玩转二叉树的前中后序遍历!(非递归版)

286 阅读7分钟

携手创作,共同成长!这是我参与「掘金日新计划 · 8 月更文挑战」的第3天,点击查看活动详情


大家好呀,今天的我还是在爬二叉树的帅蛋。

二叉树的前中后序遍历有两种实现方式:递归和非递归。上篇文章讲了递归法:

ACM 选手带你玩转二叉树前中后序遍历(递归版)

那今天就来看非递归版的二叉树前中后序遍历怎么整。

非递归的做法,很多人又叫迭代法迭代法就是不断地将旧的变量值,递推计算新的变量值

迭代法是怎么做呢?不卖关子,是用栈来做。

我简单给大家讲一下为什么可以用“栈”。

这个其实还是因为二叉树的前中后序遍历能用“递归”。举一个简单点的例子,下面的图是一个递归函数的运作:

qzhfdg-0

我想求 f(3),就得知道 f(2),那 f(2) 怎么求,当然得知道 f(1) 是啥...

你看我最先想要求的数,反而是最后才知道。

你有没有觉得这个和“我最先进去的数,反而是最后才出来”很像?这个先入后出,不就正是“栈”嘛!

没错,递归问题的处理,可以用栈来解决

破案了!递归的时候竟然是隐式的维护了一个栈!没想到你竟是这样的递归!

那我们把这个栈光明正大的模拟出来就是迭代法了

请喊我大聪明。

qzhfdg-1

如果有小婊贝还不知道栈是个什么玩意儿,麻烦先来一句“蛋蛋真帅”,再看下文:

ACM 选手带你玩转栈和队列

接下来,直接开整!

qzhfdg-2

我还是用三道 LeetCode 题来给大家具体讲解二叉树前中后序遍历的非递归版。

二叉树前序遍历(非递归版)

LeetCode 144:二叉树的前序遍历

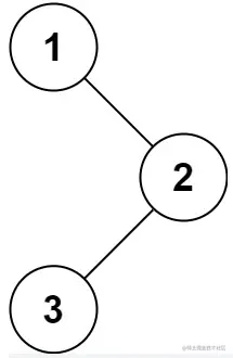
给你二叉树根节点 root,返回它节点值的前序遍历。

示例

qzhfdg-3

输入:root = [1,null,2,3]

输出:[1,2,3]

解析

前序遍历的非递归版本大概是最好写的一个了。

都知道前序遍历的顺序是:根、左子树、右子树,也就是先输出根,再输出左子树,最后输出右子树

因为栈“先入后出”的特点,所以结合前序遍历的顺序,迭代的过程也就出来了:

每次都是先将根节点放入栈,然后右子树,最后左子树。

具体步骤如下所示:

  • 初始化维护一个栈,将根节点入栈。
  • 当栈不为空时
    • 弹出栈顶元素 node,将节点值加入结果数组中。
    • 若 node 的右子树不为空,右子树入栈。
    • 若 node 的左子树不为空,左子树入栈。

图解

以下图为例:

qzhfdg-4

首先初始化一个栈,将根节点入栈。

qzhfdg-5

stack = [root]

栈不为空,根节点出栈,将节点值加入结果数组中。

qzhfdg-6

# 根节点出栈
node = stack.pop()
# 将根节点值加入结果
res.append(node.val)

接下来的顺序就是,右子树入栈,左子树入栈,弹出栈顶元素。

qzhfdg-7

qzhfdg-8

qzhfdg-9

qzhfdg-10

qzhfdg-11

qzhfdg-12

while stack:
    # 根节点出栈
    node = stack.pop()
    # 将根节点值加入结果
    res.append(node.val)
    # 右子树入栈
    if node.right:
        stack.append(node.right)
    # 左子树入栈
    if node.left:
        stack.append(node.left)

直至栈为空,返回结果。

此解法,由于每个节点被遍历一次,所以时间复杂度为 O(n)

额外维护了一个栈,空间复杂度为 O(n)

代码实现

Python 代码实现

# Definition for a binary tree node.
# class TreeNode:
#     def __init__(self, val=0, left=None, right=None):
#         self.val = val
#         self.left = left
#         self.right = right
class Solution:
    def preorderTraversal(self, root: TreeNode) -> List[int]:
        # 注意:根节点为空,直接返回空列表
        if not root:
            return []
​
        stack = [root]
        res = []
​
        while stack:
            # 根节点出栈
            node = stack.pop()
            # 将根节点值加入结果
            res.append(node.val)
            # 右子树入栈
            if node.right:
                stack.append(node.right)
            # 左子树入栈
            if node.left:
                stack.append(node.left)
​
        return res

