玩转二叉树前中后序遍历!(递归版)

217 阅读5分钟

携手创作,共同成长!这是我参与「掘金日新计划 · 8 月更文挑战」的第2天,点击查看活动详情


大家好呀,我是在爬二叉树的帅蛋。

二叉树遍历的实现历来是面试的高频问题,关于二叉树的前中后序遍历有两种实现方式:递归和非递归

递归实现起来简单一些,而非递归的实现需要借助之前讲过的【】这个数据结构

这两种实现方式都需要蛋粉们牢牢掌握,我们先从简单的开始,先讲递归版的二叉树前中后序遍历。

qzhdg-0

关于递归,我之前写过一篇很详细的文章:

ACM 选手带你玩转递归算法!

没看过的蛋粉可以看一下。

说白了递归就是一种循环,一种自己调用自己的循环

一道题你看能不能用递归实现,需要具备两个条件

  • 问题可以分为多个重复的子问题,子问题仅存在数据规模的差距。
  • 存在终止条件。

所以根据条件,对于实现递归,只需要两步

  • 找出重复的子问题(递推公式)。
  • 终止条件。

下面我用三道 LeetCode 题来给大家具体讲解二叉树前中后序遍历的递归版。

二叉树前序遍历(递归版)

LeetCode 144:二叉树的前序遍历

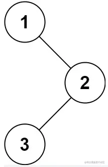
给你二叉树根节点 root,返回它节点值的前序遍历。

示例

qzhdg-3

输入:root = [1,null,2,3]

输出:[1,2,3]

解析

根据上面讲的实现递归的两步来找:

(1) 找出重复的子问题

这个很好找,前序遍历的顺序是:根、左子树、右子树。

对于左子树或者右子树来说,也是同样的遍历顺序。

所以这个重复的子问题就出来了,先取根节点,再遍历左子树,最后遍历右子树

print(root.val)
preOrder(root.left)
preOrder(root.right)

(2) 确定终止条件

对于二叉树的遍历来说,想终止,即没东西遍历了,没东西遍历自然就停下来了。

那就是当前的节点是空的,既然是空的那就没啥好遍历。

if root == None:
    return

最重要的两点确定完了,那总的代码也就出来了。

代码实现

Python 代码实现

# Definition for a binary tree node.
# class TreeNode:
#     def __init__(self, val=0, left=None, right=None):
#         self.val = val
#         self.left = left
#         self.right = right
class Solution:
    # 前序遍历函数
    def preOrder(self, root: TreeNode, res):
        if root == None:
            return
        res.append(root.val)
        self.preOrder(root.left, res)
        self.preOrder(root.right, res)
​
    def preorderTraversal(self, root: TreeNode) -> List[int]:
        res = []
        self.preOrder(root, res)
        return res

Java 代码实现

class Solution {
​
    public void preOrder(TreeNode root, List<Integer> res) {
        if (root == null) {
            return;
        }
        res.add(root.val);
        preOrder(root.left, res);
        preOrder(root.right, res);
    }
    
    public List<Integer> preorderTraversal(TreeNode root) {
        List<Integer> res = new ArrayList<Integer>();
        preOrder(root, res);
        return res;
    }
}

此解法,由于每个节点被遍历一次,所以时间复杂度为 O(n)

额外维护了一个 res 列表,空间复杂度为 O(n)

二叉树中序遍历(递归版)

LeetCode 94:二叉树的中序遍历

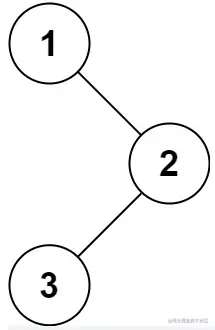
给你二叉树根节点 root,返回它的中序遍历。

示例

qzhdg-3

输入:root = [1,null,2,3]

输出:[1,3,2]

解析

同样根据上面讲的实现递归的两步来找:

(1) 找出重复的子问题

中序遍历的顺序是:左子树、根、右子树。

对于左子树、右子树来说,也是同样的遍历顺序。

所以这个重复的子问题就是:先遍历左子树、再取根节点,最后遍历右子树

inOrder(root.left)
print(root.val)
inOrder(root.right)

(2) 确定终止条件

和前序遍历相同,就是当前的节点为空,空的没啥好遍历的。

if root == None:
    return 

最重要的两点确定完了,那总的代码也就出来了。

代码实现

Python 代码实现

# Definition for a binary tree node.
# class TreeNode:
#     def __init__(self, val=0, left=None, right=None):
#         self.val = val
#         self.left = left
#         self.right = right
class Solution:
​
    def inOrder(self, root:TreeNode, res):
        if root == None:
            return
        self.inOrder(root.left, res)
        res.append(root.val)
        self.inOrder(root.right, res)
​
    def inorderTraversal(self, root: TreeNode) -> List[int]:
        res = []
        self.inOrder(root, res)
        return res

Java 代码实现

class Solution {
​
    public void inOrder(TreeNode root, List<Integer> res) {
        if (root == null) {
            return;
        }
        inOrder(root.left, res);
        res.add(root.val);
        inOrder(root.right, res);
    }
    
    public List<Integer> inorderTraversal(TreeNode root) {
        List<Integer> res = new ArrayList<Integer>();
        inOrder(root, res);
        return res;
    }
}

和前序遍历相同,中序遍历时间复杂度为 O(n)空间复杂度为 O(n)

二叉树后序遍历(递归版)

LeetCode 145:二叉树的后序遍历

给定一个二叉树,返回它的后序遍历。

示例

qzhdg-3

输入:root = [1,null,2,3]

输出:[3,2,1]

解析

还是根据上面讲的实现递归的两步来找:

(1) 找出重复的子问题。

后序遍历的顺序是:左子树、右子树、根,对于左子树、右子树来说,也是同样的遍历顺序。

所以这个重复的子问题就是:先遍历左子树、再遍历右子树、再取根节点。

postOrder(root.left)
postOrder(root.right)
print(root.val)

(2) 确定终止条件。

和前序遍历、中序遍历相同,就是当前的节点为空,空的没啥好遍历的。

if root == None:
    return 

最重要的两点确定完了,那总的代码也就出来了。

代码实现

Python 代码实现

# Definition for a binary tree node.
# class TreeNode:
#     def __init__(self, val=0, left=None, right=None):
#         self.val = val
#         self.left = left
#         self.right = right
class Solution:
​
    def postOrder(self, root: TreeNode, res):
        if root == None:
            return
​
        self.postOrder(root.left, res)
        self.postOrder(root.right, res)
        res.append(root.val)
​
    def postorderTraversal(self, root: TreeNode) -> List[int]:
        res = []
        self.postOrder(root, res)
        return res

Java 代码实现

class Solution {
​
    public void postorder(TreeNode root, List<Integer> res) {
        if (root == null) {
            return;
        }
        postorder(root.left, res);
        postorder(root.right, res);
        res.add(root.val);
    }
    
    public List<Integer> postorderTraversal(TreeNode root) {
        List<Integer> res = new ArrayList<Integer>();
        postorder(root, res);
        return res;
    }
}
​

和前序遍历、中序遍历相同,后序遍历时间复杂度为 O(n)空间复杂度为 O(n)


好啦,到这递归版的二叉树的前中后序遍历就讲完啦。

是不是蛋粉们觉得很简单?

如果因此你就小看了二叉树遍历,那就太简单了,非递归的二叉树遍历还是不那么简单的。

当然啦,我肯定不会说,不那么简单还是简单。

qzhdg-4

我是帅蛋,我们下次见~