删除链表的倒数第N个节点

95 阅读1分钟

携手创作,共同成长!这是我参与「掘金日新计划 · 8 月更文挑战」的第4天,点击查看活动详情

  • 实现俩个函数,一个可以删除单链表中倒数第N个节点,另一个可以删除双链表中倒数第N个节点
  • 要求:如果链表长度为L,则时间复杂度为O(L),空间复杂度为O(1)

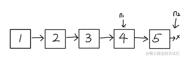
力扣对应题目:leetcode.cn/problems/SL… 删除链表的倒数第n个节点 image.png

双指针

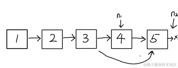
image.png

删除,直接3指向5,即4的前一个节点,指向4的后一个节点

image.png n1.next = n1.next.next

当n = 1时候,

image.png

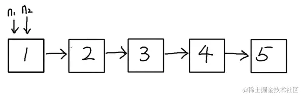
在第一个节点之前,创建0节点,空节点

如果n值小于0,如果找到要删除节点的前一个节点呢?

  1. 重新从头节点开始走,每移动一步,就让N的值+1
  2. 当N = 0,移动停止,移动到的节点就是要删除节点的前一个节点
public Node removeLastKthNode(Node head, int lastKth){
    if(head == null || lastKth < 1){
        return head;
    }
    Node cur = head;
    while(cur != null){
        lastKth--;
        cur = cur.next;
    }
    if(lastKth == 0){
        head = head;
    }
    if(lashKth < 0){
        cur = head;
        while(++lastKth != 0){
            cur = cur.next;
        }
            cur.next = cur.next.next;
    }
    return head;
}
  • 时间复杂度:O(L)O(L)O(L),其中 LLL 是链表的长度。
  • 空间复杂度:O(1)O(1)O(1)。

对于双链表的调整几乎和单链表的处理方式一样,注意last指针的重连,具体实现如下:

public Node removeLastKthNode(Node head, int lastKth){
    if(head == null || lastKth < 1){
        return head;
    }
    Node cur = head;
    while(cur != null){
        lastKth--;
        cur = cur.next;
    }
    if(lastKth == 0){
        head = head。next;
        head.last = null;
    }
    if(lashKth < 0){
        cur = head;
        while(++lastKth != 0){
            cur = cur.next;
        }
        Node newNext = cur.next.next;
        cur.next = newNext;
        if(newNext != null){
            newNext.last = cur;
        }
    }
    return head;
}