量化金融 板块 1 - 6 - 鞅

271 阅读1分钟

量化金融 板块 1 - 6 - 鞅

欢迎点赞,收藏~更多量化课程持续更新ing

在板块1 - 6中,您将学习鞅是概率和数学金融中的一个关键概念,“鞅”这个词可能指的是非常不同的想法,例如一个没有漂移的随机过程。本质上,这是一个公平(随机)游戏的想法。

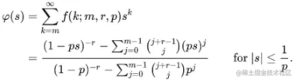
1. 二项式模型扩展

image.png

1659098245256.png

image.png

image.png

2. 概率系统:样本空间、过滤、测量

image.png

image.png

3. 条件期望和非条件期望

image.png

4. 测度变换和拉东-尼科迪姆导数

image.png

5. 鞅和伊藤微积分

image.png

6. 伊藤微积分的拓展

image.png

7. 指数鞅、Girsanov 和测度变换

image.png

image.png

1659100605254.png

image.png

image.png