Java 代码实现

class Solution {
     public List<Integer> preorderTraversal(TreeNode root) {
      if(root == null) return res;
      Stack<TreeNode> stack = new Stack<>();
      stack.push(root);
      ArrayList<Integer> res = new ArrayList<>();
      
      while(!stack.isEmpty()) {
        TreeNode node = stack.pop();
        res.add(node.val);
        if(node.right != null) {
          stack.push(node.right);
        }
        if(node.left != null) {
          stack.push(node.left);
        }
      }
      return res;
    }
}

二叉树中序遍历(非递归版)

LeetCode 94:二叉树的中序遍历

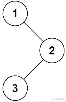
给你二叉树根节点 root,返回它的中序遍历。

示例

qzhfdg-13

输入:root = [1,null,2,3]

输出:[1,3,2]

解析

中序遍历的非递归就没前序遍历那么好搞了。

前序遍历是先搞根节点,再去管左子树,右子树,这就意味着,在前序遍历中你遍历节点的顺序和你处理节点的顺序是一致的

这句话你要仔细品,很重要。

而中序遍历的顺序是:左子树、根、右子树,先输出左子树,再输出根节点,最后输出右子树。

这就意味着,在中序遍历中,访问节点的顺序和处理节点的顺序是不一致的,并且,处理节点是在遍历完左子树之后

再直白点就是:从根节点开始,一层层的遍历,找到左子树最左的那个节点,从它开始处理节点。

例如下图中的 H 节点。

qzhfdg-14

具体步骤如下所示:

  • 初始化一个空栈。
  • 当【根节点不为空】或者【栈不为空】时,从根节点开始
    • 若当前节点有左子树,一直遍历左子树,每次将当前节点压入栈中。
    • 若当前节点无左子树,从栈中弹出该节点,尝试访问该节点的右子树。

图解

以下图为例:

qzhfdg-15

首先初始化一个空栈。

qzhfdg-16

stack = []

从根节点开始,一直向左子树遍历,同时将当前的节点压入栈中。

qzhfdg-17

qzhfdg-18

qzhfdg-19

# 一直向左子树走,每一次将当前节点保存到栈中
if root:
    stack.append(root)
    root = root.left

当前走到了最左面,弹出栈顶元素,加入结果数组中。

qzhfdg-20

if not root:
    cur = stack.pop()
    res.append(cur.val)
    root = cur.right

节点 2 并无右子树,继续重复上述动作。

qzhfdg-21

此时节点 0 有右子树,遍历其右子树,遍历到的节点入栈。

qzhfdg-22

接下来的动作就是在重复上面的操作。

qzhfdg-23

qzhfdg-24

qzhfdg-25

qzhfdg-26

直至 root 无指向而且栈为空,返回结果。

此解法,由于每个节点被遍历一次,所以时间复杂度为 O(n)

额外维护了一个栈,空间复杂度为 O(n)

代码实现

Python 代码实现

# Definition for a binary tree node.
# class TreeNode:
#     def __init__(self, val=0, left=None, right=None):
#         self.val = val
#         self.left = left
#         self.right = right
​
class Solution:
    def inorderTraversal(self, root: TreeNode) -> List[int]:
        # 注意:根节点为空,直接返回空列表
        if not root:
            return []
​
        stack = []
        res = []
​
        while root or stack:
            # 一直向左子树走,每一次将当前节点保存到栈中
            if root:
                stack.append(root)
                root = root.left
            # 当前节点为空,证明走到了最左边,从栈中弹出节点加入结果数组
            # 开始对右子树重复上述过程。
            else:
                cur = stack.pop()
                res.append(cur.val)
                root = cur.right
​
        return res

Java 代码实现

class Solution {
  public List<Integer> inorderTraversal(TreeNode root) {
    if(root == null){
       return new int[] 
    }
    List<Integer> res = new ArrayList<Integer>();
    Stack<TreeNode> stack = new Stack<TreeNode>();
    while(stack.size() > 0 || root != null) {
      if(root != null) {
        stack.add(root);
        root = root.left;
      } 
      else {
        TreeNode cur = stack.pop();
        res.add(cur.val);
        root = cur.right;
      }
    }
    return res;
  }
}

二叉树后序遍历(非递归版)

LeetCode 145:二叉树的后序遍历

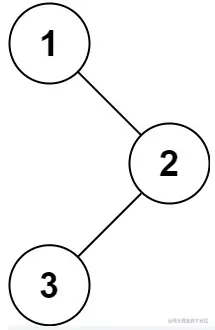
给定一个二叉树,返回它的后序遍历。

示例

qzhfdg-27

输入:root = [1,null,2,3]

