量化金融 板块 1 - 5 - 应用随机微积分 2

313 阅读1分钟

量化金融 板块 1 - 5 - 应用随机微积分 2

欢迎点赞,收藏~更多量化课程持续更新ing

在板块1 - 5中,您将学习为了熟悉量化金融中常用的模型,计算随机微分方程并以数字方式生成随机游走。

在板块 1 - 5 学习结束时,您将能够

  • 计算随机微分方程
  • 求得任意随机微分方程的转移概率密度函数
  • 模拟随机微分方程

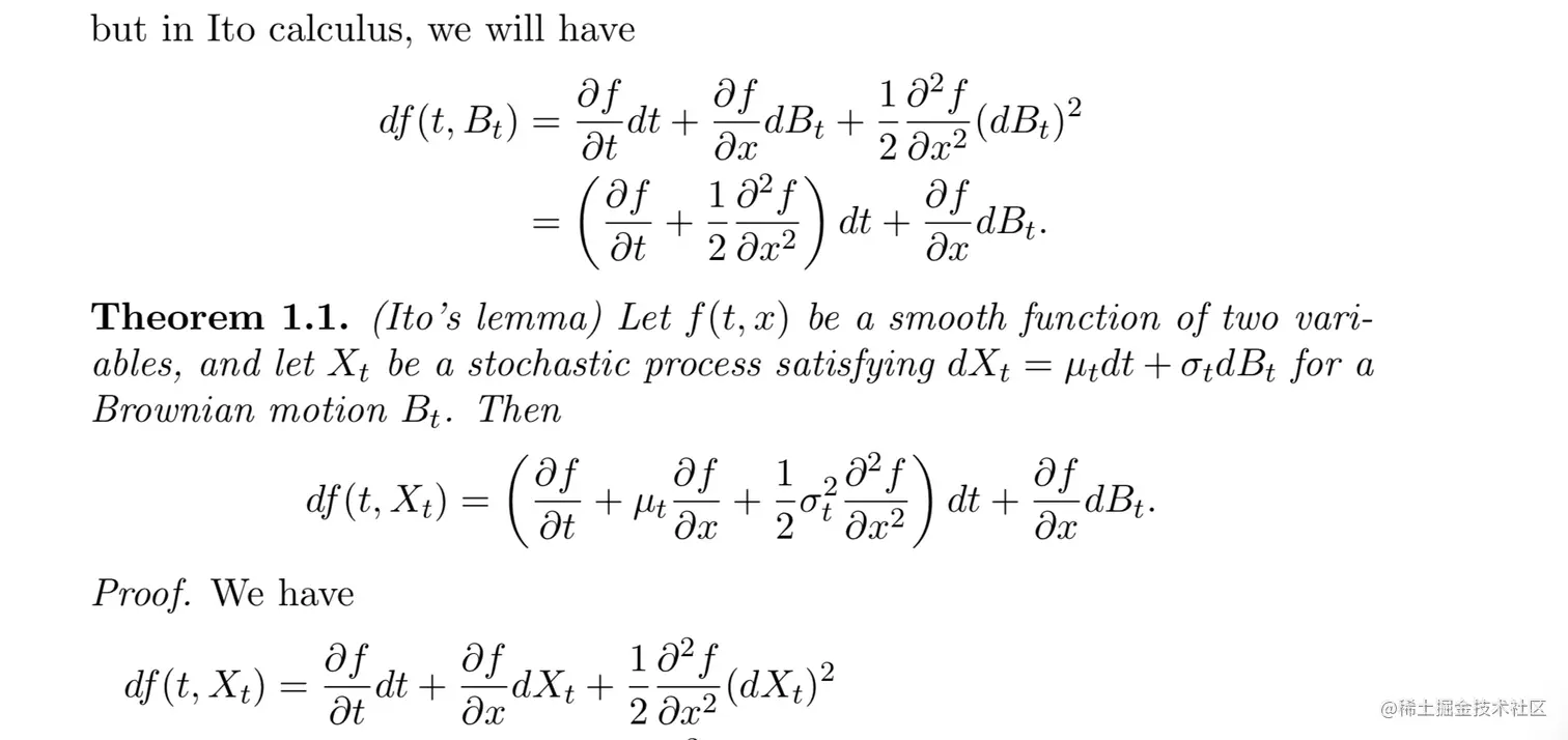
1. 伊藤引理的扩展

image.png

image.png

2. 重要案例 - 股票和利率

image.png

image.png

3. 产生标准化的正态随机变量

image.png

4. 稳态分布

image.png

image.png