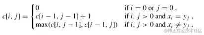
引进一个二维数组c[][],用c[i][j]记录X[i]与Y[j] 的LCS 的长度,b[i][j]记录c[i][j]是通过哪一个子问题的值求得的,以决定搜索的方向。
我们是自底向上进行递推计算,那么在计算c[i,j]之前,c[i-1][j-1],c[i-1][j]与c[i][j-1]均已计算出来。此时我们根据X[i] = Y[j]还是X[i] != Y[j],就可以计算出c[i][j]。

问题的递归式写成:

算法分析:

由于每次调用至少向上或向左(或向上向左同时)移动一步,故最多调用(m * n)次就会遇到i = 0或j = 0的情况,此时开始返回。返回时与递归调用时方向相反,步数相同,故算法时间复杂度为Θ(m * n)。

Java代码实现:

public class LCSProblem
{
  public static void main(String[] args)
  {
    //保留空字符串是为了getLength()方法的完整性也可以不保留
    //但是在getLength()方法里面必须额外的初始化c[][]第一个行第一列
    String[] x = {"", "A", "B", "C", "B", "D", "A", "B"};
    String[] y = {"", "B", "D", "C", "A", "B", "A"};
    int[][] b = getLength(x, y);
    Display(b, x, x.length-1, y.length-1);
  }
  /**
   * @param x
   * @param y
   * @return 返回一个记录决定搜索的方向的数组
   */
  public static int[][] getLength(String[] x, String[] y)
  {
    int[][] b = new int[x.length][y.length];
    int[][] c = new int[x.length][y.length];
    for(int i=1; i<x.length; i++)
    {
      for(int j=1; j<y.length; j++)
      {
        //对应第一个性质
        if( x[i] == y[j])
        {
          c[i][j] = c[i-1][j-1] + 1;
          b[i][j] = 1;
        }
        //对应第二或者第三个性质
        else if(c[i-1][j] >= c[i][j-1])
        {
          c[i][j] = c[i-1][j];
          b[i][j] = 0;
        }
        //对应第二或者第三个性质
        else
        {
          c[i][j] = c[i][j-1];
          b[i][j] = -1;
        }
      }
    }
    return b;
  }
  //回溯的基本实现,采取递归的方式
  public static void Display(int[][] b, String[] x, int i, int j)
  {
    if(i == 0 || j == 0)
      return;
    if(b[i][j] == 1)
    {
      Display(b, x, i-1, j-1);
      System.out.print(x[i] + " ");
    }
    else if(b[i][j] == 0)
    {
      Display(b, x, i-1, j);
    }
    else if(b[i][j] == -1)
    {
      Display(b, x, i, j-1);
    }
  }
}


运行结果:

B C B A

最长公共子字符串:类似最长子序列,只是公共子字符串要求必须是连续的。

java实现代码如下:

public class stringCompare {
  //在动态规划矩阵生成方式当中,每生成一行,前面的那一行就已经没有用了,因此这里只需使用一维数组,而不是常用的二位数组
  public static void getLCString(char[] str1, char[] str2) {
    int len1, len2;
    len1 = str1.length;
    len2 = str2.length;
    int maxLen = len1 > len2 ? len1 : len2;
    int[] max = new int[maxLen];// 保存最长子串长度的数组
    int[] maxIndex = new int[maxLen];// 保存最长子串长度最大索引的数组
    int[] c = new int[maxLen];
    int i, j;
    for (i = 0; i < len2; i++) {
      for (j = len1 - 1; j >= 0; j--) {
        if (str2[i] == str1[j]) {
          if ((i == 0) || (j == 0))
            c[j] = 1;
          else
            c[j] = c[j - 1] + 1;//此时C[j-1]还是上次循环中的值,因为还没被重新赋值
        } else {
          c[j] = 0;
        }
        // 如果是大于那暂时只有一个是最长的,而且要把后面的清0;
        if (c[j] > max[0]) {
          max[0] = c[j];
          maxIndex[0] = j;
          for (int k = 1; k < maxLen; k++) {
            max[k] = 0;
            maxIndex[k] = 0;
          }
        }
        // 有多个是相同长度的子串
        else if (c[j] == max[0]) {
          for (int k = 1; k < maxLen; k++) {
            if (max[k] == 0) {
              max[k] = c[j];
              maxIndex[k] = j;
              break; // 在后面加一个就要退出循环了
            }
          }
        }
      }
      for (int temp : c) {
        System.out.print(temp);
      }
      System.out.println();
    }
    //打印最长子字符串
    for (j = 0; j < maxLen; j++) {
      if (max[j] > 0) {
        System.out.println("第" + (j + 1) + "个公共子串:");
        for (i = maxIndex[j] - max[j] + 1; i <= maxIndex[j]; i++)
          System.out.print(str1[i]);
        System.out.println(" ");
      }
    }
  }
  public static void main(String[] args) {
    String str1 = new String("binghaven");
    String str2 = new String("jingseven");
    getLCString(str1.toCharArray(), str2.toCharArray());
  }
}


输出:

000000000

010000000
002000001
000300000
000000000
000000010
000000100
000000020
001000003
第1个公共子串:
ing
第2个公共子串:
ven