输出:[3,2,1]

解析

恭喜你,越过非递归的前序遍历和中序遍历,来到后续遍历。

非递归版的后续遍历是三种遍历中最复杂的一个,当然啦,只是相比而言,也不是那么复杂。

qzhfdg-28

我就不卖关子了,直接说怎么整。

后序遍历的顺序是:左子树、右子树、根,先输出左子树,再输出右子树,最后输出根。

对于根节点来说,它要被搞 3 次

  • 第 1 次经过它,去向左子树。
  • 第 2 次从左子树回来,经过它,去向右子树。
  • 第 3 次从右子树回退到它。

qzhfdg-29

具体步骤如下所示:

  • 初始化一个空栈。
  • 当【根节点不为空】或者【栈不为空】时,从根节点开始
    • 每次将当前节点压入栈中,如果当前节点右左子树,就往左子树跑,没有左子树就往右子树跑。
    • 若当前节点无左子树也无右子树,从栈中弹出该节点,如果当前节点是上一个节点(即弹出该节点后的栈顶元素)的左节点,尝试访问上个节点的右子树,如果不是,那当前栈的栈顶元素继续弹出。

图解

以下图为例:

qzhfdg-30

首先初始化一个空栈。

qzhfdg-31

stack = []

从根节点开始,如果当前节点一直有左子树,那就一直向左子树遍历,同时将当前的节点压入栈中。

qzhfdg-32

qzhfdg-33

qzhfdg-34

while root:
    # 当前节点入栈
    stack.append(root)
    # 如果当前节点有左子树,继续向左子树找
    if root.left:
        root = root.left

当前走到了最左面,当前栈顶元素无左右子树,为叶子节点,弹出栈顶元素,加入结果数组中。

qzhfdg-35

# 跳出循环的条件是 root 为空,那当前栈顶元素为叶子节点。
# 弹出栈顶元素,并加入结果数组
cur = stack.pop()
res.append(cur.val)

当前 cur 为 当前栈顶元素的左节点,继续遍历当前栈顶元素的右子树。

qzhfdg-36

if stack and stack[-1].left == cur:
    root = stack[-1].right

接下来的动作就是在重复上面的操作。

qzhfdg-37

qzhfdg-38

qzhfdg-39

qzhfdg-41

本题解同样时间复杂度为 O(n)空间复杂度为 O(n)

代码实现

Python 代码实现

# Definition for a binary tree node.
# class TreeNode:
#     def __init__(self, val=0, left=None, right=None):
#         self.val = val
#         self.left = left
#         self.right = right
class Solution:
    def postorderTraversal(self, root: TreeNode) -> List[int]:
        # 注意:根节点为空,直接返回空列表
        if not root:
            return []
​
        stack = []
        res = []
​
        while root or stack:
            while root:
                # 当前节点入栈
                stack.append(root)
                # 如果当前节点有左子树,继续向左子树找
                if root.left:
                    root = root.left
                # 如果当前节点无左子树,在右子树继续找
                else:
                    root = root.right
            # 跳出循环的条件是 root 为空,那当前栈顶元素为叶子节点。
            # 弹出栈顶元素,并加入结果数组
            cur = stack.pop()
            res.append(cur.val)
            # 如果栈不为空,且当前栈顶元素的左节点是刚刚跳出的栈顶元素 cur
            # 则转向遍历右子树当前栈顶元素的右子树
            if stack and stack[-1].left == cur:
                root = stack[-1].right
            # 否则证明当前栈顶元素无左右子树,那当前的栈顶元素弹出。
            else:
                root = None
​
        return res

Java 代码实现

class Solution {
    public List<Integer> postorderTraversal(TreeNode root) {
        List<Integer> res = new ArrayList<>();
        LinkedList<TreeNode> stack = new LinkedList<>();
        while(!stack.isEmpty() || root != null){
            while(root != null){
                stack.addLast(root);
                if(root.left != null){
                    root = root.left;
                }
                else{
                    root = root.right;
                }
            }
            root = stack.removeLast();
            res.add(root.val);
            if(!stack.isEmpty() && stack.getLast().left == root){
                root = stack.getLast().right;
            }
            else{
                root = null;
            }
        }
        return res;
    }
}

哎呀妈呀,到这,二叉树前中后续遍历(非递归版) 终于算是写完了。

自认为已经将三种遍历的非递归法讲明白了,跟着一步步的走下来,绝对没问题。

从无到有的过程很辛苦,无所不能的样子又很酷。

大家加油~