【算法】2236. 判断根结点是否等于子结点之和(多语言实现)

281 阅读2分钟

携手创作,共同成长!这是我参与「掘金日新计划 · 8 月更文挑战」的第3天,点击查看活动详情


2236. 判断根结点是否等于子结点之和:

给你一个 二叉树 的根结点 root,该二叉树由恰好 3 个结点组成:根结点、左子结点和右子结点。

如果根结点值等于两个子结点值之和,返回 true ,否则返回 false

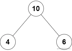
样例 1:

在这里插入图片描述

输入:
	root = [10,4,6]
	
输出:
	true
	
解释:
	根结点、左子结点和右子结点的值分别是 1046 。
	由于 10 等于 4 + 6 ,因此返回 true

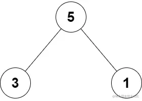
样例 2:

在这里插入图片描述

输入:
	root = [5,3,1]
	
输出:
	false
	
解释:
	根结点、左子结点和右子结点的值分别是 531 。
	由于 5 不等于 3 + 1 ,因此返回 false

提示:

  • 树只包含根结点、左子结点和右子结点
  • -100 <= Node.val <= 100

分析

  • 面对这道算法题目,二当家的陷入了沉思。
  • 感觉完全就是语法实现,也没有什么算法设计。

题解

java

/**
 * Definition for a binary tree node.
 * public class TreeNode {
 *     int val;
 *     TreeNode left;
 *     TreeNode right;
 *     TreeNode() {}
 *     TreeNode(int val) { this.val = val; }
 *     TreeNode(int val, TreeNode left, TreeNode right) {
 *         this.val = val;
 *         this.left = left;
 *         this.right = right;
 *     }
 * }
 */
class Solution {
    public boolean checkTree(TreeNode root) {
        return root.val == root.left.val + root.right.val;
    }
}

c

/**
 * Definition for a binary tree node.
 * struct TreeNode {
 *     int val;
 *     struct TreeNode *left;
 *     struct TreeNode *right;
 * };
 */


bool checkTree(struct TreeNode* root){
    return root->val == root->left->val + root->right->val;
}

c++

/**
 * Definition for a binary tree node.
 * struct TreeNode {
 *     int val;
 *     TreeNode *left;
 *     TreeNode *right;
 *     TreeNode() : val(0), left(nullptr), right(nullptr) {}
 *     TreeNode(int x) : val(x), left(nullptr), right(nullptr) {}
 *     TreeNode(int x, TreeNode *left, TreeNode *right) : val(x), left(left), right(right) {}
 * };
 */
class Solution {
public:
    bool checkTree(TreeNode* root) {
        return root->val == root->left->val + root->right->val;
    }
};

python

# Definition for a binary tree node.
# class TreeNode:
#     def __init__(self, val=0, left=None, right=None):
#         self.val = val
#         self.left = left
#         self.right = right
class Solution:
    def checkTree(self, root: Optional[TreeNode]) -> bool:
        return root.val == root.left.val + root.right.val
        

go

/**
 * Definition for a binary tree node.
 * type TreeNode struct {
 *     Val int
 *     Left *TreeNode
 *     Right *TreeNode
 * }
 */
func checkTree(root *TreeNode) bool {
    return root.Val == root.Left.Val+root.Right.Val
}

rust

// Definition for a binary tree node.
// #[derive(Debug, PartialEq, Eq)]
// pub struct TreeNode {
//   pub val: i32,
//   pub left: Option<Rc<RefCell<TreeNode>>>,
//   pub right: Option<Rc<RefCell<TreeNode>>>,
// }
//
// impl TreeNode {
//   #[inline]
//   pub fn new(val: i32) -> Self {
//     TreeNode {
//       val,
//       left: None,
//       right: None
//     }
//   }
// }
use std::rc::Rc;
use std::cell::RefCell;
impl Solution {
    pub fn check_tree(root: Option<Rc<RefCell<TreeNode>>>) -> bool {
        root.clone().unwrap().borrow().val == root.clone().unwrap().borrow().left.clone().unwrap().borrow().val + root.clone().unwrap().borrow().right.clone().unwrap().borrow().val
    }
}

typescript

/**
 * Definition for a binary tree node.
 * class TreeNode {
 *     val: number
 *     left: TreeNode | null
 *     right: TreeNode | null
 *     constructor(val?: number, left?: TreeNode | null, right?: TreeNode | null) {
 *         this.val = (val===undefined ? 0 : val)
 *         this.left = (left===undefined ? null : left)
 *         this.right = (right===undefined ? null : right)
 *     }
 * }
 */

function checkTree(root: TreeNode | null): boolean {
    return root.val == root.left.val + root.right.val;
};

原题传送门:https://leetcode-cn.com/problems/root-equals-sum-of-children/


非常感谢你阅读本文~
放弃不难,但坚持一定很酷~
希望我们大家都能每天进步一点点~
本文由 二当家的白帽子:https://juejin.cn/user/2771185768884824/posts 博客原创~